公众号内回复「嵌入式基地」,即可免费获取更多学习资料
三极管除了可以当做交流信号放大器之外,也可以做为开关之用。严格说起来,三极管与一般的机械接点式开关在动作上并不完全相同,但是它却具有一些机械式开关所没有的特点。图1所示,即为三极管电子开关的基本电路图。由图可知,负载电阻被直接跨接于三极管的集电极与电源之间,而位居三极管主电流的回路上。
图1 基本的三极管开关
输入电压Vin则控制三极管开关的开启(open) 与闭合(closed) 动作,当三极管呈开启状态时,负载电流便被阻断,反之,当三极管呈闭合状态时,电流便可以流通。详细的说,当Vin为低电压时,由于基极没有电流,因此集电极亦无电流,致使连接于集电极端的负载亦没有电流,而相当于开关的开启,此时三极管乃胜作于截止(cut off)区。
同理,当Vin为高电压时,由于有基极电流流动,因此使集电极流过更大的放大电流,因此负载回路便被导通,而相当于开关的闭合,此时三极管乃胜作于饱和区(saturatiON)。
1 三极管开关电路的分析设计
由于对硅三极管而言,其基射极接面之正向偏压值约为0.6伏特,因此欲使三极管截止,Vin必须低于0.6伏特,以使三极管的基极电流为零。通常在设计时,为了可以更确定三极管必处于截止状态起见,往往使Vin值低于 0.3伏特。当然输入电压愈接近零伏特便愈能保证三极管开关必处于截止状态。欲将电流传送到负载上,则三极管的集电极与射极必须短路,就像机械开关的闭合动作一样。欲如此就必须使 Vin达到够高的准位,以驱动三极管使其进入饱和工作区工作,三极管呈饱和状态时,集电极电流相当大,几乎使得整个电源电压Vcc均跨在负载电阻上,如此则VcE便接近于0,而使三极管的集电极和射极几乎呈短路。在理想状况下,根据奥姆定律三极管呈饱和时,其集电极电流应该为:
因此,基极电流最少应为:
上式表出了IC和IB之间的基本关系,式中的β值代表三极管的直流电流增益,对某些三极管而言,其交流β值和直流β值之间,有着甚大的差异。欲使开关闭合,则其Vin值必须够高,以送出超过或等于(式1) 式所要求的最低基极电流值。由于基极回路只是一个电阻和基射极接面的串联电路,故Vin可由下式来求解:
一旦基极电压超过或等于(式2) 式所求得的数值,三极管便导通,使全部的供应电压均跨在负载电阻上,而完成了开关的闭合动作。
总而言之,三极管接成图1的电路之后,它的作用就和一只与负载相串联的机械式开关一样,而其启闭开关的方式,则可以直接利用输入电压方便的控制,而不须采用机械式开关所常用的机械引动、螺管柱塞或电驿电枢等控制方式。
为了避免混淆起见,本文所介绍的三极管开关均采用NPN三极管,当然NPN三极管亦可以被当作开关来使用,只是比较不常见罢了。
试解释出在图2的开关电路中,欲使开关闭合(三极管饱和) 所须的输入电压为何﹖并解释出此时之负载电流与基极电流值解﹕由2式可知,在饱和状态下,所有的供电电压完全跨降于负载电阻上,因此由方程式(1) 可知:
因此输入电压可由下式求得﹕
图2 用三极管做为灯泡开关
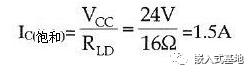
欲利用三极管开关来控制大到1.5A的负载电流之启闭动作,只须要利用甚小的控制电压和电流即可。此外,三极管虽然流过大电流,却不须要装上散热片,因为当负载电流流过时,三极管呈饱和状态,其VCE趋近于零,所以其电流和电压相乘的功率之非常小,根本不须要散热片。
2 三极管开关与机械式开关的比较
