【写在前面】:当前,很多科研人员都以SCI期刊发表为导向,体现自己在学术方面的成果。其实目前中文核心也应被大家重视,特别是作为中国学者。事实上,每年有将近1000万篇论文被发表在知网、维普或万方等数据库上。那么今天让我们来对比下中文核心与SCI期刊论文,差距有我们想象那么大吗?(简单比较,请批评指正)
我们恳请:若能转发分享,我们将非常感谢!(目前微信公众号改为乱序推送,将如沐风科研维修站设为星标,时常点击阅读,我们才会出现在您推送的前面位置)。
我们选择European Journal of Pharmacology (IF3.263) vs 药学学报(中文影响因子1.736),并挑选分别近期发表的有关小檗碱基础研究的论文进行比较。(需要补充的是药学学报已经发布自己SCI版本,目前影响因子7.1,要求比中文版高【点击查看简介】)
【期刊简介】
1.European Journal of Pharmacology
图片来自European Journal of Pharmacology官网
杂志主页链接
2.药学学报
图片来自CNKI
杂志主页链接
http://www.yxxb.com.cn:8081/aps/CN/volumn/current.shtml
【文章摘要和结果对比】
1.European Journal of Pharmacology
Berberine attenuates arthritis in adjuvant-induced arthritic rats associated
with regulating polarization of macrophages through AMPK/NF-кB pathway
1.1摘要部分
小檗碱(BBR)是一种具有优良抗炎特性的传统民间药物。这项研究旨在调查BBR在大鼠佐剂性关节炎(AA)中的抗关节炎作用及其在巨噬细胞极化中的调节作用。用完全弗氏佐剂(CFA)免疫大鼠,然后口服BBR(40、80、160 mg / kg)14天。BBR显著降低了爪肿胀和关节炎的总体评估,并减轻了关节破坏和炎性细胞浸润。BBR可显着降低胸腺指数和胸腺细胞增殖。此外,BBR治疗通过降低M1细胞因子(肿瘤坏死因子-α,白细胞介素-1β和白细胞介素-6)的水平,增加M2细胞因子(白介素)的水平,抑制巨噬细胞的吞噬功能并恢复M1 / M2的平衡(白介素-10和转化生长因子-β1),增加精氨酸酶1(Arg1)(M2标记)的表达,并降低诱导型一氧化氮合酶(iNOS)(M1标记)的表达。BBR还下调了Th17/Treg细胞的比例。对腺苷5'-单磷酸(AMP)激活的蛋白激酶(AMPK)/核因子κB(NF-κB)通路的进一步研究发现,BBR上调了AMPK的活性,而下调了磷酸化RelA(p- p65),磷酸化NF-κB抑制剂α(p-IκBα)和环氧合酶(COX)-2。因此,我们的发现表明,BBR通过调节AMPK/NF-кB通路的巨噬细胞极化,对AA大鼠具有明显的治疗作用。
1.2结果部分
1)BBR改善关节炎大鼠的关节炎总体评估和爪肿。
2)BBR治疗AA大鼠踝关节的放射学变化。
3)BBR可改善关节炎大鼠的踝关节组织病理学。
4)BBR抑制AA大鼠巨噬细胞产生M1衍生的细胞因子,并促进M2衍生的细胞因子的产生。
5)BBR对巨噬细胞吞噬作用的影响。
6)BBR调节AA大鼠Th17和Treg细胞的百分比。
7)BBR影响AA大鼠巨噬细胞中iNOS和Arg1的表达。
7)BBR激活AMPK并抑制AA大鼠中NF-κB途径。
2.药学学报
小檗碱对地塞米松所致 C57 小鼠糖脂代谢紊乱的改善作用
2.1摘要部分
