|作者:何 珂
(1 清华大学物理系 低维量子物理国家重点实验室)
(2 量子信息前沿科学中心)
(3 北京量子信息科学研究院)
本文选自《物理》2020年第12期
摘要 量子反常霍尔效应被认为是已知的拓扑量子效应中最有希望获得广泛实际应用的一个。阻碍其应用的主要障碍是其很低的实现温度。文章介绍了在磁性拓扑绝缘体中量子反常霍尔效应的机理和决定其实现温度的因素,回顾了过去几年在提高量子反常霍尔效应实现温度方面的研究进展,尤其是最近内禀磁性拓扑绝缘体MnBi2Te4的相关工作。在此基础上提出在磁性拓扑绝缘体系统中进一步提高量子反常霍尔效应温度的路线图。
关键词 量子反常霍尔效应,拓扑绝缘体,磁性拓扑绝缘体
微观粒子的运动满足量子力学规律,但由它们组成的宏观物体却往往丧失其量子特征,从而导致了我们所熟悉的“经典”世界。现代凝聚态物理最关注的主题之一即是寻找在宏观尺度仍可保持量子特征的系统。可以想象,这类“量子材料”必然会具有不同于传统材料的性质和功能,让人们可以直接应用量子力学的奇特性质。超导体就是一个典型的例子。在超导体中大量电子在低温下会形成具有玻色子性质的库珀对,凝聚在一个量子态,从而可以显示宏观量子效应。从20世纪80年代开始,一系列量子霍尔效应的发现则揭示了另一种在宏观尺度物体中保持电子量子特征的方式,这就是利用材料电子态的拓扑性质。例如,在整数量子霍尔效应中,二维电子系统在磁场中形成的朗道能级可以用非零的拓扑不变量(陈数)表征,而霍尔电导则由被填充朗道能级的陈数的和决定,因此呈现量子化的数值。这推动了一个全新研究领域——拓扑量子物态的诞生[1,2]。然而,量子霍尔效应的研究很大程度上依赖于极端条件实验技术的发展,这大大提高了拓扑量子物态研究的门槛。1988年霍尔丹(F. D. M. Haldane)在理论上构想了一个系统,其能带结构本身即具有非零陈数,因此不需要外加磁场和高载流子迁移率产生朗道能级,就可以实现量子霍尔效应[3]。这在后来被称为量子反常霍尔效应。霍尔丹的工作揭示了通过对普通材料电子结构的调控引入拓扑量子物态的可能性。2005年后拓扑绝缘体研究的快速发展使人们发现了一大类材料,其可以通过调控实现各种拓扑量子物态和效应[4,5]。正是在掺杂了磁性原子的拓扑绝缘体薄膜中,霍尔丹所提出的量子反常霍尔效应最终得以实验实现[6]。
量子反常霍尔态可以用来构筑手征拓扑超导体、轴子拓扑绝缘体等多种新奇的拓扑量子物态[5],其不依赖外加磁场和高样品迁移率的无耗散输运和量子化的霍尔电阻使其有希望用来构造新颖的电子器件。因此量子反常霍尔效应可以说是拓扑量子物态和效应从基础物理学到实用化的一个突破口。然而,在磁性掺杂拓扑绝缘体中,量子反常霍尔效应往往需要低于 100 mK 的极低温度才能实现[6],这样的温度甚至低于大部分常规超导材料的超导转变温度。这不但极大提高了量子反常霍尔效应相关研究的门槛,还成为制约其实际应用的主要障碍。近年来,一种内禀磁性拓扑绝缘体MnBi2Te4材料的发现给量子反常霍尔效应实现温度的大幅提高带来了希望。下面我们将介绍近年来从磁性掺杂拓扑绝缘体到内禀磁性拓扑绝缘体的研究进展以及我们对量子反常霍尔效应相关物理机制的理解,在此基础上提出一条在磁性拓扑绝缘体中提高量子反常霍尔效应实现温度的途径。需要指出的是,实现量子反常霍尔效应不一定需要磁性拓扑绝缘体。最近几年,人们对转角石墨烯、磁性外尔半金属、磁性阻挫系等体系的研究也取得了一些和量子反常霍尔效应相关的重要进展。本文将不涵盖这些方面的内容。