截至目前为止,我们都假设当三极管开关导通时,其基极与射极之间是完全短路的。事实并非如此,没有任何三极管可以完全短路而使VCE=0,大多数的小信号硅质三极管在饱和时,VCE(饱和) 值约为0.2伏特,纵使是专为开关应用而设计的交换三极管,其VCE(饱和) 值顶多也只能低到0.1伏特左右,而且负载电流一高,VCE(饱和) 值还会有些许的上升现象,虽然对大多数的分析计算而言,VCE(饱和) 值可以不予考虑,但是在测试交换电路时,必须明白VCE(饱和) 值并非真的是0。
虽然VCE(饱和)的电压很小,本身微不足道,但是若将几个三极管开关串接起来,其总和的压降效应就很可观了,不幸的是机械式的开关经常是采用串接的方式来工作的,如图3(a)所示,三极管开关无法模拟机械式开关的等效电路(如图3(b)所示)来工作,这是三极管开关的一大缺点。
图3 三极管开关与机械式开关电路
幸好三极管开关虽然不适用于串接方式,却可以完美的适用于并接的工作方式,如图4所示者即为一例。三极管开关和传统的机械式开关相较,具有下列四大优点﹕
三极管开关不具有活动接点部份,因此不致有磨损之虑,可以使用无限多次,一般的机械式开关,由于接点磨损,顶多只能使用数百万 次左右,而且其接点易受污损而影响工作,因此无法在脏乱的环境下运作,三极管开关既无接点又是密封的,因此无此顾虑。
三极管开关的动作速度较一般的开关为快,一般开关的启闭时间是以毫秒 (ms)来计算的,三极管开关则以微秒(μs)计。
三极管开关没有跃动(bounce) 现象。一般的机械式开关在导通的瞬间会有快速的连续启闭动作,然后才能逐渐达到稳定状态。
利用三极管开关来驱动电感性负载时,在开关开启的瞬间,不致有火花产生。反之,当机械式开关开启时,由于瞬间切断了电感性负载样 上的电流,因此电感之瞬间感应电压,将在接点上引起弧光,这种电弧非但会侵蚀接点的表面,亦可能造成干扰或危害。
图4 三极管开关之并联联接
3 三极管开关的测试
三极管开关不像机械式开关可以光凭肉眼就判断出它目前的启闭状态,因此必须利用电表来加以测试。在图5所示的标准三极管开关电路中,当开关导通时,VEC的读值应该为0,反之当开关切断时,VCE应对于VCC。
三极管开关在切断的状况下,由于负载上没有电流流过,因此也没有压降,所以全部的供应电压均跨降在开关的两端,因此其VCE值应等于VCC,这和机械式开关是完全相同的。如果开关本身应导通而未导通,那就得测试Vin的大小了。欲保证三极管导通,其基极的Vin电压值就必须够高,如果Vin值过低,则问题就出自信号源而非三极管本身了。假使在Vin的准位够高,驱动三极管导通绝无问题时,而负载却仍未导通,那就要测试电源电压是否正常了。
在导通的状态下,硅三极管的VBE值约为0.6伏特,假使Vin值够高,而VBE值却高于和低于0.6伏特,例如VBE为1.5伏特或0.2伏特,这表示基射极接面可能已经损坏,必须将三极管换掉。当然这一准则也未必百分之百正确,许多大电流额定的功率三极管,其VBE值经常是超过1伏特的,因此即使 VBE的读值达到1.5伏特,也未必就能肯定三极管的接面损坏,这时候最好先查阅三极管规格表后再下断言。
一旦VBE正常且有基极电流流动时,便必须测试VCE值,假使VCE趋近于VCC,就表示三极管的集基接面损坏,必须换掉三极管。假使VCE趋近于零伏特,而负载仍未导通,这可能是负载本身有开路现象发生,因此必须检换负载。
图5 三极管开关电路,各主要测试电的电压图
