欢迎向本公众号投稿文献解读类原创文章,投稿邮箱:1298332329@qq.com,请将稿件以附件形式发送。海内外招生、访学、招聘等稿件,请联系微信:17300921889。
作者 | 黄紫阳
今天介绍的是西北工业大学施建宇老师、于会老师发表在Information Sciences上的一篇文章“RANEDDI: Relation-aware network embedding for drug-drug interaction prediction”。本文提出了一种基于多关系网络的药物嵌入学习方法,用来预测药物-药物相互作用。
1.摘要
2.模型介绍
表示x的L2范数,
为Hadamard积,分数越高,说明di在复向量空间中被关系r旋转后,距离dj越近,说明di和dj之间存在关系r的边的可能性越大。通过将每个关系定义为复向量空间中的旋转,RotatE可以建模并推断所有关系类型,以捕获多关系信息。
2.2 关系感知的网络结构嵌入学习
其中,,
表示向量拼接,
表示x的实数部分,
表示x的虚数部分。
是dj在关系r下的信息,
,其中
是与r有关的参数矩阵。考虑到从邻域传播的信息量可能不同,模型为每个实体分配了一个权值参数
,该参数可以在训练过程中进行更新。
其中是一个转换矩阵,
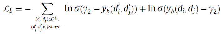
3.实验结果
4.总结
参考文献
扫描二维码获取
更多精彩
AI in Graph
本公众号主要介绍应用于图、知识图谱的人工智能算法和研究进展,及其在生物信息、医学健康领域的应用。欢迎关注本公众号获取领域最新文献解读。
点个在看+赞支持一下呗
前往“发现”-“看一看”浏览“朋友在看”