|作者:林志忠† (台湾交通大学电子物理系)
本文选自《物理》2021年第8期
半导体工艺和工业改写了半个多世纪以来的人类文明,是一个毋庸置疑更无需再论证的当前事实。有关半导体材料、物理及器件发展故事的报道,汗牛充栋,触目皆是,让人津津乐道。
英文“semiconductor”一词是1911年从德文(“halbleiter”)翻译过来的,意指导电性质介于金属与绝缘体之间的一类材料。但是直到1931年,泡利犹气势凌人地对知名物理学家Rudolf Peierls说:“科学家不应该研究半导体,它们极端肮脏污秽,谁晓得它们是否真正存在。”这则泡利(又)犯大错的故事,很多人听过;众人比较不熟悉的是以下的另一个故事。
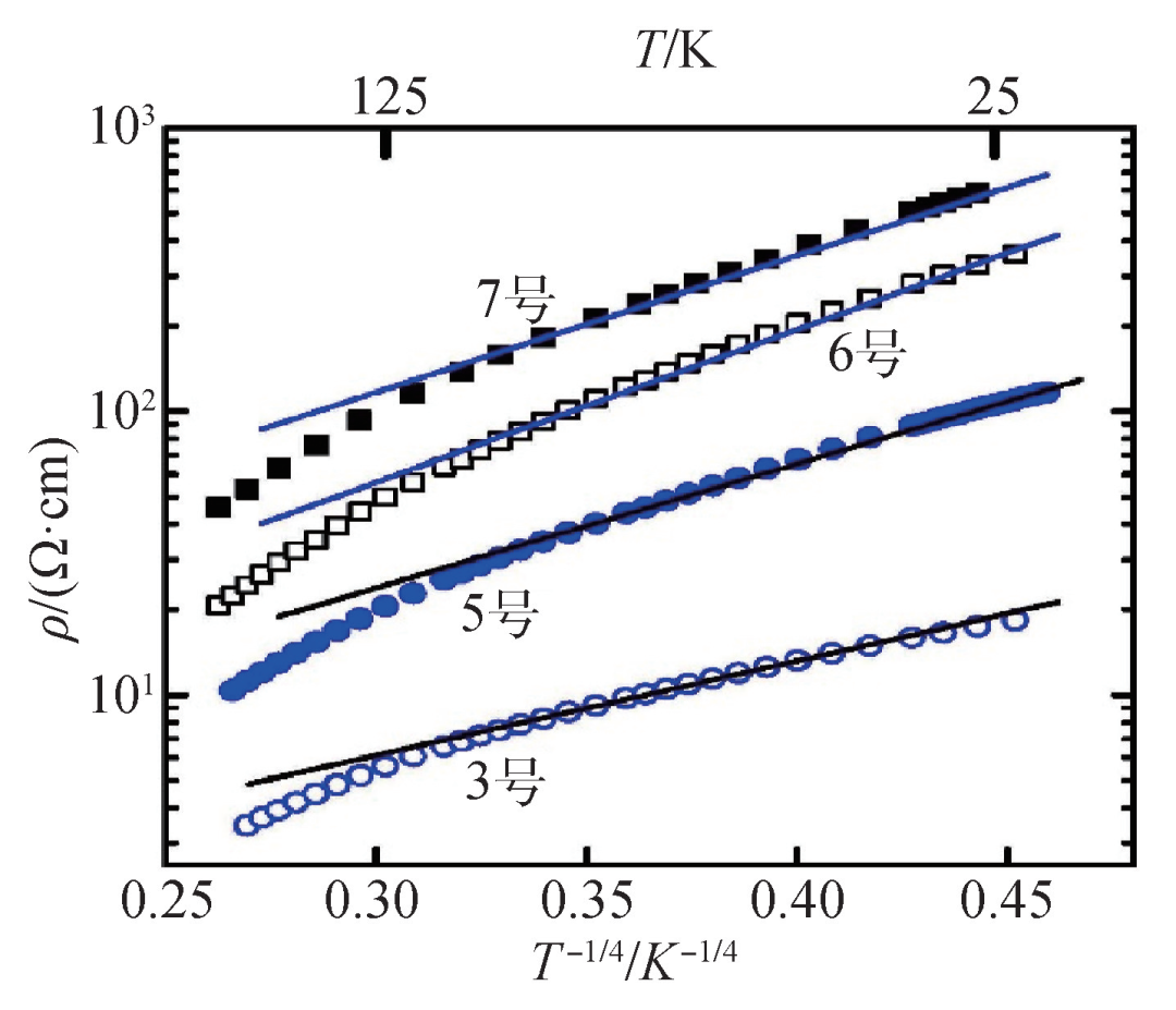
半导体的“有用”来自于掺杂,掺杂带来了杂质导电特性。诸多情况下,杂质导电呈现出变程跃迁(variable-rangehopping)的导电过程。实验上,杂质导电是1950年由美国普渡大学洪朝生和J. R. Gleissman(Physical Review,1950,79:726)在锗晶体的低温输运测量中首先发现的。理论方面,N. F. Mott(莫特)在1960年代初期提出了著名的变程跃迁导电公式,预测维度为d 的样品的电阻率(ρ)对温度(T)的变化关系为:ln(ρ)∝T -1/(d+1)。