![]()
既能像 Transformer 一样并行训练,推理时内存需求又不随 token 数线性递增,长上下文又有新思路了?
序列建模的进展具有极大的影响力,因为它们在广泛的应用中发挥着重要作用,包括强化学习(例如,机器人和自动驾驶)、时间序列分类(例如,金融欺诈检测和医学诊断)等。
在过去的几年里,Transformer 的出现标志着序列建模中的一个重大突破,这主要得益于 Transformer 提供了一种能够利用 GPU 并行处理的高性能架构。
然而,Transformer 在推理时计算开销很大,主要在于内存和计算需求呈二次扩展,从而限制了其在低资源环境中的应用(例如,移动和嵌入式设备)。尽管可以采用 KV 缓存等技术提高推理效率,但 Transformer 对于低资源领域来说仍然非常昂贵,原因在于:(1)随 token 数量线性增加的内存,以及(2)缓存所有先前的 token 到模型中。在具有长上下文(即大量 token)的环境中,这一问题对 Transformer 推理的影响更大。
为了解决这个问题,加拿大皇家银行 AI 研究所 Borealis AI、蒙特利尔大学的研究者在论文《Attention as an RNN 》中给出了解决方案。值得一提的是,我们发现图灵奖得主 Yoshua Bengio 出现在作者一栏里。
![]()
论文地址:
https://arxiv.org/pdf/2405.13956
具体而言,研究者首先检查了 Transformer 中的注意力机制,这是导致 Transformer 计算复杂度呈二次增长的组件。该研究表明注意力机制可以被视为一种特殊的循环神经网络(RNN),具有高效计算的多对一(many-to-one)RNN 输出的能力。利用注意力的 RNN 公式,该研究展示了流行的基于注意力的模型(例如 Transformer 和 Perceiver)可以被视为 RNN 变体。
然而,与 LSTM、GRU 等传统 RNN 不同,Transformer 和 Perceiver 等流行的注意力模型虽然可以被视为 RNN 变体。但遗憾的是,它们无法高效地使用新 token 进行更新。
为了解决这个问题,该研究引入了一种基于并行前缀扫描(prefix scan)算法的新的注意力公式,该公式能够高效地计算注意力的多对多(many-to-many)RNN 输出,从而实现高效的更新。
在此新注意力公式的基础上,该研究提出了 Aaren([A] ttention [a] s a [re] current neural [n] etwork),这是一种计算效率很高的模块,不仅可以像 Transformer 一样并行训练,还可以像 RNN 一样高效更新。
实验结果表明,Aaren 在 38 个数据集上的表现与 Transformer 相当,这些数据集涵盖了四种常见的序列数据设置:强化学习、事件预测、时间序列分类和时间序列预测任务,同时在时间和内存方面更加高效。
![]()
为了解决上述问题,作者提出了一种基于注意力的高效模块,它能够利用 GPU 并行性,同时又能高效更新。
首先,作者在第 3.1 节中表明,注意力可被视为一种 RNN,具有高效计算多对一 RNN(图 1a)输出的特殊能力。利用注意力的 RNN 形式,作者进一步说明,基于注意力的流行模型,如 Transformer(图 1b)和 Perceiver(图 1c),可以被视为 RNN。然而,与传统的 RNN 不同的是,这些模型无法根据新 token 有效地更新自身,从而限制了它们在数据以流的形式到达的序列问题中的潜力。
![]()
为了解决这个问题,作者在第 3.2 节中介绍了一种基于并行前缀扫描算法的多对多 RNN 计算注意力的高效方法。在此基础上,作者在第 3.3 节中介绍了 Aaren—— 一个计算效率高的模块,它不仅可以并行训练(就像 Transformer),还可以在推理时用新 token 高效更新,推理只需要恒定的内存(就像传统 RNN)。
将注意力视为一个多对一RNN
![]()
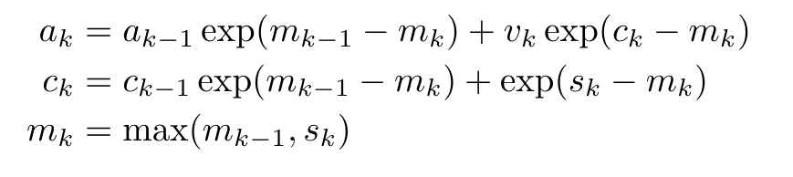
