|作者:殳蕾1,2,3,† 倪晓杰4 潘子文5
(1 复旦大学物理学系 应用表面物理国家重点实验室)
(2 上海量子科学研究中心)
(3 人工微结构科学与技术协同创新中心)
(4 保罗谢勒研究所 缪子自旋谱学实验室)
(5 中国科学技术大学 核探测与核电子学国家重点实验室)
本文选自《物理》2021年第4期
摘要 缪子自旋弛豫/旋转(MuSR)实验技术利用缪子的自旋,在原子尺度上研究样品内部磁场的静态分布和动态涨落。文章介绍MuSR实验技术在凝聚态物理中的应用,阐述了MuSR在磁性、超导材料中发现的独特信息,包括磁有序、内部磁场分布、具有特定频率范围的自旋涨落,以及在半导体材料中获得杂质的电子状态和位置。这些应用表明MuSR对于理解关联电子材料复杂的物理现象及其物理机制具有重要意义。
关键词 缪子自旋弛豫/旋转,磁性,超导,半导体
缪子最早于1933年被发现于宇宙射线中[1],在标准模型框架内属于轻粒子。缪子可由π介子自发衰变产生,具有单位负电荷,通常写作μ−,其反粒子μ+具有单位正电荷。μ−与μ+具有自旋Sμ=1/2,旋磁比 γμ/2π ≈ 135.539 MHz/T。利用不同能量、不同电性的缪子,可以进行诸多领域的科学研究,例如利用二级宇宙射线缪子观测胡夫金字塔结构[2],缪子文物元素分析[3],以及缪子自旋弛豫/旋转/共振(muon spin relaxation/rotation/resonance,MuSR)技术在凝聚态物理、材料科学、化学、生物大分子等领域的研究[4,5]。
本文主要介绍MuSR技术在凝聚态物理中的应用。MuSR技术起源于杨振宁与李政道提出的关于弱相互作用下宇称不守恒的理论[6]。吴健雄首次发现了π介子的不对称衰变[7],继而缪子的不对称衰变被 R. L. Garwin 等人发现[8]。实验室环境下利用不同类型的加速器产生高能质子,轰击碳或铍靶材料,在其表面或近表面产生静态的π介子,π介子衰变得到动量 Pμ ≈ 29.8 MeV/c 的低能缪子。这类缪子也被称为表面缪子,能量较低,更容易在实验室环境操控。基于弱相互作用下宇称不守恒的理论,实验室所产生的缪子近乎100%自旋极化,加上缪子具有较大的旋磁比,平均寿命 2.2 μs,可被用于精确测量材料的局域磁性。经过几十年的发展,如今MuSR已被广泛应用于凝聚态材料研究,其中在磁性和超导材料方面的研究尤其令人瞩目。
目前全球共有4个实验机构可以产生足够多的缪子完成MuSR实验,分别为英国卢瑟福·阿普顿实验室ISIS中子源、瑞士保罗·谢勒研究所、日本大型质子加速器设施J-PARC,以及加拿大国家粒子中心TRIUMF。
在MuSR实验中,将自旋几乎完全极化的正电缪子以相同的能量打入样品,在样品内传播一定距离后损失能量,最终停留在晶格间稳定的位置。在局域磁场Bloc作用下产生自旋退极化过程,直至衰减产生正电子,正电子的出射方向与衰变瞬时缪子的自旋方向一致。利用正电子计数器记录百万量级的出射正电子,通过形成的空间分布统计平均信息来获取缪子自旋退极化时域信号Pμ(t ),即缪子自旋不对称参数谱,进一步利用数学模型分析Pμ(t )获得Bloc的信息。
如图1所示[9],根据外加磁场Hext与入射缪子自旋Sμ方向,MuSR实验被分为纵场与横场实验。由于入射缪子自旋几乎完全极化,因此MuSR实验还可以在零磁场下进行。
