Softmax回归,用于多类别
Softmax回归可看作逻辑回归的扩展,用于解决多分类问题。
鸢尾花数据集是机器学习中比较常用的,数据集包含150条数据,共分为3类:setosa, versicolor, virginica,每类50条数据,每个数据包含4个属性,为萼片长度,萼片宽度,花瓣长度以及花瓣宽度。
不同于逻辑回归,Softmax回归定义一条数据X1属于类别Yi的概率为P(Y=Yi|X1,Ai),其中Ai代表类别Yi的超平面参数,表达式如下:
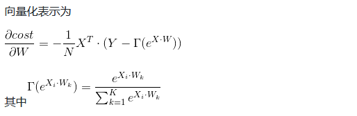
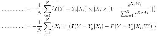
其中那个类别对应的数较大,则说明X1属于哪个类别。具体的推导过程见下面:
下面介绍Softmax回归的理论推导:
Softmax回归二维数据实例
训练数据:
三种实现方法结果展示:
点击阅读原文,获得实例源码,欢迎Fork,感谢Star!!!