![]()
©PaperWeekly 原创 · 作者 | 苏剑林之前在《Transformer升级之路:从Performer到线性Attention》、《为什么现在的LLM都是Decoder-only的架构?》等文章中,我们从 Attention 矩阵的“秩”的角度探讨了 Attention 机制,并曾经判断线性 Attention 不如标准 Attention 的关键原因正是“低秩瓶颈”。
然而,这一解释对于双向的 Encoder 模型或许成立,但却难以适用于单向的 Decoder 模型,因为 Decoder 的 Attention 矩阵的上三角部分是被 mask 掉的,留下的下三角矩阵必然是满秩的,而既然都是满秩了,那么低秩瓶颈问题似乎就不复存在了。
所以,“低秩瓶颈”并不能完全解释线性 Attention 的能力缺陷。在这篇文章中,笔者试图寻求另一个角度的解释。简单来说,与标准 Attention 相比,线性 Attention 更难“集中注意力”,从而难以准确地定位到关键 token,这大概是它效果稍逊一筹的主要原因。
稀疏程度
该指标跟信息熵相似, 越小意味着对应的随机向量越稀疏,越稀疏意味着越有可能“一家独大”,这对应于概率中的 one hot 分布,跟信息熵不同的是,它适用于一般的随机变量或者向量。![]()
简化形式
接下来都考虑 的极限。假设 ,那么可以设 ,其中 ,于是注意 所服从的分布 是一个各向同性的分布,与《n 维空间下两个随机向量的夹角分布》[2] 推导的化简思路一样,由于各向同性的原因, 相关的数学期望只与 的模长有关,跟它的方向无关,于是我们可以将 简化为 ,那么对 的数学期望就可以简化为![]()
两个例子
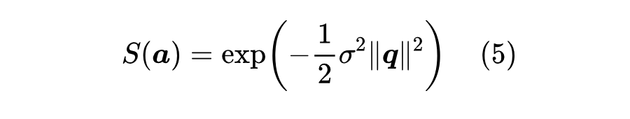
现在可以对常见的一些 进行计算对比了。目前最常用的 Attention 机制是 ,此时求期望只是常规的一维高斯积分,容易算得当 或 时,都有 ,也就是理论上标准Attention确实可以任意稀疏地“集中注意力”,同时这也告诉了我们让注意力更集中的方法:增大 的模长,或者增大各个 之间的方差,换言之拉开 的差距。![]()
![]()
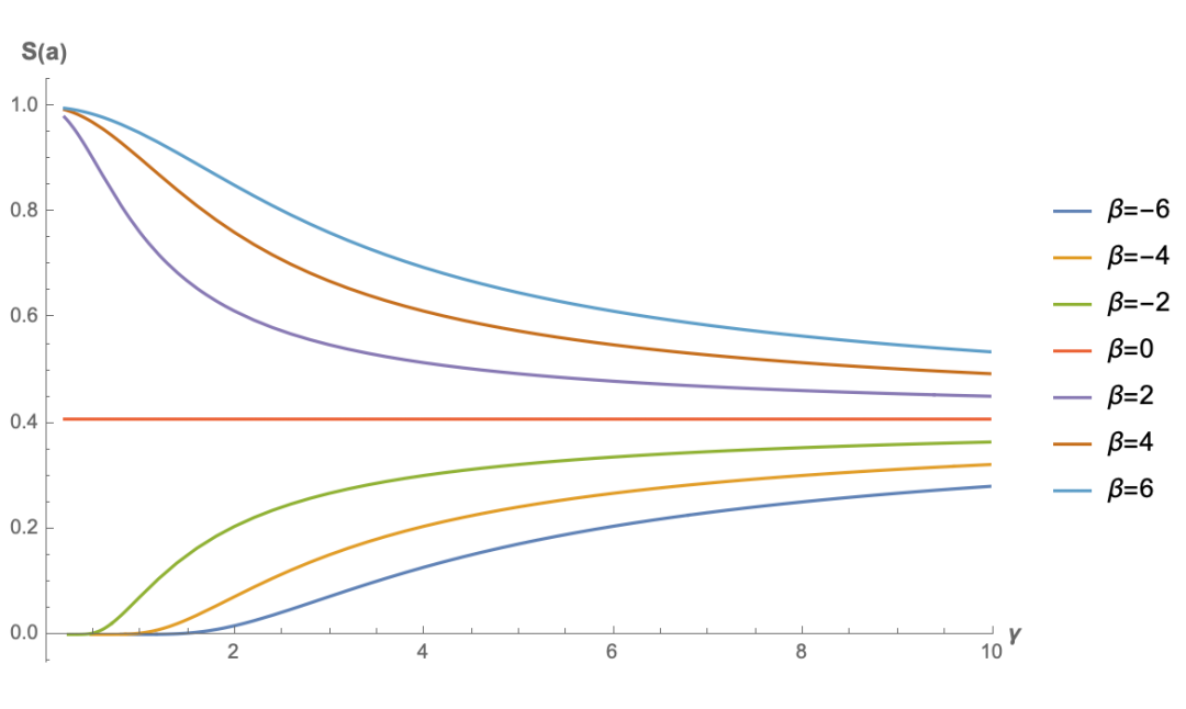
▲ relu2注意力的稀疏程度曲线图
可以看到,只有 时,原版 GAU 的稀疏度才有机会趋于 0。这也很直观,当偏置项小于 0 时,才有更多的机会让 的结果为 0,从而实现稀疏。这个结果也说明了跟 的标准注意力不同, 的 bias 项可能会对 的 GAU 有正面帮助。![]()
极简线性
下面我们再来看一个最简单的例子:不加 ,或者等价地说 。这种情况下对应的就是最简单的一种线性 Attention,同样可以用 Mathematica 硬算得:![]()
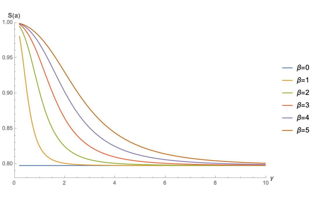
▲ 极简线性注意力的稀疏程度曲线图
注意,此时的 是关于 偶函数(读者不妨尝试证明一下),所以 时图像跟它相反数的图像是一样的,因此上图只画了 的结果。从图中可以看出,不加任何激活函数的线性 Attention 的稀疏程度并不能接近 0,而是存在一个较高的下限,这意味着当输入序列足够长时,这种线性 Attention 并没有办法“集中注意力”到关键位置上。
![]()
一般线性
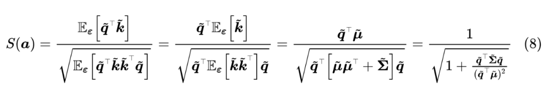
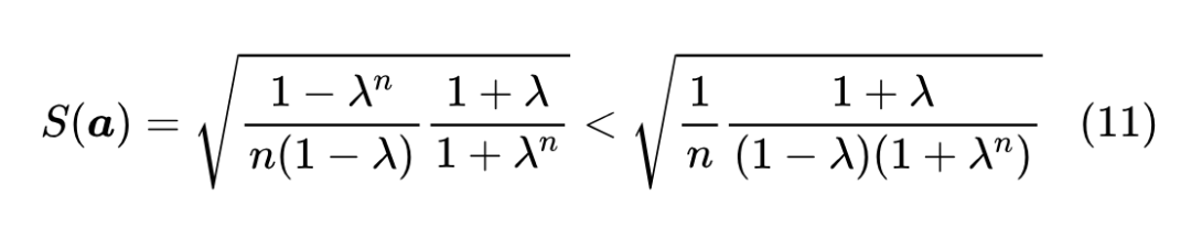
