以下文章来源于兴业研究 ,作者郭于玮 鲁政委
兴业经济研究咨询股份有限公司2015年6月成立于上海,为兴业银行成员机构,是国内首家银行系独立法人研究公司,布局“战略研究、市场研究、行业研究”三大研究板块,围绕宏观市场、绿色金融、金融行业、外汇商品、固定收益、细分行业等领域开展专业研究。
作者:郭于玮,鲁政委(鲁政委为中国首席经济学家论坛理事,兴业银行首席经济学家)
在探讨债务可持续性问题时,人们通常使用杠杆率指标。然而,从数据上,我们却很难找到杠杆率与债务可持续性之间的直接关联。
因此,越来越多研究者提出,应当考虑利率水平与投资回报率或经济增长率之间的联系,而非杠杆率本身的高低。当债务本金不增长时,利率低于经济增长率是有利于降低杠杆的。然而,如果债务本金的增速高于经济增速,维持杠杆率稳定的难度较大;不过,此时可以通过降低利率水平将债务付息支出与GDP之比控制在可承受的范围内,以保障债务的可持续性。
由此,我们更加容易理解为什么“十四五”规划会提出“保持宏观杠杆率以稳为主、稳中有降”。在其它因素不变的情况下,如果债务的增长持续高于名义GDP的增长,我们需要将利率水平不断降低才能够减轻偿债压力,而这将影响到我国维持正常货币政策空间;反过来,给定其他因素不变,如果宏观杠杆率能够稳中有降,利率就不需要持续下行。
就我国而言,在私人非金融部门,虽然其杠杆率波动上升,但由于利率中枢下降,最终利息负担与GDP之比依然相对稳定。我们在数据中观察到我国两个相关的经验规律是,当经济下行时,融资成本的下降通常会带动利息负担与GDP之比下降至10%一线附近,以提振经济增长;当工业企业税前ROA与融资成本之差下降到3%附近时,可能需要引导融资成本下降。在政府部门,其付息与GDP之比较低,付息压力可控。
展望未来,我国为了在珍惜正常货币政策空间的前提下减轻偿债负担,还需要保持人民币汇率的灵活性,并大力发展股权融资。
在新冠疫情爆发后,中美10年国债利率的中枢出现了不同程度的下行。除了疫后潜在经济增速放缓外,疫情期间杠杆率的抬升可能也是利率中枢下降的重要原因。根据国际清算银行(BIS)披露的数据,2020年第四季度中美的非金融部门杠杆率分别达到289.5%和296.1%,较2019年第四季度分别提高了26.6和42.8个百分点。杠杆率越高,非金融部门的债务负担就越重,就越需要引导利率水平下降以减轻偿债压力。
那么,债务的可持续性与利率水平之间究竟有什么关联?我国不同部门的偿债负担有多大?如何在珍惜正常货币政策空间的前提下减轻偿债负担?本文将围绕上述问题展开探讨。
一、债务可持续性与利率水平
1、对杠杆率指标的反思
在探讨债务可持续性问题时,人们通常使用不同部门的杠杆率指标,即不同部门债务与GDP之比。早在1992年,马斯特里赫特条约就要求欧元区国家需要将政府债务与GDP之比保持在60%以下。2008年金融危机之后,发达经济体债务与GDP之比显著攀升,对合宜杠杆率水平的探讨再度成为市场关注的焦点。
然而,从数据上,我们却很难找到杠杆率与债务可持续性之间的直接关联。
如果在同一个经济体内进行纵向比较,我们会发现:2008年美国陷入债务危机时,其非金融部门杠杆率达到240.2%(参见图表2);在一系列刺激政策作用下,美国逐渐走出了债务危机的影响,在此过程中非金融部门的杠杆率是稳中有升的,没有出现所谓的“去杠杆”,到2020年美国非金融部门杠杆率已进一步上升到了296.1%,债务危机却没有再度上演。
如果在不同经济体之间进行横向比较,我们会发现:日本的非金融部门杠杆率显著高于西班牙与希腊,市场却更加担心西班牙和希腊的信用风险,同时把日元作为一种“避险货币”。
2、对债务可持续性的新认知
2008年金融危机后发达经济体杠杆率普遍攀升,却没有出现严重的债务危机。这一现实使政策制定者和研究者对债务可持续性问题有了新的认识。
2020年11月,美国前财政部长萨默斯在其与哈佛教授福曼合作的文章(Furman & Summers, 2020)中对杠杆率指标进行了强烈的批判。他们认为,将“债务”这一“存量”指标与“GDP”这一“流量”指标进行比较,并据此判断债务风险是不合理的。只要举债带来的GDP增长能够超过利息负担,这种举债就是有益的,就可以使杠杆率下降。美国现任财政部长耶伦也提出了类似的看法。2021年1月耶伦呼吁忘记债务的绝对数量,重点关注债务的利率与其带来的回报率。考虑到对于通常政权稳定的政府来说,债务本金是可以通过债券的滚动续发来融资偿还的,因此,利息负担(这里定义为利息与GDP之比)就显得更为重要。耶伦指出,虽然当前美国的债务总量高于2008年金融危机时期,但利息与GDP之比与那时相比是下降的。
