在这篇SynchroTrap欺诈检测算法代码实操示例文章中,我们通过 SynchroTrap思想构建了商户评价用户的同步行为关系,接下来用社区发现算法LPA对这些行为进行打标,将其划分成不同属性的社区(群体)。
一、LPA算法应用示例
这里同步行为次数是基于商户(约束条件)去重作统计的,即A和B对同一个商家Y在不同时间段有多次匹配行为时,只算作一次。我们也可以考虑不对商家作去重处理,不过需要注意的是在杰斯卡相似度计算过程用到的x_cnt等指标逻辑也要保持一致,要么都去重,要么都不去重,我在这块处理上也搞错过。如果采用不去重法得到的应是:
由于 LPA 的算法输入为图,需要将其转换成图形式
import matplotlib.pyplot as pltimport networkx as nxtuples = [tuple(x) for x in group[['Buy_x','Buy_y','x∩y']].values] ##x∩y为weightG = nx.Graph() ##本次采用无向图,对应有DiGraph, MultiGraph, MultiDiGraph等画图选项G.add_weighted_edges_from(tuples) ##如果是二元组,使用add_edges_from;weight另外定义pos=nx.spring_layout(G)nx.draw_networkx(G,pos)
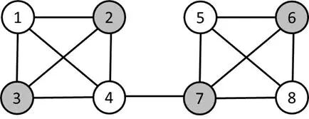
示例样本量太少,不易作社区划分,手工添加多个社区节点
G.add_edge('BUY_04','BUY_05',weight=2)G.add_edge('BUY_05','BUY_06',weight=1)G.add_edge('BUY_05','BUY_07',weight=2)G.add_edge('BUY_06','BUY_08',weight=1)G.add_edge('BUY_07','BUY_08',weight=3)G.add_edge('BUY_08','BUY_09',weight=1)G.add_edge('BUY_08','BUY_10',weight=4)G.add_edge('BUY_09','BUY_11',weight=2)pos=nx.spring_layout(G)labels = nx.get_edge_attributes(G,'weight')nx.draw_networkx(G,pos)nx.draw_networkx_edge_labels(G,pos,edge_labels=labels)
3. 使用 LPA 算法划分社区
使用同步行为出现的次数即 x∩y 值作为输入权重
from networkx.algorithms.community import asyn_lpa_communities as lpa# LPA本身不稳定,会存在波动com = list(lpa(G,'weight')) #seedprint('社区数量',len(com))
二、LPA算法介绍
LPA全称Label Propagation Algorithm,即标签传递算法,属于图聚类算法,社区发现算法中比较简单易懂的一种。
标签初始化:初始状态下,每个节点将自己的编号作为标签(标签就是指节点所在社区的编号)。
标签传播:每个节点向其邻居(图中边另一头的节点)传播自己的标签,即告诉邻居自己是属于哪个社区的。
标签更新:每个节点根据其邻居的标签,选择重复数最多的那个标签作为自己的标签,即哪个社区包含其最多的邻居,它也算到该社区。如果多个社区包含的邻居数相同且最高,则随机选取其中一个社区。
Near Linear Time Algorithm to Detect Community Structures in Large-Scale Networks
题图来源:网站Pexels
THE END