MuSR实验技术利用100%自旋极化的缪子,在大跨度温度(10 mK—1500 K)、磁场(0—8 T)以及磁性耦合响应频域(1 kHz—5 GHz)范围内,准确探测材料中的动态/静态磁场强度与分布,从而得到丰富的磁性行为的信息。MuSR与其他的探测手段如核磁共振、中子散射互补,并且对磁场有非常高的灵敏性,已经被广泛地用来研究各种凝聚态材料,包括磁性材料、超导体、半导体。
3.1.1 磁有序
缪子对磁性非常敏感,可以感受到低至 10 μT 的微弱磁场。缪子的局域探针特性可以标定样品中不同磁性相的体积百分比。在研究材料中的静态磁场时,MuSR技术主要用于探测磁性相变温度,局域磁场的性质以及不同磁性相之间竞争或共存关系。
一个典型的例子是零场MuSR实验中看到的NaxCoO2磁相变[10],缪子不对称性参数谱在相变温度以下出现了明显的振荡衰减,如图2所示。对图谱用公式 A(t) = A0e-λtcos(ωμt+Ф) 拟合,其中A0是初始不对称性参数,振荡频率ωμ与缪子停留位置的局域磁场大小Bμ成正比,λ是振荡衰减系数,来源于磁场分布的不均匀性。测量ωμ的温度依赖关系可以确定磁性相变的温度以及序参量相图。
图2 NaxCoO2零场缪子自旋不对称参数谱[10],其中插图是不对称性参数时间图谱的傅里叶变换
当Bμ或λ过大时,由于时间分辨率的限制,MuSR技术很难再探测到振荡衰减的信号(尤其在脉冲式的缪子源),这反映在不对称性参数图谱中是初始不对称性参数A0的丢失。如图3所示,弱横场MuSR实验得到的莫特绝缘体Sr2Ir0.95Rh0.05O4和Sr2Ir0.9Rh0.1O4单晶样品的初始不对称性参数A0随温度的变化[11]。可以看到在 TN = 175 K 和TN = 110 K 以下出现了A0丢失,这与磁化率实验观测到的反铁磁转变温度是吻合的。另外,图3中的A0在低温下并没有完全丢失,这是由于实验中用到银样品托,银不具有长程磁有序,且核磁矩很小,部分停留在银中的缪子自旋不会被去极化,因此产生了背景信号。
图3 (a)Sr2Ir0.95Rh0.05O4和(b)Sr2Ir0.9Rh0.1O4单晶样品的初始不对称性A0随温度的变化关系[11]
3.1.2 自旋阻挫
在某些自旋体系中存在复杂的竞争关系,难以达到一个使能量最小的自旋取向,这类体系称为自旋阻挫体系。自旋阻挫体系有两类成因:一种为特殊的晶体结构产生的阻挫,称为几何阻挫,如三角格子上的反铁磁伊辛(Ising)模型等;另一种为复杂相互作用产生的阻挫,如蜂窝状格子上的Kitaev模型。阻挫会导致丰富的物理行为,如磁有序、自旋玻璃、自旋液体等。
自旋阻挫体系中,量子自旋涨落起到重要作用。MuSR技术能探测 103—1012 Hz 之间的自旋涨落,是低频探测手段,这使该技术成为研究磁阻挫体系的有效工具。很多MuSR实验都表明在几何阻挫的体系中,直至绝对零温下都存在动态的自旋涨落。MuSR实验可以在零场环境中进行,感受到微弱磁场,因此可以精确判断体系为何种基态。根据基态的差异,可以进一步测量体系在外场作用下的行为。比如自旋玻璃中的自旋冻结对缪子自旋的去极化效应会被纵向施加的外场抵消;而对于自旋液体具有较强的持久的自旋关联,可通过测量不同磁场下缪子自旋弛豫率得到体系的涨落频率以及局域的磁场大小[12]。
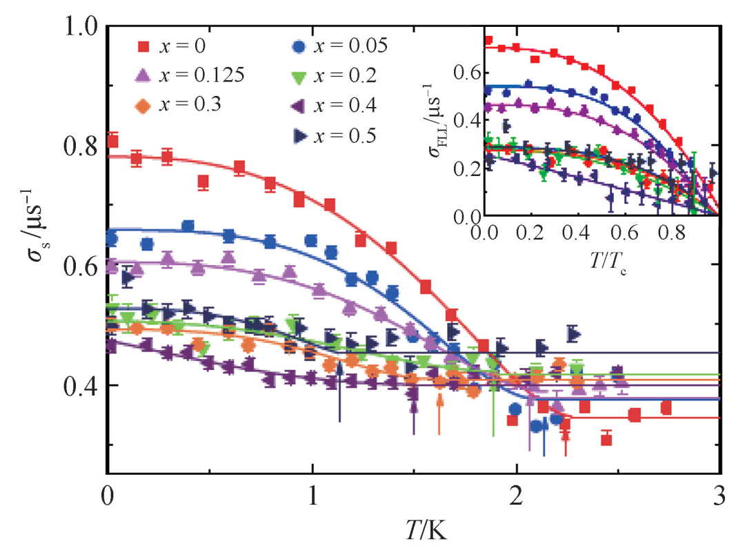