无论对于二维拓扑绝缘体还是三维拓扑绝缘体,在其中引入磁有序都有可能产生量子反常霍尔效应[7—9]。我们可以从磁性三维拓扑绝缘体出发理解量子反常霍尔效应产生的原理。三维拓扑绝缘体的体能带在费米面附近具有能隙,因其体能带的拓扑性质,在其体能隙中存在无能隙的表面态。这种拓扑表面态的能带结构在动量空间往往呈现狄拉克锥型,在狄拉克点附近具有线性的能量—动量色散关系。除狄拉克点外,拓扑表面态是自旋非简并的,且其自旋和动量指向相互垂直锁定。三维拓扑绝缘体的拓扑能带结构,无论是体能带还是表面态,一般都是由费米面附近的sp电子能带所贡献(在研究最多的Bi2Te3族拓扑绝缘体中是由p能带贡献),其体能隙的大小本质上是由材料的自旋轨道耦合作用所决定[4,5]。
如果在一个三维拓扑绝缘体薄膜中引入铁磁性,且使其沿垂直于膜面方向均匀磁化,则薄膜上下两个表面的拓扑表面态狄拉克点处的自旋简并都会被破坏,从而打开能隙(可称为磁能隙,如图1(a)所示)。由于上下两个表面附近的磁化矢量相同,但表面法向相反,导致这两套表面态具有不同的拓扑性质。在它们的畴界,即薄膜的侧表面处,就会出现无能隙的边缘态以连接二者。拓扑表面态自旋—动量锁定关系和磁化导致的自旋方向锁定,使得电子动量也被锁定,因此只能向一个方向运动,这就构成了和量子霍尔系统类似的手征边缘态(图1(b))。当费米能级处于上下两个拓扑表面态能隙之间,且薄膜足够薄从而不用考虑侧表面导电通道贡献的时候,整个薄膜就只有手征边缘态参与导电,从而在无需外磁场和朗道能级形成的情况下产生量子霍尔效应,也就是量子反常霍尔效应[7]。如果拓扑绝缘体薄膜的厚度低至使上下两个拓扑表面态之间发生明显的杂化,则会在表面态产生杂化能隙。这将使薄膜变成一个二维拓扑绝缘体或二维普通绝缘体。无论哪种情况,在薄膜中引入铁磁性,只要磁能隙大于杂化能隙,仍然可以产生量子反常霍尔效应,但总能隙会小于磁能隙[8,9]。
铁磁性一般是由3d、4f等磁性原子通过各种磁性耦合机制所贡献。由于量子反常霍尔效应的实现不允许除拓扑边缘态之外的导电通道,所以磁性原子的d带或f带的子能带(例如eg或t2g带)不应被费米能级穿过,而是处于费米能级以上或以下,以构成体相的磁性绝缘体。拓扑绝缘体表面态磁能隙的本质是贡献拓扑绝缘体特征sp能带在磁性作用下的自旋劈裂。这些能带本身交换作用极弱,其自旋劈裂来源于与具有交换自旋劈裂的d带或f带的杂化。如图1(c)所示(以d能带半满的情况为例),能量较低的自旋向上的d带与自旋向上的sp带产生杂化,会推高其能量;能量较高的自旋向下的d带与自旋向下的sp带产生杂化,会压低其能量。这就导致了sp能带和拓扑表面态的自旋劈裂。
因此,磁性拓扑绝缘体中的量子反常霍尔效应所涉及到的物理非常清楚,基本上可以在能带理论框架中理解。可以看出,量子反常霍尔效应的实现温度主要取决于三个能量尺度:一为拓扑绝缘体的体能隙,主要由材料的自旋轨道耦合强度决定;二为居里温度,主要由拓扑绝缘体中贡献磁有序的磁性原子之间的磁耦合决定;三为表面态磁能隙,主要由贡献磁性的d、f能带和贡献拓扑性质的sp能带的杂化所决定。如下文所示,在真实材料中,这三个能量尺度往往相互制约,要提高量子反常霍尔效应的实现温度需要通过对材料电子结构和磁性的精细设计使它们均达到相对较大的数值。
