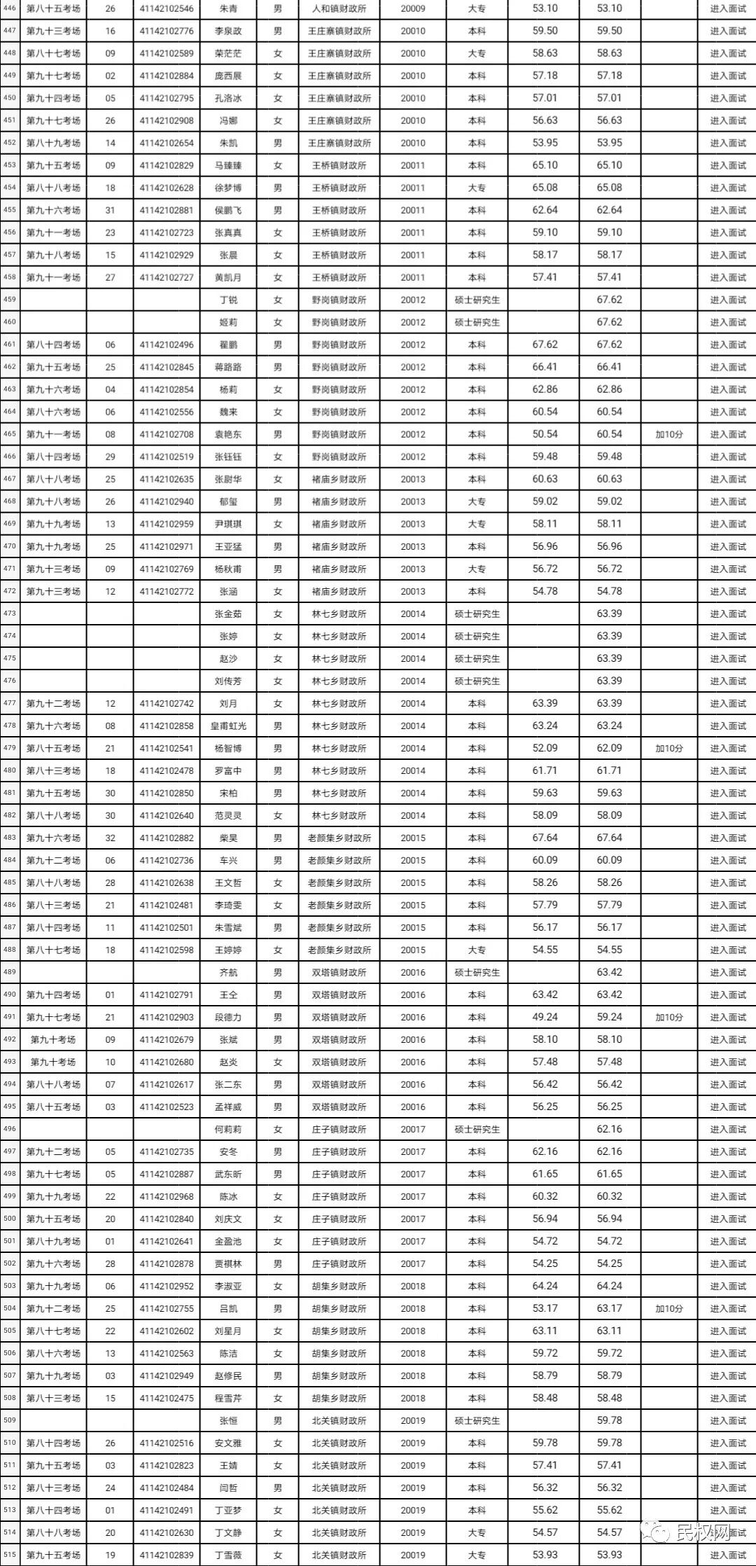
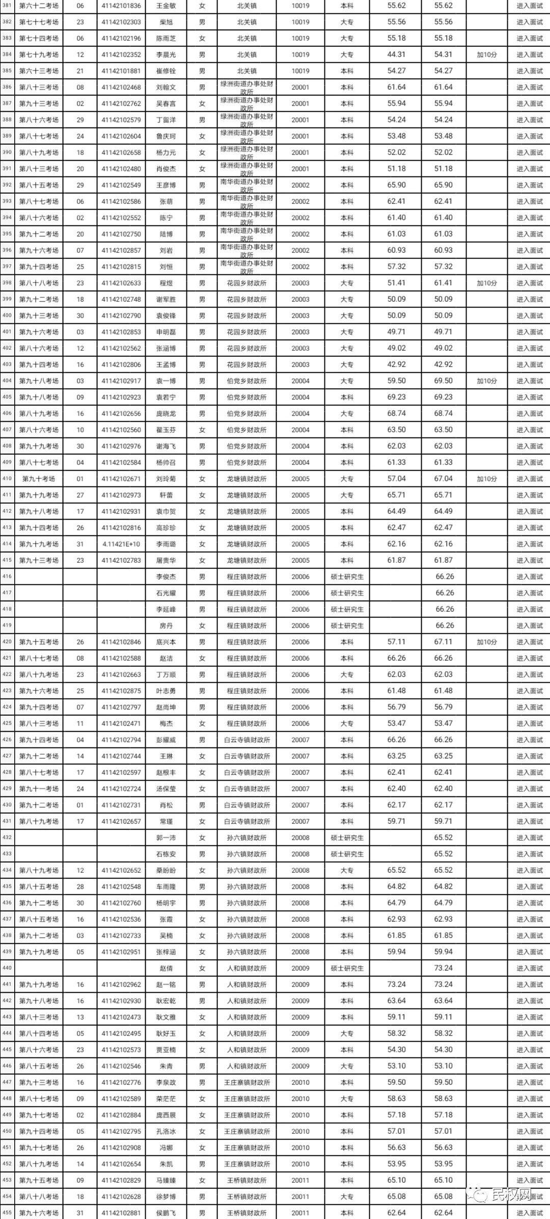
本次招聘共报名3043人,其中研究生66人,本科生及专科生2977人,根据公告要求,研究生不参加笔试,取同一岗位本科、专科考生笔试成绩最高分(不含加分项),直接进入面试。大学生村干部、大学生退伍兵笔试成绩加10分(共137人)。经过资格审核、笔试,现将考生笔试成绩、加分人员及进入面试人员名单予以公示(公示期10月20日至10月25日)。
另通知:
进入面试人员于10月30日-31日到人力资源大厦804室领取面试通知书(凡不按时领取面试通知书并参加面试者视为自动弃权)。面试时间定于11月1日。
民权县公开招聘事业单位工作人员领导组
2020年10月20日
责编:薛皓
感谢您抽出
·
来阅读此文
更多精彩请点击【阅读原文】哦
↓↓↓
前往“发现”-“看一看”浏览“朋友在看”