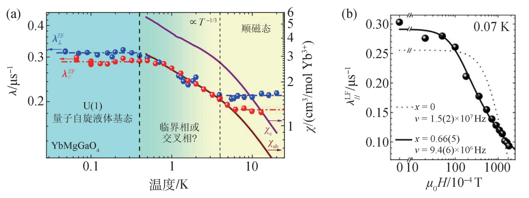
如在三角格子上的量子自旋液体候选材料YbMgGaO4中[13,14],通过零场MuSR实验发现低温下的缪子弛豫率存在平台(图4(a)),说明体系中存在持续的动态自旋行为;通过纵场实验得到不同磁场下的缪子自旋弛豫率,由Redfield关系拟合得到了体系的涨落频率约为 9.4 MHz (图4(b))。
3.1.3 庞磁阻
磁电阻效应是指材料在外磁场下电阻发生改变的现象。1988年,A. Fert[15]和P. Grüenberg[16]各自领导的研究组独立发现了多层金属薄膜材料在外磁场下电阻变化高达10%和50%。这种现象后来被称作巨磁阻效应。两位科学家因此获得了2007年诺贝尔物理学奖。巨磁阻效应的发现推动了高容量存储技术的快速发展。后来人们在研究钙钛矿锰氧化物薄膜等材料时发现其电阻在外磁场下可以发生高达数个量级的变化[17]。这种电阻超大变化的现象被称作庞磁阻效应[17]。
庞磁阻锰氧化物属于强关联电子体系,其晶格、自旋、电荷以及轨道自由度发生强耦合,产生如双交换作用、Jahn—Taller效应、电子相分离、以及电荷有序等现象[18]。对于庞磁阻材料的实验研究,相比测量结构和输运信息的实验手段,MuSR技术能够提供重要且全新的自旋动力学信息。由于庞磁阻材料对磁场敏感,MuSR技术可以在零场条件下进行测量成为了优势。MuSR技术在庞磁阻材料应用中最重要的发现是自旋通道存在非均匀性,即材料中导电铁磁性和绝缘铁磁性共存[19]。实验结果表明,庞磁阻材料可以用于自旋电子学器件的研制。至于两种自旋弛豫通道的起源,暂时没有理论很好地对MuSR实验数据作出解释,需要进一步研究。
3.1.4 重费米子
作为强关联电子系统的传统领域之一,重费米子物理一直倍受人们关注。重费米子体系主要包括一些含有稀土金属或锕族金属元素(带有未填满的4f或5f电子层)的化合物。这类化合物在低温下表现为超导、反铁磁或铁磁、或者费米液体行为,但都有很大的比热,通常认为准粒子具有很高的质量,因此叫做重费米子材料。从微观的角度来看,其体系内包含了两个组分的电子磁相互作用,一类是自由的导带电子,一类是局域化的f电子。由于导带电子和局域f电子的波函数有叠加,因此两个组分之间存在杂化(近藤效应)[20],导致低温下准粒子有效质量的巨大重整化。f电子具有很强的局域库仑相互作用,所以体系表现出强关联的性质。对于一个晶格的f电子来说,这样的耦合还导致了晶格上不同f电子之间通过导带电子传递的有效磁相互作用(RKKY相互作用)[21,22]。对于重费米子材料中周期性排布的f局域电子与导带电子杂化所导致的复杂的集体行为和新的量子态,迄今尚无满意的理论解释。最近几十年,新的重费米子材料不断被发现,这些材料为深入认识重费米子物理提供了重要的实验基础,而且更呈现出其他多种尚不为人们所理解的奇异现象。比如说超导与反铁磁共存、隐藏序、拓扑表面态、非费米液体行为、非常规量子临界行为等。