量子反常霍尔效应最早是在磁性Cr原子掺杂的拓扑绝缘体(Bi,Sb)2Te3薄膜实验中实现的。在这种材料中通过调节Bi/Sb原子比例,可以将费米能级调控至体能隙和表面能隙中[10]。正三价的Cr离子随机替代(Bi,Sb)2Te3中的Bi或Sb元素。由于Cr3+离子的环境大致具有正八面体的对称性,每个自旋的3d轨道劈裂为能量较高的二重简并eg轨道和能量较低的三重简并t2g轨道,因此具有3个d电子的Cr3+离子刚好占满一个自旋的t2g轨道,满足绝缘性的要求。在此材料中,磁性杂质间距较远且随机,无法通过直接磁耦合或超交换耦合产生铁磁性。由于量子反常霍尔效应的出现不允许材料边缘态之外的导带通道,稀磁半导体中常见的以载流子为媒介的RKKY(Ruderman—Kittel—Kasuya—Yosida)型长程磁耦合也无法被利用。Cr掺杂(Bi,Sb)2Te3中长距离的铁磁耦合主要通过二阶的 van Vleck 机制,也被称为Bloembergen—Rowland(B—R)机制实现[9]。
呈现量子反常霍尔效应Cr掺杂的(Bi,Sb)2Te3样品的居里温度约为 20 K,然而干净的量子化平台和无耗散输运却需要在低于 100 mK 的温度才能够实现。显然,制约其量子反常霍尔效应温度的瓶颈是其极小的磁能隙。经过多年研究,人们发现导致很小磁能隙的主要原因是样品中的磁性无序[11—13]。磁性无序是低载流子浓度的磁性半导体中的常见现象。在载流子耗尽的磁性掺杂拓扑绝缘体中,贡献铁磁性的B—R相互作用强度随磁性杂质间距的变化呈指数关系,这意味着磁耦合强度对磁性杂质间距非常敏感,因此空间随机分布的磁性杂质必然导致磁交换作用强弱的随机分布。这类系统在居里温度之下仍存在大量区域未建立铁磁序。量子反常霍尔边缘态经过这些区域时会与表面态和体能带之间发生散射,导致薄膜整体输运性质偏离量子化。实际上在居里温度下,磁性掺杂拓扑绝缘体的磁化强度随温度的降低往往不会像一般磁性材料一样呈现趋于饱和的趋势,而是会随温度降低一直保持迅速上涨,更像顺磁材料的居里型磁化强度—温度曲线。这表明只有在极低温度时,材料中才能建立起均匀的铁磁序,这与量子反常霍尔效应很低的实现温度相符。磁性掺杂(Bi,Sb)2Te3中的磁性无序现象甚至超顺磁行为已在SQUID、STM、输运等几种不同的研究中得到证实[11—13]。
增加Cr离子掺杂浓度原则上可以整体增大磁能隙,提高量子反常霍尔效应温度。然而实验发现,尽管(Bi,Sb)2Te3中Cr的掺杂浓度可以达到很高水平,但在特定浓度之上,薄膜会退化成普通绝缘体薄膜,在低温下显示很大的电阻[14]。这是因为Cr作为较轻的元素,其电子自旋轨道耦合较弱。随着Cr含量的增加,尽管居里温度会提高,磁能隙也会增大,但p—d杂化导致了费米面附近能带的d轨道成分增加,从而使自旋轨道耦合变小,到一定程度使系统丧失拓扑绝缘体的性质。或者简单说,磁性元素的引入虽然可以增大居里温度和磁能隙,但却会降低拓扑绝缘体的体能隙。尤其是在这种材料中,费米能级处于自旋相同的3d的eg能带和t2g能带之间,这两个d能带通过杂化对p能带产生的自旋劈裂作用会在一定程度上相互抵消,这使得p—d杂化不能很有效地增大磁能隙。将磁性杂质从Cr变成V,以及Cr,V共同掺杂的方式可以改善磁性掺杂拓扑绝缘体的磁有序,使实现量子反常霍尔效应平台的温度提高了一个数量级,到达0.3 K附近,证明了磁性无序和极低的量子反常霍尔效应实现温度的关系(图2)[15]。
