为了高效地学习准确的预测框及其分布,论文对Focal loss进行拓展,提出了能够优化连续值目标的Generalized Focal loss,包含Quality Focal loss和Distribution Focal loss两种具体形式。QFL用于学习更好的分类分数和定位质量的联合表示,DFL通过对预测框位置进行general分布建模来提供更多的信息以及准确的预测。从实验结果来看,GFL能够所有one-stage检测算法的性能
来源:晓飞的算法工程笔记 公众号
论文: Generalized Focal Loss: Learning Qualified and Distributed Bounding Boxes for Dense Object Detection
目前,dense detector(one-stage)是目标检测中的主流方向,论文主要讨论其中的两个做法:
经过分析,论文发现上述的两个做法存在以下问题:
为了解决上面的两个问题,论文分别提出了解决的策略:
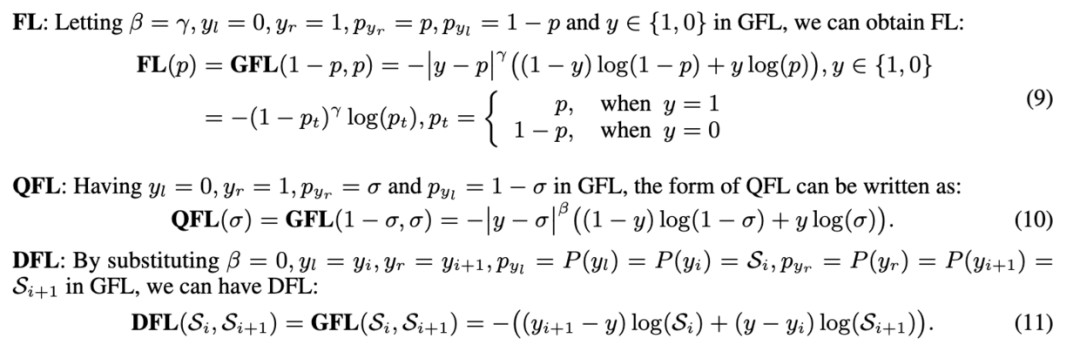
实际上,使用上述提到的两种策略会面临优化的问题。在常规的one-stage检测算法中,分类分支都使用Focal loss进行优化,而Focal loss主要针对离散的分类标签。在论文将定位质量与分类分数结合后,其输出变为类别相关的连续的IoU分数,不能直接使用Focal loss。所以论文对Focal loss进行拓展,提出了GFL(Generalized Focal Los),能够处理连续值目标的全局优化问题。GFL包含QFL(Quality Focal Los)和DFL( Distribution Focal Los)两种具体形式,QFL用于优化难样本同时预测对应类别的连续值分数,而DFL则通过对预测框位置进行general分布的建模来提供更多的信息以及准确的位置预测。
总体而言,GFL有以下优点:
FL主要用于解决one-stage目标检测算法中的正负样本不平衡问题:
包含标准的交叉熵部分以及缩放因子部分,缩放因子会自动将容易样本降权,让训练集中于难样本。
由于FL仅支持离散标签,为了将其思想应用到分类与定位质量结合的连续标签,对其进行了扩展。首先将交叉熵部分扩展为完整形式,其次将缩放因子泛化为预测值与连续标签的绝对差值,将其组合得到QFL:
为QFL的全局最小解。
缩放因子的超参数用于控制降权的速率,表现如上图所示,假定目标连续标签,距离标签越远产生的权重越大,反之则趋向于0,跟FL类似。
论文跟其它one-stage检测算法一样,将当前位置到目标边界的距离作为回归目标。常规的方法将回归目标建模为Dirac delta分布,Dirac delta分布满足,可通过积分的形式求得标签:
如前面说到的,这种方法没有体现预测框的真实分布,不能提供更多的信息,所以论文打算将其表示为general的分布。给定标签的取值范围,可像Dirac delta分布那样从建模的genreal分布得到预测值:
为了与神经网络兼容,将连续区域的积分变为离散区域的积分,离散区域的间隔,预测值可表示为:
可通过softmax操作获得,标记为,预测值可使用常规的方法进行后续的end-to-end学习,比如Smooth L1、IoU loss和GIoU Loss。
但实际上,同一个积分结果可由多种不同分布所得,会降低网络学习的效率。考虑到更多的分布应该集中于回归目标的附近,论文提出DFL来强制网络提高最接近的和的概率,由于回归预测不涉及正负样本不平衡的问题,所以DFL仅需要交叉熵部分:
DFL的全局最优解为,,使得无限接近于标签。
QFL和DFL可统一地表示为GFL,假定值和的预测概率分别为和,最终的预测结果为,GT标签为,满足,将作为缩放因子,GFL的公式为:
GFL的全局最优在,。
FL、QFL和DFL均可认为是GFL的特殊情况。使用GFL后,与原来的方法相比有以下不同:
在使用GFL后,网络损失变为:
为GIoU损失
性能对比。
对比实验。
基于ATSS与SOTA算法进行对比。
为了高效地学习准确的预测框及其分布,论文对Focal loss进行拓展,提出了能够优化连续值目标的Generalized Focal loss,包含Quality Focal loss和Distribution Focal loss两种具体形式。QFL用于学习更好的分类分数和定位质量的联合表示,DFL通过对预测框位置进行general分布建模来提供更多的信息以及准确的预测。从实验结果来看,GFL能够所有one-stage检测算法的性能。
如果本文对你有帮助,麻烦点个赞或在看呗~
更多内容请关注 微信公众号【晓飞的算法工程笔记】