世界气象组织最新数据显示,已经持续较长时间的拉尼娜事件很可能会延续到今年年底或更久。
这将是21世纪首次出现「三重」拉尼娜事件,即北半球出现连续三个拉尼娜冬季。那么,今冬可能出现的「三重」拉尼娜事件究竟意味着什么呢?
今天知乎答主们就「三重」拉尼娜事件产生的原因、造成的后果进行了梳理和分析。
三重拉尼娜,也没有听着这么唬人,就是连续第三年拉尼娜中出现了三个峰值,至于影响,简而言之,就是在一定程度上,会倾向我国冬季总体上容易出现阶段性偏冷(比如十二月偏暖,但一月偏冷等),且南方大部偏干燥,冷空气总体频率相对偏多,但气温起伏较大,偏冷时期容易出现强于常年的雨雪冰冻天气。
因为大气是一个特别混沌的系统,通过之前的统计学规律只能发现一部分的对应关系,但是相关系数并没有那么强,此外各机构超级计算机针对今年冬天模拟的结果也有分歧和不同,所以只能给出容易出现强于常年的阶段性偏冷过程。
但是不能说整个冬天都是很冷的,拿前两年拉尼娜冬天来说,20~21 年冬天,在一月初就出现了超强寒潮,就是21年1月底跨年寒潮和小寒寒潮,而二月份又史诗级偏暖,而 21~22 年冬天(就是今年上半年),又在 2 月份出现了大范围雨雪冰冻天气,南方大范围二月份气温偏低,但是 1 月却全国大范围气温偏高。
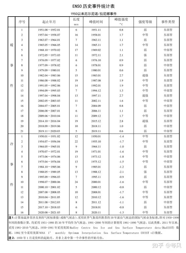
三重拉尼娜事件,则是一个完整的拉尼娜过程里,出现三个峰值(赤道中东太平洋海温的偏低极值)的拉尼娜事件。具体到本次事件,自 2020 年春季起赤道中东太平洋迅速转为偏冷,并在随后三年发展出 2020 年夏至 2021 年春、2021 年秋到 2022 年初夏和如今(2022 年秋起)再度发展的三次冷峰值,因此是标准的三重(三峰)拉尼娜事件。三重拉尼娜事件相对少有,但绝非首次出现。自建国以来总共有三次,分别为 1973-1976 年事件、 1998-2001 年事件和本次事件。
——风云梦远
拉尼娜是赤道中东太平洋海温异常偏冷的现象,通过海气相互作用和大气环流影响全球气候。
其中,偏冷代表时间上至少要维持 5 个月,而且是赤道中东太平洋较常年平均偏低 0.5°C 以上。
在通常情形下,赤道两侧是盛行东风(信风带),它将东太平洋海表较暖的海水向西太平洋输送。而为了补偿表层海水的缺失,在东太平洋地区会有深处的冷水上翻,而西太平洋多的海水也会堆积下沉,在海表以下回流到东太平洋,构成一个循环。
当偏东信风较常态异常偏强时候,东太平洋表层暖水被进一步向西输送,东太平洋进一步变得偏冷,此时海表附近的空气受冷却下沉,在海表处聚集形成高压。气压梯度力将导致从东太平洋向西吹拂的信风进一步增强,西太平洋海温变得偏高,会继续增强这一循环,形成正反馈调节,最终形成拉尼娜。
拉尼娜事件可引起相当大范围大气环流异常,甚至通过大气波动,它还能影响到热带太平洋以外海区的海温,进一步导致各地大气环流与气候的异常。
今年拉尼娜的反季节锁相发展,导致西太平洋副热带高压增强西伸,在夏季长期稳定控制长江中下游地区,造成了今年我国夏季极端高温干旱。
而在初秋,拉尼娜事件的演变让对流活跃区域明显向吕宋岛东北方扩展,激发出台湾岛以东明显的气旋性异常环流。长江中游地区脱离了副热带高压,却又被气旋环流西北侧的干燥东北风控制,难以有明显降雨。
「三重」拉尼娜对今年冬天会有什么影响?