图2 (a) 不同成分Cr,V共掺杂(Bi,Sb)2Te3拓扑绝缘体薄膜的霍尔曲线(上)和磁电阻曲线(下);(b) 0.3 K下测量的最佳比例Cr,V共掺杂(Bi,Sb)2Te3薄膜的量子反常霍尔效应;(c) 磁力显微镜测量的V掺杂(左)、Cr,V共掺杂(中)、Cr掺杂(Bi,Sb)2Te3薄膜(右)的磁畴图[15]
将磁性元素换为更重的4d、5d或4f元素可以减轻磁性掺杂导致的拓扑绝缘体自旋轨道耦合的减弱,然而4d、5d轨道相比3d轨道电子关联性较弱,往往无法贡献足够的居里温度,且距离费米能级过近,容易通过杂化影响sp能带的拓扑性质。4f能带则离费米能级太远,和p能带杂化过弱,造成磁能隙太小。总之,通过改变不同的磁性杂质很难大幅度提高量子反常霍尔效应的温度,而这在本质上是由于磁性杂质原子稀疏而无序的排列所导致,因此无法从根本上得到解决。
一个似乎可以解决磁性掺杂拓扑绝缘体中磁性和自旋轨道耦合矛盾的方法是磁性近邻,即将拓扑绝缘体薄膜夹在两个铁磁绝缘体(ferromagnetic insulator, FMI)之间,形成 FMI/TI/FMI 三明治结构。通过铁磁绝缘体层所贡献的磁性与拓扑绝缘体表面态相互作用打开磁能隙,从而产生量子反常霍尔效应。由于磁性和拓扑表面态来自不同的层,拓扑绝缘体的自旋轨道耦合似乎不会被磁性原子减弱,这样可以避免磁性掺杂拓扑绝缘体的问题[7]。然而尽管有很多探索和努力,此方向的实验研究进展一直很小。
Tokura组的实验工作发现,如果在(Bi,Sb)2Te3薄膜上下两个表面附近掺杂高浓度Cr原子,则量子反常霍尔效应实现温度会得到显著提高。这种结构其实可以看成 FMI/TI/FMI 三明治结构,因为如此高的Cr掺杂浓度会将拓扑绝缘体变成铁磁绝缘体[14]。更有意思的是,如果将高浓度Cr掺杂层生长于薄膜的亚表面,即从表面起第二个“5 层”(quintuple-layer, QL),实现温度会得到进一步提高,在约 0.5 K 时可以显示完美的量子化平台(图3(a))[16]。然而当时并不清楚为什么这种特殊的结构可以提高实现温度。
图3 (a) 在Cr调制掺杂的(Bi,Sb)2Te3薄膜中观测到的量子反常霍尔效应实现温度的提高[16];(b) MnBi2Te4覆盖的Bi2Te3中计算得到的巨大磁能隙[17]
西班牙的Chulkov组利用第一原理计算研究了几个铁磁绝缘体和拓扑绝缘体的界面,结果发现通过铁磁近邻效应在拓扑绝缘体表面态打开的磁能隙一般都很小。其主要原因是拓扑表面态波函数只有很少部分能进入铁磁绝缘体,因此和贡献磁性的d或f电子波函数的杂化很弱。2017年,该研究组人为地将1个MnTe层插入Bi2Te3的第一个QL,形成了一个MnBi2Te4的7原子层(septuple-layer, SL)结构,计算了其能带结构。结果发现这使拓扑表面态打开了高达 77 meV 的磁能隙,远远大于磁性掺杂拓扑绝缘体以及一般的铁磁绝缘体通过磁近邻效应在拓扑绝缘体引起的磁能隙。此巨大磁能隙出现的主要原因是拓扑表面态波函数可以扩展到MnBi2Te4层中(他们当时认为是铁磁绝缘体),因此和磁性Mn原子可以产生强烈的杂化(图3(b))。他们将其称为“磁性扩展”(magnetic extension),以和磁性近邻相区别[17]。
此项理论工作引起了我们极大的兴趣,因为MnBi2Te4中的MnTe也可以看作一个处于拓扑绝缘体亚表面的铁磁绝缘体,与上述Tokura组在亚表面Cr掺杂的(Bi,Sb)2Te3薄膜的结构有异曲同工之处,都可以有效提高量子反常霍尔效应实现温度。而MnBi2Te4作为一个具有确定化学计量比的化合物,提供了一个探究其中机理更好的平台。然而以往关于MnBi2Te4的研究极少,因为这是一个亚稳相,其单晶样品很难制备[18]。我们首次利用分子束外延方法制备出了该材料的单晶外延薄膜,并用角分辨光电子能谱技术研究了其电子能带结构,结果发现薄膜在费米能级附近呈现狄拉克型的能带,具备拓扑绝缘体狄拉克表面态的特征(图 4(a),(d))[19]。