本文旨在探讨小檗碱(berberine, BBR)对地塞米松(dexamethasone,Dex)引起的糖脂代谢紊乱的改善作用及其机制。采用 Dex 诱导 3T3-L1 前脂肪细胞分化,给予 BBR(2.5、5 和 10 μmol·L-1)处理,油红 O 染色检测细胞脂质沉积。动物实验方案由中国医学科学院药物研究所伦理委员会审核并批准。雄性C57BL/6N 小鼠随机分为 3 组,BBR 治疗组小鼠皮下植入 Dex 渗透泵,同时灌胃给予 BBR(100 mg·kg-1·day-1)治疗 4 周;模型组同期植入 Dex 渗透泵;对照组植入内容物为生理盐水的渗透泵。每周测量小鼠食物摄入量和体重。小动物核磁成像检测小鼠皮下脂肪及内脏脂肪含量。实验结束时测定小鼠血浆中总胆固醇(cholestrol,CHO)、甘油三酯 (triglyceride, TG)、低密度脂蛋白胆固醇 (low-density lipoprotein cholesterol, LDL-c)、高密度脂蛋白胆固醇 (high-density lipoprotein cholesterol, HDL-c) 和葡萄糖 (glucose,Glu) 水平。检测小鼠肌肉质量。采用RT-PCR 和 Western blot 技术检测过氧化物酶体增殖物激活受体 γ(peroxisome proliferator-activated receptor γ, PPARγ)和腺苷酸活化蛋白激酶 α(AMP-activated protein kinase α,AMPKα)在 3T3-L1 细胞及小鼠附睾脂肪组织中的表达。实验结果表明,BBR 可剂量依赖性地抑制 Dex 诱导的 3T3-L1 前脂肪细胞分化,抑制率分别为 11.5%、16.6%和 22.5%。在 C57BL/6N 小鼠中,小檗碱能减轻 Dex 引起的高脂血症和高血糖,减少小鼠内脏脂肪堆积。RT-PCR 和 Western blot 分析结果显示,BBR 可降低 3T3-L1 细胞和小鼠脂肪组织中 PPARγ 的表达,促进AMPKα的磷酸化。BBR可通过调节 PPARγ 和AMPK 减轻Dex诱导的代谢紊乱。
1.2结果部分
1)BBR 对小鼠前脂肪细胞分化的影响。
2)小鼠体重变化。
3)小鼠肌肉变化及核磁成像。
4)BBR改善小鼠糖脂代谢水平。
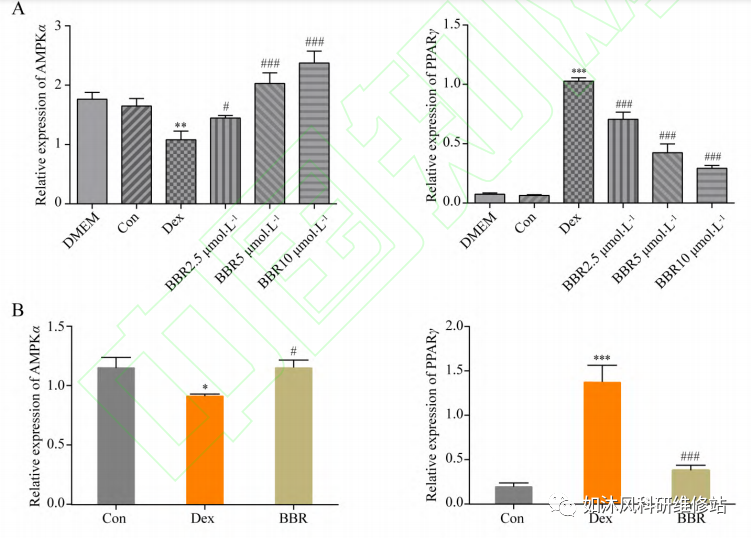
5.BBR调节3T3-L1 细胞及小鼠脂肪组织 AMPKα 及 PPARγ 基因的表达。
6.小檗碱调节 3T3-L1 细胞及小鼠脂肪组织 AMPKα、p-AMPKα 及 PPARγ 蛋白的表达。
【总结】
从以上比较来看,药学学报与European Journal of Pharmacology期刊比较仍存在差距,结果图可见,SCI对图表的要求相对更高,研究内容更丰富和具有逻辑性。近年中文核心期刊逐年要求提升,从以上比较可见中文核心期刊正在不断进步。根据国家政策,中国科研学者选择中文期刊发表也是不错的选择。根据您期刊的质量和内容选择合适的中英文期刊很重要。当然小编也是希望中文期刊也是重要部分,让更多的中国读者看到你的论文!~
●最后想大家推荐几本属于我们国家的SCI期刊:(药理方向)
1.Acta Pharmaceutica Sinica B(IF7.1)
2.Asian journal of Pharmaceutical Sciences(IF3.968)
3.Journal of Traditional Chinese Medicine(IF0.676)
4.Chinese Medical Journal(IF1.585)
5.Chinese Journal of Integrative Medicine(IF1.545)
2020-11-13
2020-11-10
2020-11-08
2020-11-06
2020-11-05
2020-11-04
2020-11-02
2020-10-31
2020-10-28
2020-10-27
2020-10-26
2020-10-23
【加入中医药交流群】添加小编微信邀请加入,也可由群友邀请加入,欢迎广大老师、朋友加入我们。
小编微信:
如沐风科研维修站 (Rumfer)公众号:由浙江中医药大学、中国药科大学、江西中医药大学以及福安药业和浙江省疾控中心的硕博士组成,主要发布药物研发、生产及注册,科研实验及前沿咨讯等相关信息。欢迎广大朋友老师关注我们,您的分享和关注是对我们的最大鼓励。