其中分子为 ,分母为 。将注意力视为 ,可以在 k=1,...,N 时,以滚动求和的方式迭代计算 和 。然而,在实践中,这种实现方式并不稳定,会因有限的精度表示和可能非常小或非常大的指数(即 ) 而遇到数值问题。为了缓解这一问题,作者用累积最大值项 来重写递推公式,计算 和 。通过从 a_(k-1)、c_(k-1) 和 m_(k-1) 对 a_k、c_k 和 m_k 的循环计算进行封装,作者引入了一个 RNN 单元,它可以迭代计算注意力的输出(见图 2)。注意力的 RNN 单元以(a_(k-1), c_(k-1), m_(k-1), q)作为输入,并计算(a_k, c_k, m_k, q)。注意,查询向量 q 在 RNN 单元中被传递。注意力 RNN 的初始隐藏状态为 (a_0, c_0, m_0, q) = (0, 0, 0, q)。计算注意力的方法:通过将注意力视为一个 RNN,可以看到计算注意力的不同方法:在 O (1) 内存中逐个 token 循环计算(即顺序计算);或以传统方式计算(即并行计算),需要线性 O (N) 内存。由于注意力可以被看作是一个 RNN,因此计算注意力的传统方法也可以被看作是计算注意力多对一 RNN 输出的高效方法,即 RNN 的输出以多个上下文 token 为输入,但在 RNN 结束时只输出一个 token(见图 1a)。最后,也可以将注意力计算为一个逐块处理 token 的 RNN,而不是完全按顺序或完全并行计算,这需要 O (b) 内存,其中 b 是块的大小。将现有的注意力模型视为 RNN。通过将注意力视为 RNN,现有的基于注意力的模型也可以被视为 RNN 的变体。例如,Transformer 的自注意力是 RNN(图 1b),上下文 token 是其初始隐藏状态。Perceiver 的交叉注意力是 RNN(图 1c),其初始隐藏状态是与上下文相关的潜变量。通过利用其注意力机制的 RNN 形式,这些现有模型可以高效地计算其输出存储。然而,当将现有的基于注意力的模型(如 Transformers)视为 RNN 时,这些模型又缺乏传统 RNN(如 LSTM 和 GRU)中常见的重要属性。值得注意的是,LSTM 和 GRU 能够仅在 O (1) 常量内存和计算中使用新 token 有效地更新自身,相比之下, Transformer 的 RNN 视图(见图 1b)会通过将一个新的 token 作为初始状态添加一个新的 RNN 来处理新 token。这个新的 RNN 处理所有先前的 token,需要 O (N) 的线性计算量。在 Perceiver 中,由于其架构的原因,潜变量(图 1c 中的 L_i)是依赖于输入的,这意味着它们的值在接收新 token 时会发生变化。由于其 RNN 的初始隐藏状态(即潜变量)发生变化,Perceiver 因此需要从头开始重新计算其 RNN,需要 O (NL) 的线性计算量,其中 N 是 token 的数量,L 是潜变量的数量。 针对这些局限性,作者建议开发一种基于注意力的模型,利用 RNN 公式的能力来执行高效更新。为此,作者首先引入了一种高效的并行化方法,将注意力作为多对多 RNN 计算,即并行计算 的方法。为此,作者利用并行前缀扫描算法(见算法 1),这是一种通过关联算子 从 N 个连续数据点计算 个前缀的并行计算方法。该算法可高效计算 from 。为此,作者提出了以下关联算子 ,该算子作用于形式为 的三元组,其中 是一组索引,, , 。并行扫描算法的输入为 。该算法递归应用算子 ,其工作原理如下:![]()
Aaren:[A] ttention [a] s a [re] current neural [n] etwork
Aaren 的接口与 Transformer 相同,即将 N 个输入映射到 N 个输出,而第 i 个输出是第 1 到第 i 个输入的聚合。此外,Aaren 还自然可堆叠,并且能够计算每个序列 token 的单独损失项。然而,与使用因果自注意力的 Transformers 不同,Aaren 使用上述计算注意力的方法作为多对多 RNN,使其更加高效。Aaren 形式如下:与 Transformer 不同,在 Transformer 中查询是输入到注意力的 token 之一,而在 Aaren 中,查询 token q 是在训练过程中通过反向传播学习得到的。 下图展示了一个堆叠 Aaren 模型的例子,该模型的输入上下文 token 为 x_1:3,输出为 y_1:3。值得注意的是,由于 Aaren 利用了 RNN 形式的注意力机制,堆叠 Aarens 也相当于堆叠 RNN。因此,Aarens 也能够高效地用新 token 进行更新,即 y_k 的迭代计算仅需要常量计算,因为它仅依赖于 h_k-1 和 x_k。基于 Transformer 的模型需要线性内存(使用 KV 缓存时)并且需要存储所有先前的 token ,包括中间 Transformer 层中的那些,但基于 Aaren 的模型只需要常量内存,并且不需要存储所有先前的 token ,这使得 Aarens 在计算效率上显著优于 Transformer。 ![]()