当Vin降为低电压准位,三极管理应截止而切断负载,如果负载仍旧未被切断,那可能是三极管的集基极和集射极短路,必须加以置换。
3.1 基本三极管开关之改进电路
有时候,我们所设定的低电压准位未必就能使三极管开关截止,尤其当输入准位接近0.6伏特的时候更是如此。想要克服这种临界状况,就必须采取修正步骤,以保证三极管必能截止。图6就是针对这种状况所设计的两种常见之改良电路。
图6 确保三极管开关动作,正确的两种改良电路
图6(a) 的电路,在基射极间串接上一只二极管,因此使得可令基极电流导通的输入电压值提升了0.6伏特,如此即使Vin值由于信号源的误动作而接近0.6伏特时,亦不致使三极管导通,因此开关仍可处于截止状态。
图6(b)的电路加上了一只辅助-截止(hold-off)电阻R2,适当的R1,R2及Vin值设计,可于临界输入电压时确保开关截止。由图6(b)可知在基射极接面未导通前(IB0),R1和R2形成一个串联分压电路,因此R1必跨过固定(随Vin而变) 的分电压,所以基极电压必低于Vin值,因此即使Vin接近于临界值(Vin=0.6伏特) ,基极电压仍将受连接于负电源的辅助-截止电阻所拉下,使低于0.6伏特。由于R1,R2及VBB值的刻意设计,只要Vin在高值的范围内,基极仍将有足够的电压值可使三极管导通,不致受到辅助-截止电阻的影响。
3.1.1 加速电容器
在要求快速切换动作的应用中,必须加快三极管开关的切换速度。图7为一种常见的方式,此方法只须在RB电阻上并联一只加速电容器,如此当Vin由零电压往上升并开始送电流至基极时,电容器由于无法瞬间充电,故形同短路,然而此时却有瞬间的大电流由电容器流向基极,因此也就加快了开关导通的速度。稍后,待充电完毕后,电容就形同开路,而不影响三极管的正常工作。
图7 加了加速电容器的电路
一旦输入电压由高准位降回零电压准位时,电容器会在极短的时间内即令基射极接面变成反向偏压,而使三极管开关迅速切断,这是由于电容器的左端原已充电为正电压,因此在输入电压下降的瞬间,电容器两端的电压无法瞬间改变仍将维持于定值,故输入电压的下降立即使基极电压随之而下降,因此令基射极接面成为反向偏压,而迅速令三极管截止。适当的选取加速电容值可使三极管开关的切换时间减低至几十分之微秒以下,大多数的加速电容值约为数百个微微法拉(pF) 。
有时候三极管开关的负载并非直接加在集电极与电源之间,而是接成图8的方式,这种接法和小信号交流放大器的电路非常接近,只是少了一只输出耦合电容器而已。这种接法和正常接法的动作恰好相反,当三极管截止时,负载获能,而当三极管导通时,负载反被切断,这两种电路的形式都是常见的,因此必须具有清晰的分辨能力。
图8 将负载接于三极管开关电路的改进接法
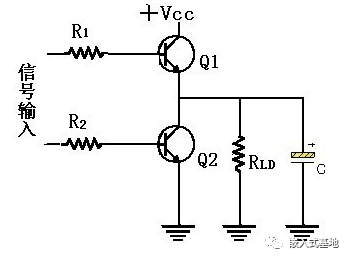
3.1.2 图腾式开关
假使图8的三极管开关加上了电容性负载(假定其与RLD并联) ,那么在三极管截止后,由于负载电压必须经由RC电阻对电容慢慢充电而建立,因此电容量或电阻值愈大,时间常数(RC) 便愈大,而使得负载电压之上升速率愈慢,在某些应用中,这种现象是不容许的,因此必须采用图9的改良电路。
图9 图腾式三极管开关
