前言 Transformer计算,竟然直接优化到乘法运算了。MIT两位华人学者近期发表的一篇论文提出:Addition is All You Need,让LLM的能耗最高降低95%。Pytorch训练营,花两个星期彻底掌握代码实现CV各大方向专栏与各个部署框架最全教程整理CV全栈指导班、基础入门班、论文指导班 全面上线!!
前言 Transformer计算,竟然直接优化到乘法运算了。MIT两位华人学者近期发表的一篇论文提出:Addition is All You Need,让LLM的能耗最高降低95%。
Pytorch训练营,花两个星期彻底掌握代码实现
CV各大方向专栏与各个部署框架最全教程整理
CV全栈指导班、基础入门班、论文指导班 全面上线!!
论文简介
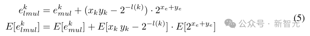
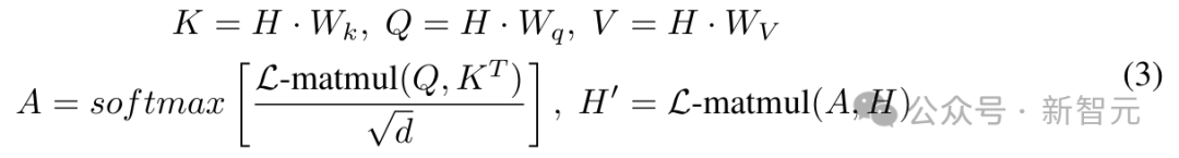
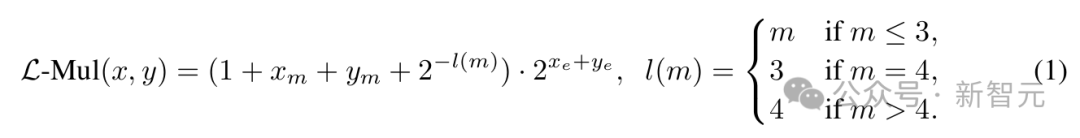
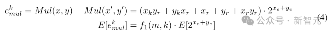
线性复杂度乘法(L-MUL)
LLM实验结果
作者介绍
全栈指导班
报名请扫描下方二维码,备注:“全栈班报名”
微信扫一扫关注该公众号