桥水基金的达利欧在其《债务危机:我的应对原则》一书(Dalio, 2019)曾经举过一个例子,能够帮助我们理解上述问题。在一个正在去杠杆的经济体,假设其债务和名义GDP都是100,杠杆率则为100%,债务的利率是2%。那么,一年之后如果债务本身的规模没有变化,该经济体的负债将变成102,即100的债务与2的利息之和。如果这一年里,名义GDP只增长了1%,则杠杆率将上升;如果名义GDP增长率等于利率,则杠杆率将保持不变;如果名义GDP增长率超过利率,则杠杆率将出现下降。
我们可以通过简单的数学演算将上述例子进行总结与推广。假设一个经济体非金融部门t期的杠杆率、债务本金、GDP和利率分别为Lt|、Dt、Yt和rt。为了简便起见,我们假设名义GDP增长率为g,不随时间发生变化。
从杠杆率来看,如果不偿债,到下一期,该经济体的杠杆率可能出现两种变化。
第一种情况,如果债务本金不增加,则
此时,只要名义经济增长率等于利率,杠杆率即可保持不变。这也是为什么桥水基金的达利欧在其《债务危机:我的应对原则》一书(Dalio, 2019)中指出,去杠杆时央行的合理措施包括“使名义经济增长率略高于名义利率,在可容忍的限度内拉长去杠杆化进程”。
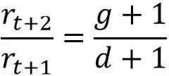
第二种情况,如果债务的本金增加,则
此时,使利率等于名义GDP增长率已经不足以稳定杠杆率。要稳定杠杆率,需要使利率低于名义GDP增长率。
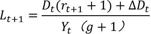
从利息负担(这里定义为利息与GDP之比)来看,在t+1期,该经济体的利息负担为
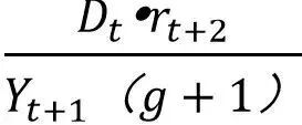
在第一种情况下,如果债务本金不增加,到了t+2期,则该经济体的利息负担为
此时,要使利息负担保持不变,则需要
这表明,只要名义GDP正增长,即使利率出现一定程度的上升,只要利率增幅不高于名义GDP增速,该经济体的利息负担也不会加重。
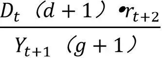
在第二种情况下,如果债务本金以d的速度出现了增长,到了t+2期,则该经济体的利息负担为
此时,要使利息负担保持不变,则需要
这意味着,如果债务本金增长的速度超过了经济增长的速度,那么,就必须要利率下降才能使利息负担保持稳定。
图表4展示了几种不同情境下,保持利息负担不变所要求的利率水平。例如,如果债务本金的增速是10%,名义GDP的增速是8%,初始利率水平为5%,要使利息负担保持不变,那么,利率需要下降至约4.91%。不过,如果名义经济增速更低,但债务保持较快速度的增长,利率水平需要下降更多才能够维持利息负担不变。由此,我们更加容易理解为什么《国民经济和社会发展第十四个五年规划和2035年远景目标纲要》会提出“保持宏观杠杆率以稳为主、稳中有降”。在其它因素不变的情况下,如果债务的增长持续高于名义GDP的增长,我们需要将利率水平不断降低才能够减轻偿债压力,而这将影响到我国实行维持正常货币政策空间;反过来,给定其他因素不变,如果宏观杠杆率能够稳中有降,利率就不需要持续下行。
当然,上文中的演算只是一种粗略的估算,现实中的情况会更加复杂。不过,上述估算依然能够帮助我们理解现实世界中维持债务可持续性的办法。以美国为例,2008年以来的大部分时间内,美国的名义GDP增速都是高于10年国债利率的。因此,虽然2008年以来美国政府部门杠杆率明显上升,但联邦政府利息支出与GDP之比稳中有降。
二、中国非金融部门的利息负担
那么,中国非金融部门的利息负担水平如何呢?我们可以从私人非金融部门和政府部门两个角度来考察。
从私人非金融部门来看,本文用社融中人民币贷款、委托贷款、信托贷款、未贴现票据和企业债券5项之和来衡量私人非金融部门的债务水平,再分别使用贷款加权平均利率、信托产品收益率、票据利率和3年期AA+中票利率来衡量人民币贷款、信托贷款、未贴现票据与企业债券的融资成本。考虑到委托贷款中包含一定规模的公积金贷款,我们用公积金贷款利率来衡量公积金贷款的融资成本[1],其余委托贷款的融资成本则用信托产品收益率来代替。数据显示,2010年以来我国私人非金融部门债务同比增速通常高于名义GDP增速,由此带动我国私人非金融部门杠杆率波动上升,但由于利率中枢下降,其利息支出与名义GDP之比多数时间内稳定在9%至13%之间。