此结果表明MnBi2Te4似乎是一个拓扑绝缘体(在其居里或奈尔温度以上仍可以定义拓扑绝缘体)。如果它是一个拓扑绝缘体(在不考虑其磁性的情况下),那么所谓“磁性扩展”就变得非常容易理解。拓扑绝缘体有一个独特的性质,将两个拓扑绝缘体结合在一起,会得到一个拓扑绝缘体,拓扑表面态会出现在整体的表面。所以将MnBi2Te4覆盖于Bi2Te3之上,拓扑表面态会自然的“扩展”到MnBi2Te4之中[20]。而Tokura组在亚表面Cr掺杂的(Bi,Sb)2Te3薄膜中观察到的量子反常霍尔效应温度的提高也可以用这个图像理解。
理论计算结果表明(图4(b),(c))[21—23],MnBi2Te4费米能级附近的能带主要是Bi和Te原子的p能带,因此具有和Bi2Te3类似的拓扑绝缘体的性质,而其拓扑表面态结构又好于Bi2Te3,是一个典型的狄拉克点处于体能隙之中的狄拉克锥。Mn原子贡献的d能带离费米能级有几个eV,其和p能带的杂化不足以改变拓扑绝缘体的性质。但另一方面,由于Mn原子处于拓扑绝缘体之中,d带和贡献拓扑的p带波函数可以在空间上交叠,仍可以和p带产生较强的杂化,打开很大的磁能隙(约50 meV)。由于磁性原子并非来自相邻层,也非来自掺杂,而是来自具有化学计量比的化合物的组分,因此可以称其为内禀磁性拓扑绝缘体。而其巨大的磁能隙恰恰来源于此化合物本身兼具的拓扑绝缘体电子结构和磁有序。
在磁性方面,MnBi2Te4具有A型反铁磁结构:即每一个SL是铁磁的,相邻SL之间反铁磁耦合,且具有垂直SL面的磁各向异性。在奈尔温度之下,其是一个受到时间反演加空间平移联合对称性保护的反铁磁拓扑绝缘体[24]。在MnBi2Te4薄膜中,由于A型反铁磁的性质,在奇数层厚时薄膜上下表面磁化方向相同。如上文所述,这导致上下表面不同的拓扑性质,会使薄膜显示量子反常霍尔效应。在偶数层厚时,薄膜的上下表面磁化方向相反,此时薄膜会进入轴子绝缘体(axioninsulator)态,在交流测量中会显示拓扑磁电效应(图4(e))[21—23]。
作为层状材料,MnBi2Te4相邻SL间的反铁磁耦合强度较弱,可以通过几特斯拉的外磁场将其磁结构变为铁磁(图4(f))。此种状态的MnBi2Te4会进入磁性外尔半金属态[25]。磁性外尔半金属是人们长期以来一直寻找的一种物态,尽管理论上预言的材料很多,实验室确证的例子却很少。磁性外尔半金属的一个独特性质是其薄膜会显示量子反常霍尔效应,且其陈数会随薄膜厚度而增加[25,26]。
实际上在MnBi2Te4之外,还可能存在MnBi4Te7,MnBi6Te10,MnBi8Te13,Mn2Bi2Te5等一系列材料。我们可以把这类材料看成是不同厚度的Bi2Te3和MnTe层形成超晶格。这种拓扑绝缘体(Bi2Te3)和铁磁绝缘体(MnTe)构成的超晶格结构的拓扑相图早在2011年就已由A. A. Burkov和L. Balents的一个理论工作所获得[27],MnBi2Te4家族材料丰富的拓扑相基本上都可以基于此拓扑相图理解。通过改变Bi2Te3,MnTe的厚度和拓扑表面态的磁能隙调控,为研究和应用相关拓扑量子效应提供了一个很好的平台。
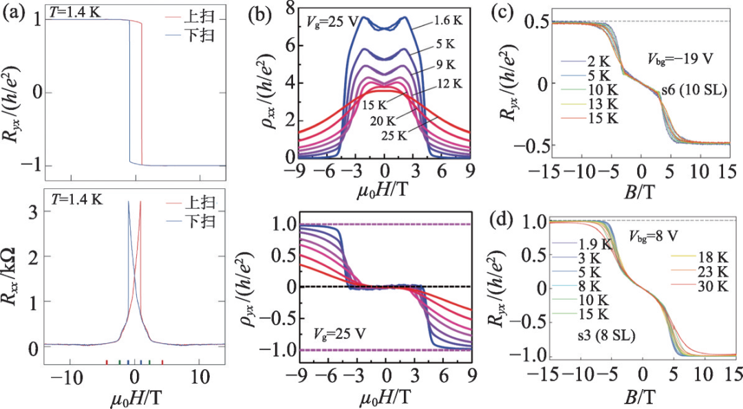
MnBi2Te4类材料的这些独特性质,尤其是量子化的输运很快在实验上被观测到,这使其成为最近凝聚态物理最热门的材料体系之一[28—33]。已有几个研究组测试了单晶解离的MnBi2Te4薄片样品,在 1.5 K 以上的温度、约 7 T 的磁场下,当样品进入铁磁态时观测到了量子化霍尔电阻平台[31—33]。张远波、陈仙辉团队观测到了MnBi2Te4薄片的霍尔电阻在零磁场附近的反铁磁态时接近量子化平台,证明了这是量子反常霍尔效应(图5(a))[31]。王亚愚、张金松、吴扬团队观测到了偶数层MnBi2Te4薄片从低场反铁磁排列时的轴子绝缘体相到高场铁磁排列时的量子反常霍尔态的转变(图5(b))[32]。在磁场下,王健、吴扬团队在7SL和9SL薄片中分别观测到了陈数为1和2的量子霍尔平台,这是铁磁态的MnBi2Te4有磁性外尔半金属相的强有力证据(图5(c))[33]。
图5 3个研究组在单晶解离的MnBi2Te4薄片样品中观测到的量子化输运 (a)奇数层MnBi2Te4薄片在零磁场下接近量子化的反常霍尔电阻的观测[31];(b)偶数层MnBi2Te4薄片在低场反铁磁轴子绝缘体到高场铁磁陈绝缘体之间的转变[32];(c) 10 SL 和(d) 8 SL MnBi2Te4薄片中陈数为2和1的量子反常霍尔态[33]
很有意思的是,王健等人发现在磁场下即使温度到达 45 K (高于MnBi2Te4的奈尔温度 25 K),反常霍尔电阻仍然很接近量子化的值。一般磁性材料在其居里或奈尔温度以上会进入顺磁态,很难被几个特斯拉磁场所磁化。MnBi2Te4的这种反常行为其实是其较弱的层间磁耦合所导致的磁性的二维性引起。根据 Mermin—Wagner 定理,一个二维磁性系统由于磁性涨落,其长程磁有序建立温度由磁各向异性能所限定。外磁场可以增加二维磁性系统的各向异性能,抑制了磁性涨落,因而提高了有效磁有序温度。
内禀磁性拓扑绝缘体MnBi2Te4具有巨大的磁能隙(尽管还未被谱学实验证实)和在几十K都可以存在的稳定量子反常霍尔态,这显示出其有潜力在更高温度实现量子反常霍尔效应。从已有实验结果可以看出,制约MnBi2Te4量子反常霍尔效应温度的是磁有序温度,而较低的磁有序温度本质上是由相对较弱的层间磁耦合引起的磁性涨落所导致,因此要想提高量子反常霍尔效应实现温度,需要设法抑制磁性涨落。解决这个问题的一个思路是,利用一个近邻的拓扑平庸磁性绝缘体层与MnBi2Te4的表面产生磁耦合,抑制其磁涨落。
为了找到可以和MnBi2Te4产生足够强磁耦合的磁性绝缘体材料,需要理解这类范德瓦耳斯磁性绝缘体的层间磁耦合机制。我们通过第一原理计算得到了不同磁性元素的XBi2Te4化合物及它们之间异质结构的层间磁耦合的符号(铁磁或反铁磁)和大小,结果显示出明显的规律性,基本符合超交换作用的 Goodenough—Kanamori 规则[34,35]。这表明MnBi2Te4类材料层间磁耦合主要是超交换作用所贡献,可以通过对电子在不同轨道间hopping通道的分析确定耦合是铁磁还是反铁磁。有意思的是,计算所得的层间磁耦合强度可以达到很大数值。例如,NiBi2Te4的反铁磁层间磁耦合能量高达每个原子 16.5 meV,对应于约 190 K 的温度。在磁性氧化物中,超交换作用是很近程的相互作用,一般仅需考虑磁性原子之间仅间隔一个氧原子的情况,更多的非磁性原子作为媒介会导致耦合强度的急剧下降。