参宿四即猎户座α星,是一颗距离地球约724光年的红超巨星;近年来,她是手机新闻上的常客,众人津津乐道的,莫过于她那多变的“性情”,犹如宇宙中的星芒,变幻莫测,令人留连忘返。
冬季大三角与冬季大钻石,
参宿四便是中间那个(irentals)
在关于参宿四何时发生超新星爆发的讨论中,我们经常能见到的一种言论便是:“或许参宿四已然爆发,只是其辉煌光芒还未抵达地球。”那么,这种说法是否正确呢?要回答这个问题,我们需要先进行一些必要的背景介绍。我们先要探讨牛顿的绝对时空观和爱因斯坦的相对时空观。
绝对时空观简介
经由广泛的大众科普和学前教育,艾萨克·牛顿发现万有引力的故事已经人尽皆知;但作为真正伟大的数学家,牛顿对科学的贡献远不止于此。在1687年,牛顿创作并首次出版了他最为重要的著作《自然哲学的数学原理》,这本书被誉为科学领域最伟大的著作之一。
自然哲学的数学原理,1725年本
(jonkers)
在这本著作中,牛顿给出了经典力学的八大定义,建立了经典力学完整的公理化体系;解释了八大定义后,他在附言中留下了这样的词语:“我没有定义时间、空间、所处和运动,因为它们是为人所熟知的。唯一需要说明的是,一般人除了通过可感知的客体外无法想象这些量,并会因此产生误解,为了消除误解,可方便地将这些量分为绝对的和相对的,真实的和表象的以及数学的和普遍的。”
牛顿对绝对的时间、空间、所处和运动给出了自己的定义,也奠定了经典力学所适用的时空范围,即绝对时空。在绝对时空中,绝对时间与绝对空间是单独的,互相没有直接关系,于斯,空间寂静绝对,时光匀均绝对;时间度量不随参考系变化,长度度量也与视角无关。可以如此理解:空间犹如物质华彩的舞台,而时间则似墙上的挂钟,其影不触,两者共筑物质秩序;这一观点,主导了此后数百年内物理学家甚至天文学家的思维模式。
相对时空观简介
“你和一个漂亮姑娘在公园的长椅上坐一个小时,感觉只过了一分钟;你在火炉旁边坐一分钟,却感觉过了一个小时。”
19世纪末期,经典物理学发展接近顶峰,人们确信波的传播依赖于介质,如水波赖水、音波须倚气;随着光的波动理论盛行,人们为了解释光的传播方式,提出了一个叫做“以太”的媒介。这个以太被认为存在于绝对空间中,帮助我们理解光的行为。
迈克尔逊-莫雷实验,也被称为以太漂移实验,扮演了检验牛顿的绝对时空观念的重要角色。其主要目的是测量地球相对于绝对空间的移动速度。然而,令人奇怪的是,在两次实验中,光波传播时未显示出相位差,结果似乎是零。这令人疑惑,因为我们知道地球围绕太阳公转的速度超过了30公里每秒,所以它显然不可能静止在所谓的以太中。这一实验结果对牛顿的绝对时空观受到了巨大的挑战。
迈克耳孙和莫雷的干涉仪装置
(Case Western Reserve University)
当绝大多数物理学家竭力试图解决“以太”理论的重大困难时,爱因斯坦在他的《论动体的电动力学》一文中呈现了狭义相对论,提出了崭新的时空观:狭义相对论告诉我们,时间和空间间隔是相对的,同时发生性也是相对的;唯一绝对不变的是物理定律和真空中的光速,这叫做相对性原理。从数学上讲,光速是通过下式计算得来:
这一计算过程基于经典电动力学;由于相对性原理的规定,不论任何参考系下物理定律不变,因而电动力学也不发生变化,基于此计算出的光速自然也就不变了。
从科学的角度来说,这一理论提出了相对性原理与光速不变原理,否定了伽利略变换下的绝对时空观。这一理论解决了“以太”理论的难题,因为在相对论的视角下,以太根本不存在。实际上,迈克尔逊-莫雷实验恰好证实了狭义相对论。在这一新的相对时空观中,时间与空间紧密相连,它们都会随着不同的参考物而变化。
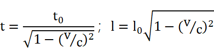
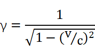
