GUIDE
导读
随着垃圾分类的推行,进入焚烧厂的生活垃圾厨果类比例下降、纸类及橡塑类比例升高。由此焚烧厂垃圾发生了密度降低、热值升高、渗滤液产率降低、总氮降低、有机氮占比升高的变化,引起了生活垃圾焚烧厂与渗滤液处理设施运行工况的改变。(素材来源:上海环境卫生工程设计院)
一、背景
2019年1月31日上海市第十五届人民代表大会第二次会议通过《上海市生活垃圾管理条例》,自2019年7月1日起施行[1]。条例将生活垃圾分为可回收垃圾、有害垃圾、湿垃圾、干垃圾,并做出如下规定:本市以实现生活垃圾减量化、资源化、无害化为目标,建立健全生活垃圾分类投放、分类收集、分类运输、分类处置的全程分类体系,积极推进生活垃圾源头减量和资源循环利用[2]。《生活垃圾管理条例》实施后,分类效果超过预期。以闵行区某湿垃圾中转站为例,该中转站设计湿垃圾处理能力为50吨/天,2019年1至6月湿垃圾日均入场量为30吨/天,7至11月份湿垃圾日均入场量为90吨/天,最高值为114吨/天。
二、分类前后的性质变化情况
分类前,进入焚烧厂的垃圾成分中厨果类占比55.24%,橡塑类占比23.82%,纸类占比14.71%,纺织类、玻璃类、金属类、木竹类、砖瓦陶瓷类等合计占比6.23%。垃圾分类后,进入焚烧厂的生活垃圾厨果类占比19.63%,橡塑类占比46.81%,纸类占比23.24%,纺织类、玻璃类、金属类、木竹类、砖瓦陶瓷类等合计占比10.32%。
(二)垃圾密度变化
生活垃圾分类前后密度分布对比见图2。分类前,进入焚烧厂的生活垃圾密度在150-274 kg/m3之间变化,均值为187 kg/m3。分类后,进入焚烧厂的生活垃圾密度在89.6-160 kg/m3之间变化,均值为112.75 kg/m3。
(三)渗滤液产率变化
生活垃圾分类前后渗滤液产率分布对比见图3。分类前,进入焚烧厂的生活垃圾渗滤液产率为19.47%-28.83%,年度均值22.94%,夏季产率高出均值4.25个百分点。分类后,进入焚烧厂生活垃圾渗滤液产率为10.82%-20.24%,年度均值15.70%,夏季产率高出均值4.30个百分点。
(四)垃圾热值变化
生活垃圾分类前后热值分布对比见图4。分类前,进入焚烧厂垃圾热值为6208-7165 kJ/kg,均值为6634 kJ/kg。分类后,进入焚烧厂垃圾热值为7490-7997 kJ/kg,均值为7749 kJ/kg。
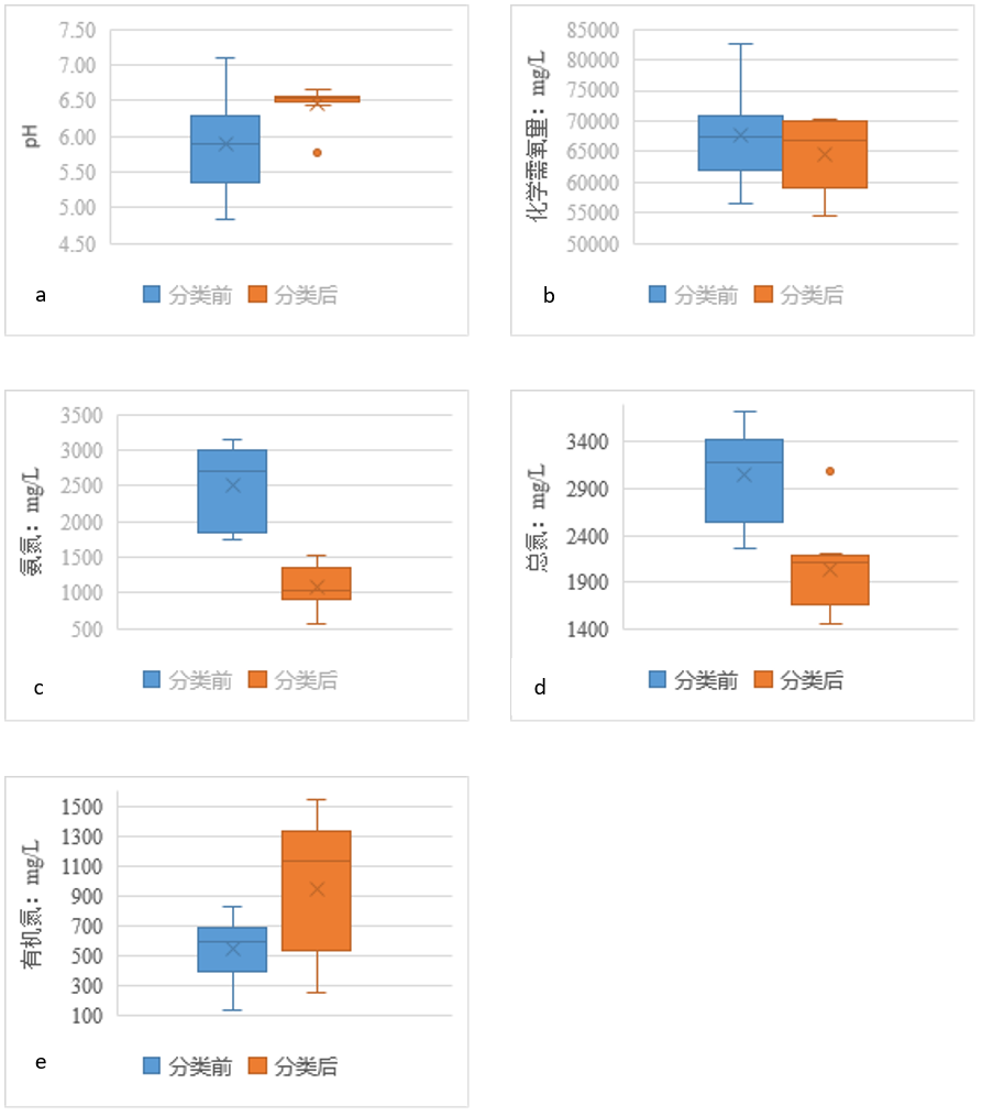
(五)渗滤液水质变化
生活垃圾分类前后渗滤液主要水质指标分布对比见图5。分类前,渗滤液pH均低于7.10,均值为5.90;化学需氧量为56000-83000 mg/L,均值为67814 mg/L;总氮为2400-3800 mg/L,均值为3048 mg/L,氨氮为1700-3200 mg/L,均值为2502 mg/L;有机氮为130-900 mg/L,均值为547 mg/L。分类后,渗滤液pH为5.76-6.66之间,均值为6.46;化学需氧量为54000-71000 mg/L,均值为64507 mg/L;总氮为1400-3100 mg/L,均值为2041 mg/L;氨氮为500-1600 mg/L,均值为1095 mg/L;有机氮为200-1600 mg/L,均值为946 mg/L。
