李政道 著
朱允伦 柳怀祖 编译
出版社:中信出版集团
出品方:大星文化•作家榜2020年8月
李政道先生为再版作序
对称展示宇宙之美,不对称生成宇宙之实。
内容简介
章节试读
在中文里,“物理”的意思乃“物之理也”,“物”包括从宇宙到亚原子的所有物质,物理学就是研究物质的结构和运动规律的一门基础科学。
中国古代文献中最早提到“物理”这个名词的,可能是唐朝(公元8 世纪)著名诗人杜甫,他写了如下诗句:
细推物理须行乐,
何用浮名绊此身。
——摘自杜甫《曲江二首》
这位古代诗人告诉我们:研究物理、探讨物理规律需要细(仔细观察)、推(演推规律)且自有无穷乐趣,又何须为空名所束缚。
按照现在的物理理论,宇宙中基本的相互作用有以下三大类:
强相互作用, 描述它的理论为量子色动力学(QCD)。
弱电作用,描述它的理论为SU(2)×U(1)理论(标准模型)。
引力作用,描述它的理论为爱因斯坦的广义相对论。
自然界的基本相互作用就这三种。描述这些相互作用的理论都是以对称为基础的。然而,大多数的对称量子数又是不守恒的。一方面,理论越来越对称;另一方面,我们发现有越来越多的不对称量子数。这构成了当代物理学的一个基本疑难:既然我们生活的世界充满着不对称,我们为什么还要相信对称性呢?
其实,这是不矛盾的,因为很可能为了要有最大的不对称的可能性,我们必须有绝对的对称性。我想用弹性物体的弯曲的例子来解释这个论点。
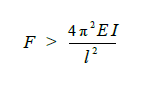
如果我们对一个弹性杆从两头向内施加力,那么,当力较小时,杆受到弹性压缩;当力较大时,这个杆就发生弯曲,欧拉早在18 世纪就已证明:当
时,杆就发生弯曲,其中E 为材料的弹性系数,I 为转动惯量,l为杆的长度。而杆发生弯曲的可能方向与杆的截面形状有很大关系(如图2.1所示)。
当截面为圆时,对称性最大,弯曲的可能方向有无穷多种;而当截面为矩形时,对称性减小了,弯曲的可能方向就只有两个了;当截面为任意形状时,没有对称性,那就只有一个可能的弯曲方向了。圆形截面具有最大的对称性,它所提供的不对称弯曲的可能性也最大。而且,这些不同的不对称弯曲方向可通过一个转动相联系,且无需能量。
图2.1 弹性杆的弯曲
自然界中另一个重要的对称性是标度对称性。在科学中,很多复杂结构遵从非常简单的数学公式。这里,让我们以海螺的形状为例来说明。
1917 年, 汤姆森(D’Arcy Thompson)发现,海螺的螺旋结构可以用简单的数学公式来描写, 这就是半径r 与角度的对数成线性关系(如图4.1 所示):
。我们称这类关系为标度定律,我们只要知道结构的一小部分,就能从标度关系预言整体的结构。
湍流是另一个满足标度定律的重要例子。让我们来看日本古代画家葛饰北斋(Katsushika Hokusai,1760—1849)的一幅名画(如图4.2所示),在浪花中不断重复着相同的结构。
图4.1 标度定律与海螺结构
图4.2 神奈川冲浪里 [ 日] 葛饰北斋
湍流谱的公式是由Kolmogorov (1941 年),Onsager(1945年)和von Weizäscker (1948 年)先后证明的,下面是一个将他们的推理简化的证明:
假定从波数k 到k+dk 传递的能量E(k)只与k 和维持此湍流的能量输入速率ε 有关,而和流体的黏滞系数与湍流的其他细节无关:
我现在用量纲分析方法来证明这个公式:因为E(k)只与k 和ε 有关,ε=dυ2/dt 为单位质量的能量输入速率,而从这些量的量纲看, 速度v 的量纲是[ v ] =L/T, 其他量的量纲:
所以
如果你仔细去分析葛饰北斋的画,就会发现,在浪花中确实有相同结构的不断重复,其在数学描述中的表现就是在指数上有分数;类似这样在指数上有分数的规律在自然界是很普遍的,称为分形(fractal)。
目录
▲长按识别即可购买本书
想获得该书的读者可以在后台留言,写下您试读的体会,留言点赞前8名的读者将获赠该书一本(三个月内已获得赠书的读者不参与此次活动)。截止时间是6月21日早8点,10点会公布8位获奖者名单。期待您的参与!
《物理》在淘宝店和微店上线,扫码即可购买过刊和现刊。