通过对付息支出的分析,我们可以得到货币政策两个重要的风向标。第一,私人非金融部门利息与名义GDP之比。自2011年起,每当经济出现下行压力时,融资成本往往会出现下降,将私人非金融部门利息与名义GDP之比引导至10%一线附近。2021年第二季度,这一指标已下降至10.2%。考虑到未来名义GDP增长可能出现放缓,可能需要进一步降低融资成本,将付息负担维持在较低的水平。
第二,工业企业税前ROA与私人非金融部门融资成本之差。工业企业税前ROA通常要高于私人非金融部门综合融资成本,一旦二者之差收缩到较低的水平,则表明融资成本偏高,可能引发货币政策调整。
数据显示,每当工业企业税前ROA与私人部门综合融资成本之差收缩到3%左右,甚至更低时,融资成本通常会出现下降,央行可能降低法定存款准备金率等手段以引导融资成本下降。例如,2011年第四季度,工业企业税前ROA与综合融资成本之差收缩至3.1%,2011年12月,央行降低存款准备金率,综合融资成本也步入下行通道。2014年至2015年,这一差值持续处于3%附近,央行多次通过定向降准和全面降准等手段引导融资成本下降。直到2016年第一季度,这一差值上升至3.70%,央行实施了这一轮降准小周期内的最后一次降准。2018年第二季度,工业企业税前ROA与综合融资成本之差收缩至3.0%。此后直至2019年末,这一差值始终徘徊在较低水平。因此,2018年第二季度至2019年第四季度央行多次降准,大型存款类金融机构法定准备金率累计下降了4个百分点,带动融资成本逐渐回落。2021年第二季度,这一差值大约在3.4%左右。
从政府部门来看,我们可以用财政部公布的公共财政付息支出来衡量一般预算付息支出,用地方政府专项债余额与专项债剩余平均利率来估算专项债的付息支出,用二者之和来刻画政府债务总的付息支出。囿于数据的可得性,这里仅展示2016年以来的一般预算债务付息情况和2017年以来的政府债务付息情况。数据显示,2021年6月一般预算债务付息与名义GDP之比约为1.0%,政府债务付息与名义GDP之比约为1.4%。而2000年以来美国联邦政府利息支出与GDP之比通常在2.0%以上[2]。可见,我国的政府债务付息负担相对美国较轻。
三、债务可持续性与正常货币政策空间
上文的分析显示,目前我国私人非金融部门和政府部门的付息压力均可控,债务风险总体较低。然而,面对波动上升的杠杆率,只有利率中枢下降才能够将付息支出与名义GDP之比控制在相对稳定的水平。这可能对正常的货币政策空间形成挑战。那么,我们是否能够在保持正常货币政策空间的前提下,保证债务可持续呢?
第一,保持人民币汇率的灵活性有助于维持正常的货币政策空间。如果人民币汇率具有一定的弹性,能够在经济下行时起到放松货币条件的作用,这样可以节约国内利率调整的有限空间。
第二,发展股权融资有助于减轻债务压力。2020年下半年以来,我国股票融资增长较快,但在社融中的占比依然偏低。2021年7月股票在社融存量中的占比为2.9%,股票融资存量的同比增速为14.4%,据此推算,其对社融增长的拉动在0.4个百分点左右。如果我们希望在降低债务融资增速的同时保持实体经济获得的资金支持相对稳定,则需要大力发展股权融资,提高股权融资对整体社融的拉动。
参考文献:
1. Furman, J., and L. Summers, A Reconsideration of Fiscal Policy in the Era of Low Interest Rates, Havard working paper, 2020.
2. 瑞达利欧,债务危机:我的应对原则,中信出版社,2019年。
注:
[1]注:由于2012年才公布公积金贷款余额,我们假设2010年与2011年公积金贷款余额在委托贷款中的占比与2012年相等。
[2]注:为了保持与中国数据的可比性,这里我们用联邦政府总利息支出与GDP之比,而非净利息支出与GDP之比。而美国国会预算办公室在计算这一比值时通常使用净利息支出。
——————
鲁政委:以“工程师红利”应对“老龄化”挑战—解读第七次全国人口普查数据
合作、版权请联系华老师:13641705556