国家气候中心最新监测结果显示,赤道中东太平洋拉尼娜事件在进一步持续,预计会延续到 2022/2023 年冬季。
今年是连续第三年拉尼娜冬已经板上钉钉。
拉尼娜在过去和我国冷冬有一部分对应关系, 2008 年南方低温雨雪灾害就是一部分拉尼娜冬原因,但是随着近年来气候变暖等因素的发展,拉尼娜和冷冬的对应关系越来越不明显。
一定程度上,拉尼娜会倾向我国冬季总体偏冷且南方大部偏干燥。但是近期的频繁冷空气是短期天气过程,和拉尼娜这类气候异常没有直接明显关联。
至于「出现极端寒潮或者数十年一遇的寒冬」,没有任何显著有力的依据。
在变暖背景下,总体而言我国出现强冷冬的概率不大,但典型拉尼娜年也难有强暖冬。在拉尼娜的影响下,江南华南常常会出现一个降水较为稀少的冬季;气温方面整体倾向于我国大部比常年稍冷,但并不意味着冬季均温一定偏低,有时还会出现暖冬。
叠加气候变暖的趋势后,拉尼娜年冬季我国气温起伏较大,易出现强于常年的阶段性低温过程或雨雪冰冻天气,如 2008、2011、2022 年 2 月等。
和冬三月均温相比,更值得关注的是季节内变化。过去 15 年间共有 6 个冬季受拉尼娜影响,这些年份不论均温高低,都无一幸免地出现了强于常年的阶段性雨雪或低温过程,这也是今冬需要重点关注的方面。
总结一下,今年冬天(12 月~2 月)可能仿照去年或前年冬天,我国可能会出现阶段性的寒潮和雨雪冰冻天气,但是不会出现长时间大范围冷冬。
整体降水偏少,前冬(12 月)偏少,后冬降水正常或略偏多。
整体气温正常略偏高,前冬(12 月)偏高,后冬(1~2 月)正常略偏低。12 月下旬到 1 月下旬期间容易出现阶段性寒潮。
| 答主:清都山水郎
所谓拉尼娜事件,是指赤道太平洋东部和中部海面温度持续异常偏冷的现象。
世界气象组织 8 月预测显示,当前的拉尼娜事件可能会在未来 6 个月内持续,持续到 2022 年 9 月至 11 月的概率为 70%,持续到 2022 年 12 月至 2023 年 2 月的概率将逐渐下降至 55%。
当前拉尼娜事件始于 2020 年 9 月,随着 2022 年 7 月中旬至 8 月中旬信风增强,热带太平洋的拉尼娜事件条件有所加强,影响了温度和降水模式,加剧了世界不同地区的干旱和洪水。
拉尼娜事件和厄尔尼诺事件一般每两到七年发生一次,中间有中性年。
厄尔尼诺事件是太平洋赤道中东部海水温度异常升高引起的一种气候事件,拉尼娜事件则与之相反,指该区域海温连续一段时间低于正常年份温度。
如果厄尔尼诺事件很强,就可能导致后续拉尼娜事件持续两年甚至三年。
北半球出现连续两个拉尼娜冬季很常见,但连续三个比较少见。自 1950 年以来,持续三年的「三重」拉尼娜事件仅发生过两次。但不同的是,今冬可能出现的「三重」拉尼娜事件并不是发生在强厄尔尼诺事件之后。
每个拉尼娜事件带来的影响不尽相同,这取决于事件的强度、发展的时间以及与其他气候模式的相互作用。
厄尔尼诺和拉尼娜的发作通常持续 9 到 12 个月,但有时可持续数年。
拉尼娜在西班牙语中是小女孩的意思。拉尼娜现象有时也被称为反厄尔尼诺现象,或简称为「冷事件」。拉尼娜现象与厄尔尼诺现象相反,在拉尼娜事件期间,它会导致海洋表面温度的大规模降低。
根据世界气象组织表示,从 2020 年出现的拉尼娜现象今年还将继续,这是本世纪以来首次出现三重拉尼娜现象。厄尔尼诺和拉尼娜事件平均每两到七年发生一次(一般来说厄尔尼诺现象比拉尼娜现象更频繁地发生),而连续三年发生拉尼娜现象是非常特殊的。
拉尼娜会影响台风吗?
拉尼娜对全球天气产生广泛影响,甚至影响大西洋和太平洋飓风季节,由于风切变低和海面温度升高,大西洋盆地出现更多热带气旋,同时减少太平洋的热带气旋生成。
所以拉尼娜现象确实对台风有一定的影响。
知乎热门文章