【写在前面】:今天推荐的是由南通大学、盐城工学院研究团队近期刚发表于(IF4.48)的一篇文章,揭示雷公藤红素通过激活AMPK-SIRT3信号传导在肝纤维化中发挥抗炎作用。
我们恳请:若能转发分享,我们将非常感谢!(目前微信公众号改为乱序推送,将如沐风科研设为星标,时常点击阅读,我们才会出现在您推送的前面位置)。
【期刊简介】
链接生理学和细胞医学,以及分子生物学和分子治疗学,该期刊发表基础研究,以加深我们对疾病的细胞和分子机制的理解,以及将这些知识转化为治疗方法的转化研究。
审稿周期较快,一般2~4个月,年刊文700+,版面费$3,388。
【题目及作者信息】
1 Department of Pharmacology, School of Pharmacy, Nantong University, Nantong, China
2 Department of Chemistry and Chemical Engineering, Yancheng Institute of Technology, Yancheng, China
【摘要部分】
雷公藤红素(Celastrol)是从雷公藤植物中提取的五环三萜,对多种与肝脏相关的疾病显示出有效的肝脏保护作用。然而,Celastrol在肝纤维化中的抗炎潜力及其详细机制仍未发现。这项研究旨在研究Celastrol在肝纤维化中的抗炎作用,并进一步揭示celeastrol诱导的抗炎作用的机制,重点是AMPK-SIRT3信号传导(背景与目的)。Celastrol在活化的肝星状细胞(HSC)和肝纤维化肝中均显示出对肝纤维化的有效改善作用。Celastrol在体内显著抑制炎症,并在体外抑制炎症因子的分泌。有趣的是,在纤维化肝脏和活化的HSCs中,celeastrol增加了SIRT3启动子活性和SIRT3表达。此外,SIRT3沉默明显改善了Celastrol的抗炎潜力。此外,我们发现Celastrol可以增加AMPK的磷酸化。进一步的研究表明,SIRT3 siRNA降低了SIRT3的表达,但对AMPK的磷酸化没有明显影响。此外,通过使用化合物C(一种AMPK抑制剂)或AMPK1α-siRNA抑制AMPK可以显著抑制SIRT3的表达,这表明AMPK是SIRT3在肝纤维化中的上游蛋白。我们进一步发现,AMPK的耗竭显著减弱了Celastrol对炎症的抑制作用(结果)。总的来说,雷公藤红素(Celastrol)主要通过激活AMPK-SIRT3信号来抑制炎症,从而减轻肝脏纤维化,这使得Celastrol成为治疗或预防肝纤维化的潜在候选化合物(结论)。
(主要看原文表达,有助于我们自行撰写SCI)
【前 言】
从中药中提取的有效成分已成为治疗包括肝纤维化在内的多种慢性疾病的重要选择。雷公藤红素Celastrol是一种五环三萜类化合物(celastrol的化学结构如图所示),源自常见临床使用的中药雷公藤。Celastrol具有多种药理作用,对多种疾病模型均显示出强效的抗炎作用,但是,关于Celastrol在肝纤维化中的抗炎潜力的报道很少。在当前的研究中,在体内和体外研究了Celastrol对肝纤维化的影响,并首次评估了AMPK-SIRT3信号在肝纤维化中的潜在作用,以揭示其潜在机制。
【结果部分】
1.Celastrol减轻了CCl4引起的大鼠肝损伤。
2.Celastrol减轻CCl4诱导的大鼠肝纤维化。
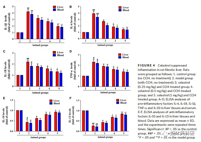
3.Celastrol抑制大鼠纤维化肝脏的炎症。
4.Celastrol在体外抑制活化的肝星状细胞(HSC)中的肝纤维化。
5.Celastrol抑制体外激活的HSC中的炎症。
6.Celastrol促进活化的HSC和大鼠纤维化肝脏中SIRT3的表达。
7.SIRT3的减少改善了Celastrol在活化的HSC中的抗炎作用。
8.AMPK的激活对SIRT3的诱导至关重要Celastrol在活化的HSC中。
9.抑制AMPK信号降低了激活的HSC中Celastrol的抗炎能力。
【结论与讨论】
有趣的是,前期的研究表明SIRT3可以在某些疾病模型中激活AMPK。据报道,咖啡因可部分通过激活SIRT3/AMPK途径来改善肝脂肪变性,SIRT3沉默可降低肝脏中AMPK的磷酸化。另一项研究表明,SIRT3可以通过AMPK激活减少人肝细胞中的脂质蓄积,并进一步证明SIRT3脱乙酰酶的活性是SIRT3激活AMPK所必需的。相反地,越来越多的证据表明AMPK可以调节SIRT发现柚皮苷主要通过激活AMPK-SIRT3信号通路来减轻缺血再灌注损伤。在他们的研究中,AMPK1 α siRNA或化合物C(AMPK抑制剂)对AMPK的抑制显著抑制了SIRT3的水平,但是,SIRT3 siRNA不能显著改变AMPK的磷酸化,表明SIRT3是AMPK的下游靶标。因此,以上研究暗示在AMPK和SIRT3信号之间可能存在串扰。有趣的是,以前的研究表明,Celastrol可以通过调节AMPK-SIRT3信号传导对糖尿病大鼠的骨骼肌产生抗氧化作用。与先前的研究一致,在肝纤维化的病理条件下,AMPK的抑制作用明显降低了SIRT3的表达,并降低了Celastrol对炎症的抑制作用。然而,SIRT3耗竭对AMPK磷酸化没有明显影响。这些数据表明,AMPK和SIRT3之间的相互作用参与了Celastrol对肝纤维化的炎症抑制作用,而SIRT3是AMPK在肝纤维化中的重要下游靶点。总而言之,我们证实了Celastrol激活的AMPK-SIRT3信号传导和AMPK-SIRT3信号的激活促进了Celastrol对肝纤维化的抗炎作用。
【加入中医药交流群】添加小编微信邀请加入,也可由群友邀请加入,欢迎广大老师、朋友加入我们。
小编微信:
【往期推荐】
2020-12-24
2020-12-25
2020-12-23
2020-12-21
2020-12-21
2020-12-18
2020-12-16
2020-12-09
2020-12-08
2020-12-07
如沐风科研维修站 (Rumfer)公众号:由浙江中医药大学、中国药科大学、江西中医药大学以及福安药业和浙江省疾控中心的硕博士组成,主要发布药物研发、生产及注册,科研实验及前沿咨讯等相关信息。欢迎广大朋友老师关注我们,您的分享和关注是对我们的最大鼓励。