三、分类效果分析
(一)成分变化
2019年7月垃圾分类实施后,进入焚烧厂的生活垃圾中厨果类占比降低35.61个百分点,纸类占比增加8.53个百分点,橡塑类占比增加22.99个百分点,变化对比见图6。
(二)密度变化
生活垃圾中的厨果类与橡塑类密度相近,与之相比纸类密度较低;垃圾分类导致厨果类与橡塑类合计占比下降12.62%,纸类占比上升8.53%,进而影响垃圾密度降低。垃圾密度在2019年1-6月(分类前)与2018年同期(分类前)相比上升4%,7-12月(分类后)同期相比下降38%,由此推算分类后的垃圾密度与分类前同期相比下降42%,见图8。
(三)渗滤液产率变化
厨果类垃圾的自滤与发酵是渗滤液主要产生源,垃圾中影响渗滤液产率的主要成分为厨果类、纸类;在其他条件基本相同的情况下,厨果类占比降低、纸类占比升高,垃圾含水率与渗滤液产率下降[4]。垃圾含水率也是渗滤液产率的主要影响因素之一,在其他条件不变的情况下,渗滤液产率随着垃圾含水率的变化而变化。垃圾分类使垃圾含水率降低20.99个百分点,渗滤液产率降低7.23个百分点,垃圾分类实施前后的含水率、渗滤液产率及两者变化趋势见图9。
(四) 热值变化
分类后进入焚烧厂的生活垃圾,厨果类占比降低、纸类与橡塑类占比升高、渗滤液产率降低,单位质量中可燃物占比增大,垃圾热值提升[5],同比上升17%,变化趋势见图10。
(五)渗滤液水质变化
渗滤液中的总氮主要来源于厨果类,进入焚烧厂的厨果类垃圾减少,导致渗滤液中总氮含量下降。垃圾中水含量降低,发酵受到限制,影响有机氮的氨化效果,出现氨氮降低、有机氮升高的情况。垃圾分类实施后,使得pH上升约9.30%,化学需氧量降低4.90%,总氮降低33.10%,氨氮降低56.20%,有机氮提高73.10%,渗滤液水质变化趋势见图11、图12。
垃圾分类后,垃圾热值提升,焚烧炉在相同热力负荷工况下机械负荷降低,表现为垃圾进料量降低、喷水降温频率增加,垃圾处理能力降低比例不等价于热值提升比例;渗滤液产率降低、总氮浓度降低、总氮中有机氮占比升高,使得渗滤液处理系统运行负荷同步降低、生化脱氮阶段C/N升高、能源与药剂耗量降低,针对运营单位,渗滤液吨水运营成本增加。
四、对设计取值的建议
(一) 主要组分对密度的影响
生活垃圾密度受含水率影响较大,有关研究表明生活垃圾密度与垃圾含水率成正相关关系,而垃圾含水率与垃圾中厨果类、纸类、橡塑类及纺织类占比相关;经分析,生活垃圾中厨果类、纸类及橡塑类占比是影响生活垃圾密度的主要因素。选取2018年1月-2019年12月生活垃圾各组分占比变化与密度数据耦合分析,厨果类占比与垃圾密度呈正相关关系;纸类占比与密度呈负相关关系;橡塑类占比与密度整体上呈负相关关系,当占比为22%-26%时,密度在170-280 kg/m3波动,见图13。
(二)主要组分对含水率的影响
垃圾组分中,厨果类、纸类、橡塑类及纺织类垃圾对含水率影响较大[6]。选取2018年1月-2019年12月生活垃圾各组分占比变化与含水率数据耦合分析,厨果类占比与含水率呈正相关关系;橡塑类、纺织类占比与含水率呈负相关关系;而纸类占比与垃圾水率关系呈波动关系,即为在占比低于45%及高于65%时与含水率成正相关关系,占比在45%-65%与含水率成负相关关系,垃圾主要成分对垃圾含水率影响趋势见图14。