作为对磁性十分敏感的微观探测技术,MuSR在重费米子体系的研究中具有独特优势[23]:(1)缪子自旋不需要外加磁场来极化,可避免外加磁场的扰动效应。MuSR技术对微小磁场极度灵敏,能探测原子核或者电子产生的微小局域磁场,使得探测重费米子体系中微小的静态磁矩成为可能;(2)相比于核磁共振等实验手段,MuSR实验中的探针缪子为自旋1/2,不会产生电四极矩相互作用,因而其结果分析得到大大简化;(3)作为局域探针,MuSR中的缪子能停留在样品的不同部位。因而MuSR技术具有空间分辨性,可以探测磁性各向异性区域,能区分重费米子体系中存在的相分离、多相共存或者多相竞争等情形。对于体系中存在多相的情况,MuSR还能定量地给出各相的百分比;(4)通过缪子奈特位移的测量,可以提供局域电子和巡游电子之间杂化的信息;(5)重费米子超导体由于其较大的电子有效质量,磁场穿透深度一般也很大,MuSR是少数可以得到超大体磁场穿透深度绝对值的技术之一。
图5 重费米子超导体CeCoIn5及其Yb掺杂体系(Ce1-xYbxCoIn5)中缪子自旋弛豫率与温度的依赖关系[24,25],箭头表示超导转变温度,在超导转变温度以上的水平直线表示的是来自于核偶极矩的贡献。插图是不同样品中涡旋态导致的缪子自旋弛豫率
图5显示了重费米子超导体CeCoIn5及其Yb掺杂体系中缪子自旋弛豫率与温度的依赖关系[24,25]。在这类超导体中,缪子自旋弛豫率与磁场穿透深度成平方反比关系。该图可以得到Ce1-xYbxCoIn5体系在重费米子极限和混合价态极限下的超导穿透深度λ(T),以研究混合价态的Yb掺杂对费米液体重正化的影响[24,25]。
3.1.5 MuSR测量材料拓扑性质
A. Kitaev首次提出一维费米系统的拓扑边界态[26],具有拓扑边界态的材料即为拓扑材料。目前主要研究方向有拓扑绝缘体[27]、拓扑超导体[28]、以及磁性拓扑半金属[29]。虽然MuSR实验技术关于拓扑边界态不能提供直接的证据,但可以研究拓扑绝缘体的关联磁性[30]和超导体的超导电性[31]。
超导体具有零电阻和完全抗磁等一系列神奇的物理特性。以铜氧化物和铁基超导体为代表的非常规超导体[32],不停地掀起超导研究的热潮。虽然非常规超导体的超导机理还未有定论,但对其研究已衍生发展了量子磁性、拓扑物态、量子临界等一系列研究领域。MuSR作为一种具有高灵敏度的局域磁探测手段,已经广泛地被用来研究各种超导材料。
3.2.1 磁场穿透深度与超流密度
横场MuSR(TF-MuSR)是研究常规超导体或非常规的第二类超导体涡旋态中内部磁场分布的常用方法[33]。在TF-MuSR测量超导电性实验中,以场冷方式将样品温度降至Tc以下,外加磁场垂直于缪子初始自旋方向,带正电的缪子逐个打入待测样品中。每一个缪子都以所处位置的局域磁场为轴进动,最终的缪子自旋去极化方程由样品内部磁场分布决定。在超导体涡旋态中,外加磁场诱导产生一个磁通线点阵,其内部磁场分布与磁场穿透深度,涡旋态半径以及磁通线点阵的结构有关,而磁通线点阵中内部磁场分布宽度的均方根进一步决定了缪子自旋弛豫率的大小。反过来讲,均方根反比于磁场穿透深度λ的平方,λ与超导载流子密度nS和有效质量m*的关系满足伦敦方程[34]:
因此,TF-MuSR可以测得磁场穿透深度的绝对值,进而得到超流密度,通过超流密度与温度的依赖关系,进一步可推断超导能隙对称性。铜氧化合物超导体的d波对称性[33]和铁基超导体的多重能隙对称性[35]均已经被TF-MuSR所证明。图6显示了FeS单晶样品在横场 μ0H = 30 mT 时超流密度与温度的关系,通过不同超导能隙模型拟合实验数据的结果表明FeS的超导能带是多带的[36]。