实验部分的目标是比较 Aaren 和 Transformer 在性能和所需资源(时间和内存)方面的表现。为了进行全面比较,作者在四个问题上进行了评估:强化学习、事件预测、时间序列预测和时间序列分类。作者首先比较了 Aaren 和 Transformer 在强化学习方面的表现。强化学习在机器人、推荐引擎和交通控制等交互式环境中很受欢迎。表 1 中的结果表明,在所有 12 个数据集和 4 种环境中,Aaren 与 Transformer 的性能都不相上下。不过,与 Transformer 不同的是,Aaren 也是一种 RNN,因此能够在持续计算中高效处理新的环境交互,从而更适合强化学习。接下来,作者比较了 Aaren 和 Transformer 在事件预测方面的表现。事件预测在许多现实环境中都很流行,例如金融(如交易)、医疗保健(如患者观察)和电子商务(如购买)。表 2 中的结果显示,Aaren 在所有数据集上的表现都与 Transformer 相当。Aaren 能够高效处理新输入,这在事件预测环境中尤为有用,因为在这种环境中,事件会以不规则流的形式出现。然后,作者比较了 Aaren 和 Transformer 在时间序列预测方面的表现。时间序列预测模型通常用在与气候(如天气)、能源(如供需)和经济(如股票价格)相关的领域。表 3 中的结果显示,在所有数据集上,Aaren 与 Transformer 的性能相当。不过,与 Transformer 不同的是,Aaren 能高效处理时间序列数据,因此更适合与时间序列相关的领域。接下来,作者比较了 Aaren 和 Transformer 在时间序列分类方面的表现。时间序列分类在许多重要的应用中很常见,例如模式识别(如心电图)、异常检测(如银行欺诈)或故障预测(如电网波动)。从表 4 中可以看出,在所有数据集上,Aaren 与 Transformer 的表现不相上下。最后,作者比较了 Aaren 和 Transformer 所需的资源。内存复杂性:在图 5(左)中,作者比较了 Aaren 和 Transformer(使用 KV 缓存)在推理时的内存使用情况。可以看到,伴随 KV 缓存技术的使用,Transformer 的内存使用量呈线性增长。相比之下,Aaren 只使用恒定的内存,无论 token 数量如何增长,因此它的效率要高得多。时间复杂度:在图 5(右图)中,作者比较了 Aaren 和 Transformer(使用 KV 缓存)按顺序处理一串 token 所需的累计时间。对于 Transformer,累计计算量是 token 数的二次方,即 O (1 + 2 + ... + N) = O (N^2 )。相比之下,Aaren 的累计计算量是线性的。在图中,可以看到模型所需的累计时间也是类似的结果。具体来说,Transformer 所需的累计时间呈二次增长,而 Aaren 所需的累计时间呈线性增长。参数数量:由于要学习初始隐藏状态 q,Aaren 模块需要的参数略多于 Transformer 模块。不过,由于 q 只是一个向量,因此差别不大。通过在同类模型中进行实证测量,作者发现 Transformer 使用了 3, 152, 384 个参数。相比之下,等效的 Aaren 使用了 3, 152, 896 个参数,参数增加量仅为 0.016%—— 对于内存和时间复杂性的显著差异来说,这只是微不足道的代价。![]()
如何才能让更多的优质内容以更短路径到达读者群体,缩短读者寻找优质内容的成本呢?答案就是:你不认识的人。
总有一些你不认识的人,知道你想知道的东西。PaperWeekly 或许可以成为一座桥梁,促使不同背景、不同方向的学者和学术灵感相互碰撞,迸发出更多的可能性。
PaperWeekly 鼓励高校实验室或个人,在我们的平台上分享各类优质内容,可以是最新论文解读,也可以是学术热点剖析、科研心得或竞赛经验讲解等。我们的目的只有一个,让知识真正流动起来。
📝 稿件基本要求:
• 文章确系个人原创作品,未曾在公开渠道发表,如为其他平台已发表或待发表的文章,请明确标注
• 稿件建议以 markdown 格式撰写,文中配图以附件形式发送,要求图片清晰,无版权问题
• PaperWeekly 尊重原作者署名权,并将为每篇被采纳的原创首发稿件,提供业内具有竞争力稿酬,具体依据文章阅读量和文章质量阶梯制结算
📬 投稿通道:
• 投稿邮箱:hr@paperweekly.site
• 来稿请备注即时联系方式(微信),以便我们在稿件选用的第一时间联系作者
• 您也可以直接添加小编微信(pwbot02)快速投稿,备注:姓名-投稿
![]()
△长按添加PaperWeekly小编
🔍
现在,在「知乎」也能找到我们了
进入知乎首页搜索「PaperWeekly」
点击「关注」订阅我们的专栏吧