狭义相对论对时空相对性的解释,重点在于时间延缓效应和尺度缩短效应,其公式如下:
其中,这个最常出现的东西被定义为洛伦兹因子γ:
作为拓展,我们来说明一下如何通过光速不变原理理解时间延缓效应。
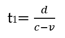
假设现在有一飞船从地球与一束光同时同向出发,飞船上与地球上各有观测者A与B,飞船速度v接近光速。
现在,于地球上的观测者B发现:由于飞船速度极为接近光速,光经过了极长的时间才将差距拉开到一定的距离d,可以计算该时间为:
与飞船上的观测者A则发现,光相对于其的速度仍为c,同样拉开距离d用时如下:
显然:t2<t1,对于发生同一事件所经历的同一段时间∆t,A与B感受到的时间长度不同,近光速状态下的A感受到的时间t2远小于近静止状态下B感受到的时间t1,时间的流动速度变慢了,此即时间延缓效应。这一效应有力地说明了不同参考系下时空度规不同的事实。
关于这两个重要效应尺度缩短效应及绝对时空观、相对时空观的介绍,网上已经有很多了,这里仅做知识铺垫,不再赘述,下面我们进入正题。
相对时空下的宇宙
显而易见,在广袤的宇宙中,巨大的尺度和显著的引力效应使得牛顿的古典力学不再适用,我们进入了相对论的领域,因此需要采用相对时空观。
首先,我们给出光年的定义:
光年(light year)是一种长度单位,表示光在真空中传播一儒略年(约365.25天)所经过的距离,这个距离约等于9.46×10^12千米。这是广为人知的定义。对于宇宙中的大多数天体,我们通常用光年来表示它们与地球的距离。举个例子,前文提到的参宿四,距离我们约724光年;还有大家熟知的“天关客星”,即蟹状星云,距离我们大约是6.5±1.6千光年。
https://www.cdstm.cn/theme/hellosky/201202/t20120203_452125.html
以它为例,它的前身超新星SN 1054在公元1054年观测到,假设它距离地球精确地为6500光年,那么到今天(公元2023年),请问它有多少岁了?
大多数人都能轻松地回答这个问题:6500+2023-1054=7469(岁)
这个答案的前提显而易见:我们与目标天体处在同一个时间下,二者经历的时间完全相同,只是因为距离太远,导致我们看到的信息有一些滞后。这个表述,非常符合牛顿的绝对时空观。
在狭义相对论中,光速不变,而光速c也代表了宇宙中信息传递的最大速度。需要明确:在这里,信息不仅仅指通信信息,还包括宏观的所有过程和变化,以及它们对宇宙的影响,由此可以引出一个新的概念:光锥。光锥的概念是相对论中解释因果关系和信息传递的基础之一。它强调了信息的传播速度受到光速的限制,以及事件之间的因果联系如何随着信息的传播而建立。这一观点深刻地改变了我们对时间和空间的理解,使其适应了相对论的观念。
光锥(YanTTO)
由此,我们可以得出一个结论:相对时空的框架下,每个观察者和每个位置都拥有独特的时间流逝,我们所看到的遥远天体实际上是按照我们的时间标准呈现的“当下”状态。换句话说,对于我们来说,我们所观察到的就是“现在”。
因此,以蟹状星云为例,我们并没有看到6500年前的蟹状星云,因为这将是一种基于经典时空观的幻觉,即“现在的蟹状星云”。
不同波段下的蟹状星云(NASA)
相反,我们可以理解为:相对于我们,蟹状星云的时间相对滞后了6500年,同时相对于蟹状星云,我们的时间也滞后了6500年。所以它的年龄实际上就是:
2023-1054=969(岁)
这种说法可能听起来有点复杂,但可以简单地理解为:无论什么事物的演化状态,对于我们来说都是与我们所观察到的样子相吻合的。这解答了一开始的问题:我们没有观测到参宿四的爆炸,因此可以认为它并未发生。
— END —
石头
DR.STONE
工作室
科普
撰稿:天音
美编:可然
DR.STONE · 致力于地球和空间科学科普