(三)主要组分对热值的影响
根据生活垃圾理论燃烧热值的计算公式,对垃圾热值影响较大的组分为厨果类、纸类及橡塑类。选取2018年1月-2019年12月生活垃圾厨果类、纸类及橡塑类占比变化与热值数据耦合分析,厨果类占比与垃圾热值呈负相关关系,纸类、橡塑类与热值呈正相关关系,见图15。按CJ/T313-2019《生活垃圾采样和分析方法》的垃圾热值计算公式,用垃圾成分计算得到高于实际运行热值的结果,说明实际运行中可通过调整垃圾坑的停留时间等维持垃圾热值在一个稳定、可承受的范围[7]。
(四)对后续设计取值的建议
垃圾分类后,对在建或已投产的生活垃圾焚烧厂及渗滤液处理设施,后续运行应根据分类情况及组分对主要参数的影响做相应调整;对拟建的生活垃圾焚烧厂及渗滤液处理设施,应在设计阶段根据分类情况及垃圾组分变化对设计参数做相应调整。
1、降低进入焚烧厂的生活垃圾密度。针对运营项目,建议在垃圾收集、运输、储存及调运设施设备更新时,应考虑降低设备相关参数,本文研究的垃圾焚烧厂密度降低幅度建议取值为38%;针对拟建项目,建议在垃圾收集、运输、储存及调运时,相应建构筑物及设施设备参数取值降低。
2、提升进入焚烧厂的生活垃圾热值。针对运营项目,建议焚烧厂在运行中减短垃圾发酵时间,增加浓缩液回喷量,浓缩液量不足可用渗滤液原液代替;针对拟建项目,建议提升焚烧炉热力负荷并与后续的发电设备相匹配。
3、降低进入焚烧厂的生活垃圾渗滤液产水率。针对运营项目,采用多条生产线的建议部分生产线停运,采用单条生产线的建议部分设备停运,设施设备更新建议根据水量的变化更换低位型号设备或增加变频配置;针对拟建项目,建议在渗滤液处理设施设计中降低处理规模。
4、进入焚烧厂生活垃圾渗滤液水质变化,针对运营项目,总氮降低而有机氮占比升高,有机氮在好氧段降解难度较大,建议渗滤液全部经厌氧氨化后再进入生化池,若厌氧段运行效果过好导致好氧段碳源不足,可通过降低厌氧段运行效率提升好氧段进水碳氮比;针对拟建项目,垃圾渗滤液处理设施设计参数中,COD可沿用以往的设计取值,氨氮取值建议降低30%,对有机氮含量升高需有所考虑。
五、小结
分类后进入焚烧厂的生活垃圾密度降42%;热值由6634 kJ/kg升高至7749 kJ/kg,升高16.80%。渗滤液产率由22.94%降低至15.70%,降低约7.24个百分点;化学需氧量由67814 mg/L降低至64507mg/L,降低4.9%;总氮由3048 mg/L降低至2041 mg/L,降低33.10%;氨氮由2502 mg/L降低至1095 mg/L,降低约56.24%;有机氮由547 mg/L提升至946 mg/L,升高约72.94%。
END
来源:上海环境卫生工程设计院、环卫之声
编辑:环环
1
欢迎分享生活垃圾分类经验
投稿联系:17867930270(微信同号) 邮箱:fenlei@caues.cn
[免责声明]所载内容、图片来源互联网,微信公众号等公开渠道,我们对文中观点保持中立,仅供参考、交流之目的。转载的稿件版权归原作者和机构所有,如有侵权,请联系我们删除。
扫码加入【垃圾分类交流群】
扫码添加小助手环环
捕获更多【垃圾分类知识】
关注我们的视频号哦!
喜欢就点个“在看”