莫特的理论未考虑无序情况下的电子—电子作用效应,因此在费米能级处的电子能态密度为一常数。莫特的这个理论预测非常成功,在许多材料中都广泛应验了(图1),包括在最近的纳米结构石墨烯样品(图2)等二维材料中,都印证了其正确性。(半导体掺杂后,杂质的位置随机分布,因此相对于未掺杂的有序晶体而言,构成了一个无序系统。莫特因为对磁性和无序系统电子结构的理论研究,与P. W. Anderson及J. H. Van Vleck,三人分享了1977年诺贝尔物理学奖。)
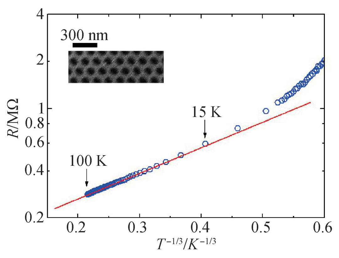
图2 蓝色圆圈代表 1 片反数组石墨烯(antidot array graphene)的电阻 R 随温度的变化,样品结构如插图中的扫描电子显微镜(SEM)照片所示。由于纳米尺度孔洞边缘造成的无序,使得在约15 K到100 K的温度范围内,电阻呈现二维 (d = 2)莫特变程跃迁导电行为,即ln(ρ)∝T -1/3。约在15 K以下时,因库仑硬能隙的作用,导电行为会逐渐转变成热激发过程,即ln(R)∝T -1(图引用自:潘杰,叶胜玄等. Physical Review B,2021,103:235114)