著名的Uemura plot关系图[37]给出了Tc与费米温度的依赖关系,其中费米温度由1/λ2(0)导出。Uemura plot关系给出了一种普适的规则,适用于不同种类超导体,同时也包括近期发现的动态超导电性[38]。
3.2.2 奈特位移
在高磁场的TF-MuSR实验中,顺磁体和非磁体中的缪子进动频率会出现偏差,偏差的占比即奈特位移。奈特位移提供了一种微观尺度上表征静态磁性的方法。在超导态中,奈特位移包含了自旋磁化率的贡献,因此奈特位移的测量也是研究库珀对配对对称性的有力手段。
3.2.3 时间反演对称破缺
超导电性的重要性质之一是时间反演对称性是否破缺[32]。在时间反演对称破缺的超导态中,库珀对的磁矩不为零并且局部有序,在体系内部会出现十分微弱的自发磁场。为了探测该微弱磁场,零场MuSR(ZF-MuSR)是最有力的手段之一,这源于缪子对磁场微弱改变的高度敏感,探测磁场的精度可达 10 μT。当体系中没有磁有序时,缪子自旋在静态且无序分布的核偶极矩作用下去极化弛豫,缪子自旋弛豫率不存在温度依赖关系。若在温度低于Tc时,体系内出现了微弱的自发磁场,缪子自旋弛豫率会出现上升现象,此处弛豫率的上升对应一个序参量。时间反演对称破缺的超导态十分稀少,利用ZF-MuSR技术成功地探测到时间反演对称破缺的非常规超导体有:层状的钙钛矿超导体Sr2RuO4[39],非中心对称的LaNiC2[40]和填充的方钴矿化合物PrOs4Sb12和PrPt4Ge12[41,42]等。
3.2.4 超导与磁性
在凝聚态物理领域,有关超导电性与磁性之间联系的研究已经活跃了一个世纪之久。早期,科研人员发现磁性会快速抑制超导电性,然而在重费米子、铜氧化合物和铁基超导体等多种超导体系中发现,在压力或者掺杂的调控下,超导出现区间毗邻反铁磁区间。此外,越来越多的证据表明超导与铁磁或反铁磁可以共存。目前还没有统一的理论去解释这一现象,因此在实验上去准确地描述超导与磁性如何共存或竞争显得尤为重要。MuSR技术作为一种局域的磁性测量手段,可以探测出微观尺度上的磁场分布,能够精确给出体系中超导相与磁性相的占比,以及二者的序参量的温度依赖关系和掺杂浓度依赖关系,因此MuSR技术已经成功地应用于大量非常规超导体的超导与磁性共存现象的研究之中[43,44]。图7显示MuSR实验得到的铁基超导体SmFeAsO1-xFx中磁性与超导相图,可见在一定的掺杂范围内,静态磁有序和超导共存,通过MuSR实验数据还可以得到两相的体积百分占比[43]。
除了探测静态磁场外,MuSR技术同样适用于动态磁场的测量。最近,MuSR实验在铜氧化合物高温超导体的赝能隙区域发现了缓慢涨落的磁性信号[45]。
半导体是一种晶体固体,其导电性介于导体和绝缘体之间。半导体被用于制造各种电子器件,包括二极管、晶体管和集成电路。这些器件因其体积小、可靠性高、效率高、成本低而得到了广泛的应用。
入射的正缪子在半导体材料中会捕获一个电子形成一个奇特的原子,缪子素(muonium)。在这种情况下,缪子素可以被认为是氢的轻同位素。它具有与氢原子相似的约化质量、玻尔半径和电离能,如表1所示[46]。因此,这个束缚态缪子—电子对可以作为一个短寿命的“原子”进行一级近似处理,其化学行为类似于氢的同位素。在半导体材料和半导体器件的许多制造步骤中,从最初的生长条件到器件的老化,氢都可能被掺入其中,是一种不可避免的、无处不在的杂质,甚至是一种故意添加物[47]。但是对材料中孤立氢的探测比较困难,尤其是它的电子结构和电子能级等微观信息。利用MuSR技术可以研究半导体中孤立氢原子(杂质)的电子状态和位置[48]。
