大数据文摘出品
作者:Caleb
不得不说,当代人的生活压力是越来越大了。
时不时就感到腰酸背痛、腿脚乏力,还疲于各种办公室政治,被下班了但又不敢完全下班的恐惧所支配…
这个时候你应该来试试文摘菌代言的……(唉不对串台了)
言归正传,文摘菌想说的是,压力大我们都知道,但是你有想过测量或量化一下你的压力值吗?
虽然现在到处都是“一张图测测你的压力值有多大”,但严谨的文摘菌表示,没有数据和测量方法的测量,这种可信度还是相当低的。
于是,文摘菌就发现,新西兰奥克兰理工大学和德国吕贝克应用科学技术大学的研究团队开发出了一种压力检测装置StressFoot,在鞋子中塞入一个检测腿部运动的设备,再结合深度学习,就能从腿的运动中判断你的压力状态。
就算是乍一听也比一张图来得有道理吧,目前该研究已经以论文的形式进行了发表:
论文链接:
https://www.mdpi.com/1424-8220/20/10/2882
接下来就和文摘菌一起来揭秘吧~
我们知道,压力往往和心率、脑电波、肌肉张力以及面部表情等相关,传统测量方法也往往基于这些现象。
但这次,科学家们把目光放在了腿部运动和姿势特征与压力的关系上。
既然要检测重点对象在腿部,那在鞋子里塞点东西不过分吧。
为了感应足部的压力分布,研究人员插入了一双压敏鞋垫,以及有16个依赖力敏电阻技术的压力传感器。同时,为驱动鞋垫,研究人员还开发了一种分压器电路,将鞋垫与Sparkfun Razor板连接起来,该板由Atmel制造的SAMD21微处理器组成。
不仅如此,研究人员查询了9 DOF IMU (MPU-9250) 的加速度计,将其与微控制器板一起被绑定在脚踝上,以更好的跟踪腿部和脚步的运动和角度。
据了解,该原型有一个3.7V、400mAh锂聚合物电池和一张SD卡,可以在不限制动作的情况下完全实现无线操作。
该原型机充满电后可持续使用约16小时。
在实验中,参与者被要求穿上该原型机,完成一系列的益智游戏或测试,包括低压力项目如观看扫雷视频和自然风景视频,以及高压力项目如Stroop测试和扫雷。
研究人员随即根据在过程中采集到的基于鞋底的压力分布和脚的角度和运动的数据,使用机器学习模型针对不同的特征进行了分析,包括足压(Foot Pressure)、压力中心(Centre of Pressure)、腿脚姿势(Foot/Leg Posture)以及顿足情况(Foot Tapping)。
根据用户的主观反馈,在Stroop测试和扫雷游戏中,他们感受到的压力值最大,分别达到了5.06和6.05,同时在这两个项目中他们感到最活跃,活跃程度分别为5.38和5.85,与其相对的愉悦程度只有4.5和4.95。
但有趣的是,尽管两个观看视频的项目的压力值分别只有2和1.39,但在愉悦程度上并没有比高压力项目多很多,只有4.47和6.43。
在StressFoot接收到的数据与主观反馈呈现一致。可以看到,在两个压力相对较大的任务中,参与者的压力值出现了明显的增加,这也与另外压力更小的项目呈现的结果相反。
实验中,每个模型的训练和验证都采用了留一用户(leave-oneUser-out)的方法。也就是说,研究人员建立了一个针对用户的模型,这个模型是由其他用户训练的,但不包括测试用户。
在整体实验的准确率上,根据统计,使用所有特征创建的模型提供了一个合理的准确性,即为83.9%,但标准偏差达到了12.01,高于其他任何模型。最高的准确率可达到85.32%,同时标准偏差为8.1,这是综合了四个表现好的模型的组合得到的结果。
而根据后续的问卷调查结果显示,高压力项目和低压力项目的压力值分别为5.36和1.72,差距较大,这一结果也与项目期间的活跃程度直接呈正相关,分别为5.18和3.45,与愉悦程度呈负相关,分别为4.18和6.36。
这一结果与采集到的EDA反应的生理数据一致。
考虑到大多数参与者的工作都是坐在办公室进行的,比如编码、调试和写论文等,根据参与者自述,这个时候他们的压力水平较高,愉悦程度较低。此外,当他们处于紧张状态时,与处于放松状态相比,任务负荷明显增加(t = 7.02;p < 0.05)。这也与检测到的两种压力状态相吻合。
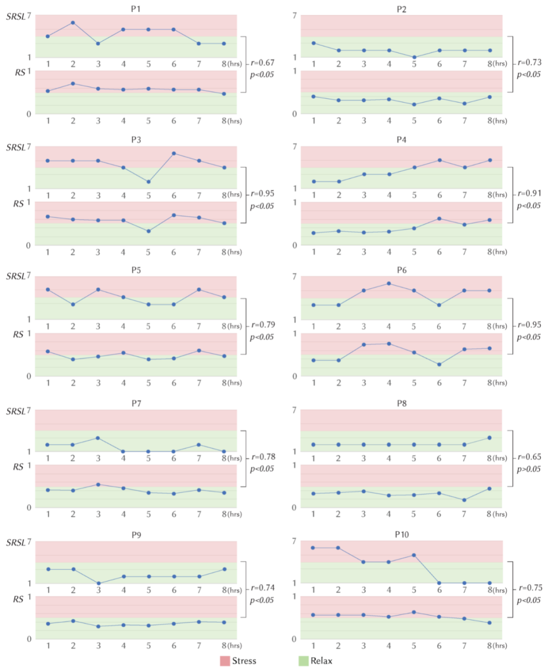
根据现场的验证分析,10名参与者中有8名的自述压力水平和检测到的压力情况显示出明显的正相关关系。
研究人员表示,他们是想通过设计一款使用压敏鞋垫和IMU来感知和检测压力的智能鞋,关注大家的精神压力状态。
或许未来有一天,这个系统将会为整体的心理健康改善起到很好的促进作用呢。
相关报道: