|作者:汪克林1 高先龙2 曹则贤3,†
(1 中国科学技术大学 近代物理系)
(2 浙江师范大学物理学院)
(3 中国科学院物理研究所)
本文选自《物理》2021年第3期
摘要 外尔于1918年引入的规范变换实际上是相位变换而非真正的尺度变换,但规范不变性、规范理论等概念都沿袭了下来。我们发现,针对由量子化条件[x,p]=iℏ而来的量子体系之本征值问题存在规范变换,或者说尺度变换,x→x/α,p→αp,该变换保体系的能量谱不变。量子谐振子、氢原子问题及一类多体问题的精确解析解证实了这一点。量子化条件[x,p]=iℏ看来是个对量子力学很强的约束,不止于能量的量子化。这个规范变换提醒我们相空间的体积及其量子化才是物理的关键,这也是量子力学和统计物理在潜意识里一直沿用却未予关注的思路。有趣的是,从量子谐振子体系的相空间表述似乎不能导向这个结论。如同规范理论所断言的电磁学量在给定坐标系下的数值表征与标度无关,我们认为量子体系的物理量,如能量谱等,在给定坐标系下的数值表征亦应与标度无关。此尺度变换与德布罗意关系相恰。
关键词 规范变换,量子力学,相空间,量子化条件,能量谱
1918年,外尔在一篇名为“引力与电”的论文中试图为电磁学和引力提供一个统一的理论,这开启了规范场论的系列研究[1]。外尔为时空引入了一个因电磁场的存在而来的伸缩因子(Streckenfaktor)。时空收缩会造成路径依赖的原子现象,故这个理论发表后遭到了爱因斯坦的反驳。后来,这个因子被改造成了
的形式,因此如杨振宁先生所言,其应该被理解为相变换因子(phase transformation factor)[2]。然而,规范不变性(Eichinvarianz,gauge invariance)、规范理论(Eichentheorie,gauge theory)的说法却沿袭了下来。如今的规范理论中的规范变换(gauge transformation)不是gauge字面意义上所指的关于空间的尺度变换(scaling),这一点已为人们所接受,不会造成歧义。
在研究量子力学的基础问题时,我们发现,类似电磁场存在规范变换,即电磁势存在多余的自由度,量子体系确实存在一类关于相空间坐标的尺度变换,即严格按字面理解的规范变换,该变换保体系的能量谱不变。如同量子光场中存在诸如反聚束、压缩态等非经典效应,这个规范变换下能量谱不变的性质也是没有经典对应的。这个发现有助于理解为什么相空间及其量子化才是具有物理学实质意义的。也许能量等物理量在给定坐标系下的数值表征也应该是与标度无关的。这个发现有助于我们达成关于经典力学、统计力学和量子力学图景的的统一认识。
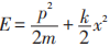
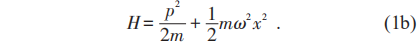
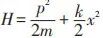
先考虑谐振子系统,为简单起见,以一维情形为例。一维谐振子的哈密顿量为
其中m是振子质量,k是力常数。引入ω2=k/m,哈密顿量可改写为
针对此哈密顿量的量子力学本征值问题,可以借助由量子化条件
而来的替换p→-iℏ∂x转化为一个二阶微分方程,用坐标表示直接严格求解,不过过程与结果都比较繁杂。将问题从(x,p)算符表示变换到使用阶梯算符(a,a+)的表示,其中a为湮灭算符,a+为产生算符,问题会得到极大的简化。引入变换
其中的阶梯算符a, a+满足如下对易关系式,
上述对易关系[a, a+]=1来自量子化条件(2)。在此条件下才有动量算符化p→-iℏ∂x,以及所谓的不确定性原理等过度引申[3]。
采用阶梯算符α,α+表示,(1)式中的谐振子系统哈密顿量变为
其本征态为,能量本征值为
本征态构成一组无穷维完备正交基,任意量子态可用Fock态
表示。阶梯算符和Fock态表示可移植到其他一些量子体系的处理中。
变换(3)中的x,p是有量纲的物理量,[xp]=[ℏ],但是阶梯算符a,a+都是无量纲量。如果在变换(3)中引入一个无量纲的尺度因子(scaling factor),即字面意义上的规范因子(gauge factor),α >0,
对易关系式(4)以及p→-iℏ∂x都依然成立。强调一遍,是量子化条件[x,p]=iℏ以及由之而来的p→-iℏ∂x将经典问题转化为作为本征值的量子化问题,表现为一个关于空间坐标的二阶微分方程。
变换(7)以及谐振子问题的解启发我们,对于量子系统的坐标与动量,如果引入尺度变换
这可能是个保量子体系不变的变换。借助变换(7),用阶梯算符a,a+求得的谐振子问题的本征函数与能量本征值和规范因子α无关。这是经典力学中未有的新现象,变换(8)显然不能保经典的谐振子能量不变。
考察变换(8)对量子谐振子系统之不同物理量带来的影响。采用阶梯算符α,α+来处理问题,任意状态矢量用Fock态表示。选定一组给定的状态
,有
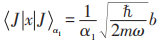
。则经由不同参数α1,α2的变换(7)下所得的x算符,其期待值分别为
,
,即由不同变换得到不同的坐标期待值。
类似地,若,则经由不同参数α1,α2的变换(7)下所得的p算符,其期待值分别为
即由不同变换得到的动量期待值也不同。也就是说,对应通过一组阶梯算符形式给出的状态,由不同规范因子相联系的位置和动量算符,其本征值取不同的数值。如果位置本征值之比为α2/α1,则对应的动量本征值之比为α1/α2,两者享有一个互逆的尺度因子。
现在考察系统状态的演化过程。设系统从 t = 0 时刻从初始状态;开始演化,则在与不同规范因子α1,α2相联系的坐标表象下,演化过程为
显然,若,即从阶梯算符a,a+到(x,p)变换虽然使用不同的参数但保持能量谱不变,则系统在这两种情形下的演化过程也是一致的。保能量谱不变这一点具有物理意义。我们期待在规范变换x→x/α,p→pα下,量子体系的能量谱不变。对于能量谱不变的体系,选择任何规范因子 α > 0 的变换(7)所联系的坐标表象不影响对系统演化过程的描述。
可以证明,针对谐振子和氢原子等量子系统,规范变换x→x/α,p→pα保能量谱不变。
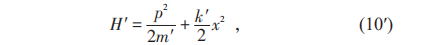
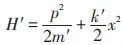
先考察一维谐振子系统,如前所述,哈密顿量为或者
。使用阶梯算符α,α+表示,系统哈密顿量变为
,有能量本征值
。对于
,作规范变换(8),得
可以改写为
其中。针对系统
如上采用阶梯算符的方法求解,得能量谱为
。但是,k′/m′=k/m,故能量谱不变。
对于任意N-维各向同性谐振子,其哈密顿量为
这同N个独立一维谐振子体系可相类比,能量本征值为
可证对N维量子各向同性谐振子,规范变换
其中 r 为空间的径向坐标,保能量谱不变。对于三维各向同性谐振子,具体的坐标表象下的解可参考氢原子问题,波函数表达式用到的是广义Laguerre多项式,见参考文献[4]。
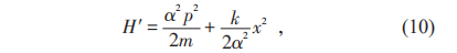
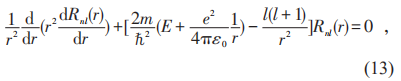
现在考察氢原子体系。氢原子的哈密顿量为,这是一个三维中心力场下的问题。在球坐标下,本征值问题的解形式上可写为
,其中的球谐函数
是角动量的本征函数,径向函数
是如下方程的解
解得能量本征值为
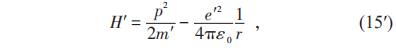
对氢原子系统做规范变换(8′),得哈密顿量
可改写为
其中e是基本电荷。由能量本征值表达式(14)可见,此规范变换保能量本征值不变。
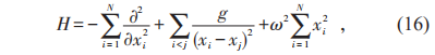
又,Sutherland曾考虑如下一类哈密顿量描述的多体体系[5],
得能量本征值为 E = ωN[1+λ(N-1)],其中 λ2-λ= g/2,λ应是无量纲数。将哈密顿量(16)补足ℏ2/2m,可见规范变换同样保能量谱不变。其实,这里的关键是相互作用项与动能项按照同样的方式进行尺度变换。可见,以(2)式作为量子化条件的量子体系,有意无意中都要保持能谱的规范变换下的不变性。
本文探讨了与位置、动量相关联的一个规范变换,或曰尺度变换,我们发现规范变换x→x/α,p→pα是保能量谱不变的,因而也是保动力学演化过程不变的。确切地说,对于利用量子化条件 [x,p]=iℏ 所引出的 p→-iℏ∂x 转写而来的微分方程所表示的能量本征值问题,这个规范变换保能量谱不变。反过来理解,对于给定状态及其由能量谱决定了的演化过程,系统的坐标和动量保有一个变换的自由度而不具有严格的意义。经典体系里不存在这样的保体系能量谱不变的规范变换。这带来了关于量子物理的新认知,即空间、动量存在任意的互逆尺度因子。这似乎暗示坐标和动量各自的角色价值可以降低(devalue),量子力学在特定坐标系中的表征与标度无关。这一点,是从前没有人关注过的,有深入理解的必要。
从经典图景到得出用波函数与能量谱所表征的所谓量子图景,其桥梁是量子化条件,[x,p]=iℏ。用几何代数的观点来看,引入二矢量(bivector)算符 F=xp,量子化条件就是 F-F* = iℏ,确切地表示为 <F-F*>2 = 0,<F-F*>0 = iℏ,这意思是 F-F* 必须是个grade-0的量,这提供了一个理解量子化条件的几何代数角度[6]。此时几何积 F=xp=x∧p 是x-p所张相空间里的一个有取向的区域,在规范变换x→x/α,p→pα下二矢量F是一个不变量,这也就自然地保量子化条件 <F-F*>0 = iℏ 不变。此形式的量子化条件保能量谱在规范变换x→x/α,p→pα下不变,倒是启发作者去思考相空间和量子化条件的一些深层次的问题,比如量子化条件 [x,p]=iℏ 可能是个比引起能量量子化更强的约束。又,对于任意形如的哈密顿量,r→r/α,p→pα变换对应
,则若 E∝mk2n 时规范变换保能量谱不变。那么量子化条件 [x,p]=iℏ 会得出 E∝mk2n 的能量谱吗?事情似乎没那么简单。以平方反比势的情形,
,为例,哈密顿算符是否是自伴随的,以及能量是否有下界,都是个依赖力常数k大小的问题。苦于没有能量谱的解析表达,无法明确指出其在变换下不是不变的。其实,更深刻的问题是,[x,p]=iℏ 可能不是这个问题之恰当的量子化条件。
量子的概念第一次出现在数学中,见于黎曼1854年的演讲“Über die Hypothesen, welche der Geometrie zu Grunde liegen (论关于几何基础的几个假设)”之第一句最后一个词,它不经意地指出了几何的小部分是所谓的Quanta,这是几何意义上的量子。及至玻尔量子化条件于1911—1913年间被提出,认为氢原子中电子(平面状的)轨道之角动量应是量子化的,
这依然是几何量子化的图像。至关紧要的一幕出现在1924年,玻色假设相空间体积量子化——对于三维物理空间的粒子,其相空间体积量子为ℏ3 ——进而用简单的排列组合就得到了普朗克黑体辐射公式[7]。应该说,关于玻色相空间量子化假设的意义,在此前量子力学和统计物理中未予充分说明。结合本文中量子化条件 [x,p]=iℏ 保其量子化了的系统之能量在规范变换x→x/α,p→pα下不变的发现,这让我们猜测关于相空间体积,以及相空间上定义的二矢量型物理量如角动量(不妨参考氢原子问题求解过程中角动量的角色)才更有基本意义。这个时候回头看,阿诺德的《常微分方程》一书第一章即谈论相空间[8],就大有深意了。类似x,p这样的矢量,在量子力学和统计物理的图景中也许失去了绝对的意义,自然由x-p对偶性而来的一些量的互反关系也就不具有绝对意义。如同规范理论所断言的电磁学量在给定坐标系下的数值表征与标度无关,这引导我们认为量子体系的物理量,如能量谱等,在给定坐标系下的数值表征亦与标度无关。特别要指出,本文讨论的内容同德布罗意的物质波理论中的关系 λ=h/p 相自洽。将我们给出的规范变换与德布罗意的 λ=h/p 放在同一个框架中考虑,或许会引导更多对量子力学的认识。
本文的结果又或者可启发我们去为 [x,p]=iℏ 不适合作为量子化条件的一类体系,比如阻尼振荡体系以及引力,去构造恰当的量子化条件?为此要问的问题是,具体的量子化条件是否应是相空间上的二矢量型的物理量,这个条件除了引起系统的能量量子化以外还会对能量谱带来哪些影响,等等。
最后,顺带提一句,从关于量子谐振子问题的相空间表述中,那里出现的函数是
或者
,从中看不出变换x→x/α,p→pα能保能量谱不变。
《物理》在淘宝店和微店上线,扫码即可购买过刊和现刊。