表1 缪子素和氢原子的性质[46]
与磁性材料或超导体中的缪子相反,半导体中的正缪子可以被认为是一种主动的探针,因为研究的是缪子自身的状态。通过超精细相互作用,可以区分不同的缪子素态。如在硅和锗中,人们发现低温情况下存在三种状态:(1)具有强超精细相互作用的正常缪子素;(2)具有弱各向异性相互作用的异常缪子素;(3)少量自由正缪子[49]。
正常的缪子素具有各向同性的超精细相互作用,不仅可以在真空中观察到,还可以在一些半导体、电介质和有机化合物中形成。在惰性非导电物质中,缪子素可以以一种非常类似于原子的状态存在。在这种情况下,它局限于间隙晶格位置。在碱金属氟化物中,缪子素的超精细耦合常数略高于在真空中的缪子素,其超精细耦合常数较小,在一些半导体中,甚至比自由态要小得多。图8所示是半导体和电介质中间隙缪子素的超精细常数,显示了归一化到真空值的超精细耦合常数(代表缪子位置的自旋密度)与基体材料的带隙之间的相关性[50]。
在一些半导体中,还发现了一种具有围绕[111]晶体轴轴对称超精细常数的缪子素态,被称为“异常缪子素”或“各向异性缪子素”,其超精细常数一般小于正常的缪子素[51]。
以上所述的缪子素态在元素半导体和Ⅲ-Ⅴ化合物半导体中普遍存在并被大量研究。这些缪子素态可以是各向同性的,当它处于一个对称的间隙位置时,比如金刚石或锌闪锌矿结构中的四面体位置;也可以是各向异性的,当它处于键中心时。在这些半导体中,孤立的氢和缪子素可以形成深能级中心[52]。
最近,对Ⅱ-Ⅵ半导体中缪子素态的研究表明,在CdS、CdSe、CdTe和ZnO中存在第三种中性各向异性Mu0。这种缪子素态具有浅能级施主杂质中心的结合能特征,被认为是在间隙位置上与S(Se、Te或O)成反键。它的超精细相互作用很弱,约等于真空值的10-4 [53]。
MuSR技术利用100%自旋极化的缪子,在大跨度温度、磁场以及磁性耦合响应频域范围内准确探测材料内部磁场的静态分布和动态涨落,得到丰富的磁性行为信息。该技术的发展已有几十年的历史,特别是近30年,伴随着加速器等技术的进步,MuSR技术在凝聚态物理研究领域中被广泛利用,特别是在磁性和超导材料研究发现的独特信息,包括磁有序、内部磁场分布、具有特定频率范围的自旋涨落等,对于理解关联电子材料复杂的物理现象及其物理机制具有重要意义,有力地推动了凝聚态物理的发展。
MuSR技术离不开大型的质子加速器,目前实验机时有限、周期长是所有MuSR研究人员面临的共同问题。希望随着世界各地缪子源的不断优化升级,以及新缪子源的规划建设,在不久的将来这一问题将逐渐被解决。此外,随着MuSR技术不断发展,更多实验自由度将不断被引入,包括控制缪子入射动量用以研究薄膜物理性质,高温、高压、强磁场等极端条件下的实验将更普遍。目前瑞士PSI已经有了超低能MuSR谱仪(LEM)和高压MuSR谱仪(GPD);加拿大TRIUMF新增的M9线站正在建设中,不久的将来会有更多高压谱仪面向MuSR实验;英国RAL的ISIS中子源将迎来升级,未来粒子束流通量将大幅提升,极大缩短实验用时;日本J-PARC也在研发极低能和强磁场谱仪。可以预见,MuSR的发展将对包括凝聚态物理研究在内的诸多学科做出更大的贡献。
缪子科学专题:
《物理》在淘宝店和微店上线,扫码即可购买过刊和现刊。