相比之下,XBi2Te4材料中磁性层之间相隔6个非磁性原子层和一个范德瓦耳斯间隙,却仍可以产生如此大的磁耦合强度,这和氧化物非常不一样。导致这种超长程超交换作用的主要原因有两点:(1) Bi和Te的电负性非常接近,其成键更像共价键而不是离子键,因此电子在Bi,Te原子之间跳跃会非常容易,电子在磁性原子和Te原子之间的跳跃也较容易;(2) Bi,Te原子的p能带波函数都非常离域,甚至跨过范德瓦耳斯间隙仍然有很大的交叠,使得电子较易在原子之间跳跃。此外,Ni原子的d能带非常接近于费米能级,导致了p—d之间的跳跃也更加容易。这些因素共同导致了XBi2Te4材料较强的层间磁耦合。这种磁耦合机制和规律也适用于其他范德瓦耳斯磁性绝缘体。
范德瓦耳斯磁性绝缘体的层间磁耦合能量可以远大于液氮温度,这一结果指出了大幅提高MnBi2Te4量子反常霍尔效应实现温度的一条道路。我们可以选择合适的铁磁绝缘体材料,使其和MnBi2Te4的层间磁耦合产生相应强度的能量(显著超过液氮温度(77 K)对应的能量)。由于MnBi2Te4的磁有序温度是由层间磁耦合所限制,这将有可能把MnBi2Te4层的居里温度提高到 77 K 以上。如果把MnBi2Te4夹在两层这种铁磁绝缘体材料之间,就有可能在液氮温度以上实现量子反常霍尔效应(图6)。对于铁磁绝缘体的选择,根据上述对层间磁耦合机制的认识,其磁性离子应为Ni2+,Cr3+,V2+ (具有正八面体对称性),因为d带距离费米能级较近,与p带杂化较强;而非磁性离子最好为p轨道较为离域且处于金属—非金属边界附近的元素,这样有可能产生较强的层间磁耦合。当然应当注意的是,较强的p—d杂化一方面可以贡献更强的超交换作用,另一方面也会降低拓扑表面态自旋轨道耦合强度,到一定程度反而会降低量子反常霍尔效应的温度。
磁性拓扑绝缘体体系中的量子反常霍尔效应本质上是承载拓扑绝缘体特征能带结构的sp电子和贡献磁性的d或f电子杂化的结果。拓扑绝缘体的能带结构、磁耦合机制(如超交换作用)、能带之间杂化所涉及的物理过程都非常清楚且被人们所熟知,并可以被理论和计算较好的描述和预言。因此相比提高超导转变温度,提高量子反常霍尔效应实现温度的过程应该会更加容易且更少不确定性。人们需要做的是紧密结合材料计算和实验,通过材料的选择和结构的设计,对自旋轨道耦合、交换作用、sp—d(f)杂化这三个相互影响和竞争的作用进行精细的平衡和妥协,从而在整体上推高量子反常霍尔效应实现温度。内禀磁性拓扑绝缘体MnBi2Te4家族因其独特的电子结构和性质,无疑为这一目标的实现提供了一个很好的出发点。从现有的理论和实验结果来看,在此类材料和磁性绝缘体的异质结构中将量子反常霍尔效应实现温度提高到液氮温区是有可能的。对于更高温度(例如室温附近)的量子反常霍尔效应,可能需要寻找其他的材料体系和物理机制。
高温量子反常霍尔效应的实现将为拓扑量子物态在电子学中的应用打开突破口,为设计和制备新的功能器件提供不同于传统电子器件的物理原理,还将大大降低拓扑量子物态和效应相关研究的门槛。具有更好稳定性的量子反常霍尔态也为如手征马约拉纳模的研究等较为复杂的实验提供更好的平台,有助于减少一些不确定的结果。我们或许可以期待在未来十年,拓扑量子物态将逐渐从基础凝聚态物理学家心爱的玩具演变为将量子效应带入日常生活应用的强大武器。
磁性拓扑材料专题:
《物理》在淘宝店和微店上线,扫码即可购买过刊和现刊。