这是关于非负型线性 Attention 的一般结果,现在还没做任何近似,其中 分别是 序列的均值向量和协方差矩阵。从这个结果可以看出,非负型线性 Attention 也可能任意稀疏(即 ),只需要均值趋于0,或者协方差趋于 ,也就是说 序列的信噪比尽可能小。然而 序列是一个非负向量序列,信噪比很小的非负序列意味着序列中大部分元素都是相近的,于是这样的序列能表达的信息有限,也意味着线性 Attention 通常只能表示绝对位置的重要性(比如 Attention 矩阵即某一列都是 1),而无法很好地表达相对位置的重要性,这本质上也是线性 Attention 的低秩瓶颈的体现。为了更形象地感知 的变化规律,我们不妨假设一种最简单的情况: 的每一个分量是独立同分布的,这时候均值向量可以简化为 ,协方差矩阵则可以简化为 ,那么 的公式可以进一步简化为从这个结果可以看出,要想线性注意力变得稀疏,一个方向是增大 ,即降低 序列的信噪比,另一个方向则是增大 ,该因子最大值是 ,其中 是 的维数,所以增大它意味着要增大 ,而增大了 意味着提高了注意力矩阵的秩的上限,这跟低秩瓶颈视角的结论一样,只有增大 才能从根本上缓解线性 Attention 的不足。特别地,我们在《Transformer升级之路:作为无限维的线性Attention》[3] 也分析过,标准 Attention 也可以理解为一种无限维的线性 Attention,也就是说理论上只有将 d 增加到无穷大,才能彻底弥合两者的差距。![]()
线性衰减
当 时,只要 ,总有 ,所以对于带有显式 Decay 的线性 RNN 模型来说,稀疏性是不成问题的,它的问题是只能表达随着相对位置增大而衰减的、固定不变的注意力,从而无法自适应地关注到距离足够长的 Context。![]()
文章小结
本文提出了通过 Attention 矩阵的稀疏程度来考察不同 Attention 机制潜力的思路,得出二次型 Attention 机制有可能实现任意稀疏的 Attention 矩阵,线性 Attention 则并不容易实现这种稀疏,或者只能实现绝对位置相关的稀疏,这可能是线性 Attention 能力有所限制的原因之一。
[1] https://arxiv.org/abs/1711.07971
[2] https://kexue.fm/archives/7076
![]()
如何才能让更多的优质内容以更短路径到达读者群体,缩短读者寻找优质内容的成本呢?答案就是:你不认识的人。
总有一些你不认识的人,知道你想知道的东西。PaperWeekly 或许可以成为一座桥梁,促使不同背景、不同方向的学者和学术灵感相互碰撞,迸发出更多的可能性。
PaperWeekly 鼓励高校实验室或个人,在我们的平台上分享各类优质内容,可以是最新论文解读,也可以是学术热点剖析、科研心得或竞赛经验讲解等。我们的目的只有一个,让知识真正流动起来。
📝 稿件基本要求:
• 文章确系个人原创作品,未曾在公开渠道发表,如为其他平台已发表或待发表的文章,请明确标注
• 稿件建议以 markdown 格式撰写,文中配图以附件形式发送,要求图片清晰,无版权问题
• PaperWeekly 尊重原作者署名权,并将为每篇被采纳的原创首发稿件,提供业内具有竞争力稿酬,具体依据文章阅读量和文章质量阶梯制结算
📬 投稿通道:
• 投稿邮箱:hr@paperweekly.site
• 来稿请备注即时联系方式(微信),以便我们在稿件选用的第一时间联系作者
• 您也可以直接添加小编微信(pwbot02)快速投稿,备注:姓名-投稿
![]()
△长按添加PaperWeekly小编
🔍
现在,在「知乎」也能找到我们了
进入知乎首页搜索「PaperWeekly」
点击「关注」订阅我们的专栏吧
![]()