图腾式电路是将一只三极管直接迭接于另一三极管之上所构成的,它也因此而得名。欲使负载获能,必须使Q1三极管导通,同时使Q2三极管截断,如此负载便可经由Q1而连接至VCC上,欲使负载去能,必须使Q1三极管截断,同时使Q2三极管导通,如此负载将经由Q2接地。由于Q1的集电极除了极小的接点电阻外,几乎没有任何电阻存在(如图9所示) ,因此负载几乎是直接连接到正电源上的,也因此当Q1导通时,就再也没有电容的慢速充电现象存在了。所以可说Q1“将负载拉起”,而称之为“挽起 (pull up) 三极管”,Q2则称为“拉下(pull down) 三极管”。图9左半部的输入控制电路,负责Q1和Q2三极管的导通与截断控制,但是必须确保Q1和Q2使不致同时导通,否则将使VCC和地之间经由Q1和 Q2而形同短路,果真如此,则短路的大电流至少将使一只三极管烧毁。因此图腾式三极管开关绝对不可如图6-4般地采用并联方式来使用,否则只要图腾上方的三极管Q1群中有任一只导通,而下方的Q2群中又恰好有一只导通,电源便经由导通之Q1和Q2短路,而造成严重的后果。
3.2 三极管开关之应用
3.2.1 驱动指示
晶体管开关最常见的应用之一,是用以驱动指示灯,利用指示灯可以指示电路某特定点的动作状况,亦可以指示马达的控制器是否被激励,此外亦可以指示某一限制开关是否导通或是某一数字电路是否处于高电位状态。
举例而言,图10(a)即是利用晶体管开关来指示一只数字正反器(flip-flop)的输出状态。假使正反器的输出为高准位(一般为5伏特) ,晶体管开关便被导通,而令指示灯发亮,因此操作员只要一看指示灯,便可以知道正反器目前的工作状况,而不须要利用电表去检测。
有时信号源(如正反器)输出电路之电流容量太小,不足以驱动晶体管开关,此时为避免信号源不胜负荷而产生误动作,便须采用图10(b) 所示的改良电路,当输出为高准位时,先驱动射极随耦晶体管Q1做电流放大后,再使Q2导通而驱动指示灯,由于射极随耦级的输入阻抗相当高,因此正反器之须要提供少量的输入电流,便可以得到满意的工作。
数字显示器图10(a)之电路经常被使用于数字显示器上。
图10 (a) 基本电路图 (b) 改良电路
3.2.2 不同电压准位的界面电路
在工业设备中,往往必须利用固态逻辑电路来担任控制的工作,有关数字逻辑电路的原理,将在下一章详细加以介绍,在此为说明界面电路起见,先将工业设备的控制电路分为三大部份﹕
输入部份
逻辑部份
输出部份
为达到可靠的运作,工业设备的输入与输出部份通常工作于较高的电压准位,一般为220伏特。而逻辑部份却是操作于低电压准位的,为了使系统正常工作,便必须使这两种不同的电压准位之间能够沟通,这种不同电压间的匹配工作就称做界面(interface)问题。担任界面匹配工作的电路,则称为界面电路。三极管开关就经常被用来担任此类工作。
图11利用三极管开关做为由高压输入控制低压逻辑的界面电路之实例,当输入部份的微动开关闭合时,降压变压器便被导通,而使全波整流滤波电路送出低压的直流控制信号,此信号使三极管导通,此时集电极电压降为0(饱和)伏特,此0伏特信号可被送入逻辑电路中,以表示微动开关处于闭合状态。
反之,若微动开关开启,变压器便不通电,而使三极管截止,此时集电极电压便上升至VCC值,此一VCC信号,可被送入逻辑电路中,藉以表示微动开关处于开启状态。在图11之中,逻辑电路被当作三极管的负载,连接于集电极和地之间(如图11) ,因此三极管开关电路的R1,R2和RC值必须慎加选择,以保证三极管只工作于截止区与饱和区,而不致工作于主动(线性) 区内。
图11三极管开关当作输入部份与逻辑部份之间的界面
免责声明:本文内容来源于网络,文章版权归原作者所有,若涉及作品版权问题,请联系删除。