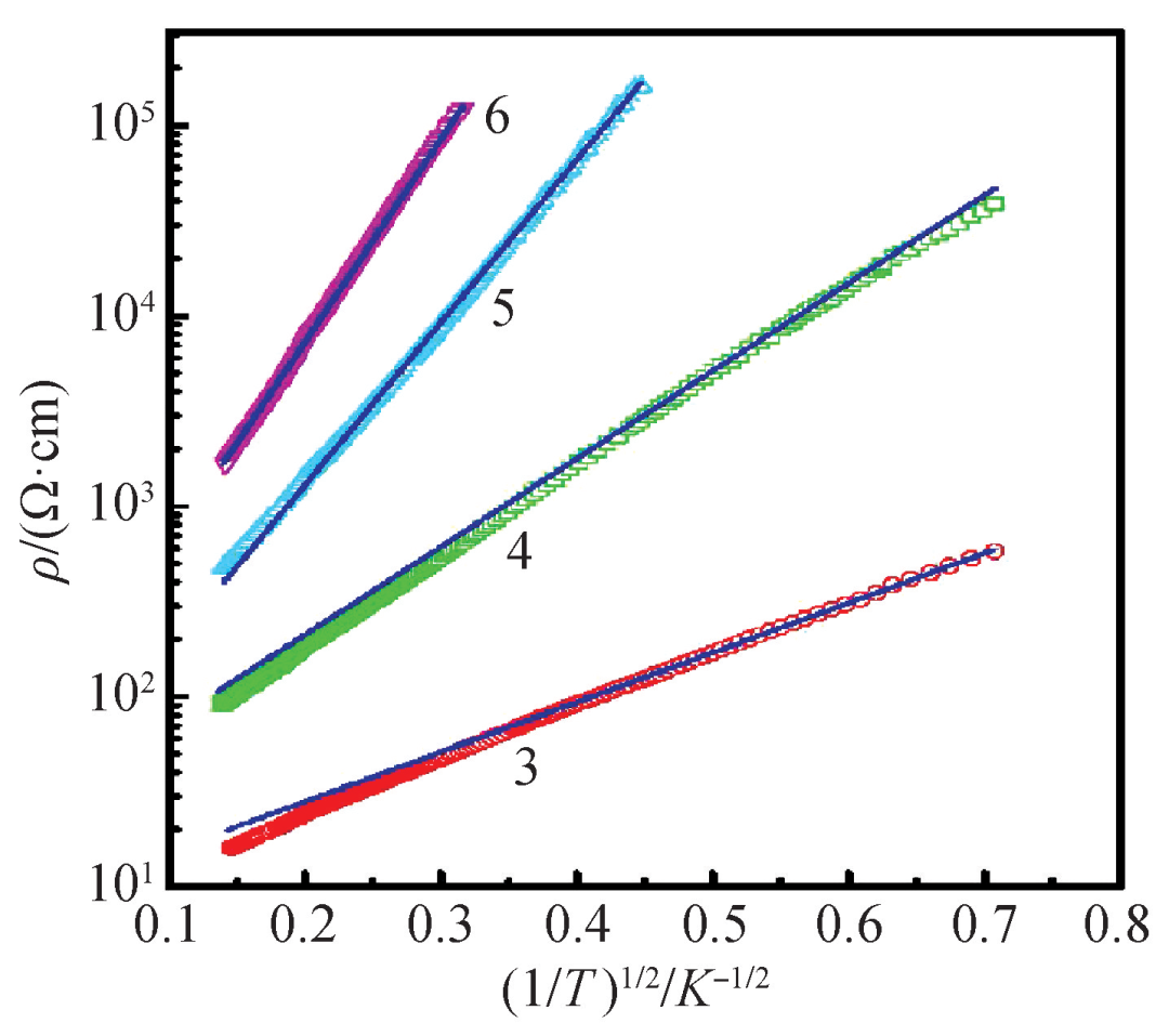
1975年,苏联凝聚态物理学家A. L. Efros和B. I. Shklovskii(以下简称ES)两人考虑了电子—电子作用在无序体系中的重要性,发现费米能级处的电子能态密度会被完全压抑,形成一个软能隙(soft Coulomb gap),进而大幅度改写电阻率的温度变化行为。他们发现,无论样品的维度是一维(d=1)、二维(d=2)或三维(d=3),电阻率对温度的依赖都呈同一函数形式,即:ln(ρ)∝T -1/2(图3)。ES的理论提出之际,莫特的学术声望如日中天,对两人造成了极大的心理威胁。更有甚者,发表后不到两个月,莫特就写了一篇短文,指摘该理论。Efros虽然于半年后接续发表了一篇更加严谨推导的论文,验证和演绎了他们的第一篇唯象理论的预测,同时反驳了莫特的论点,但4年后(1979年),当ES出版他们的俄文专著Electronic Properties of Doped Semiconductors(后来成为了一本名著,迄今仍屹立不摇)时,他们还只勉强在书中小心翼翼地写了一节电子—电子作用对变程跃迁导电公式的影响和造成的修正。
图3 不同颜色代表4片1 μm厚度,但氧含量不同的氧化锌(ZnO1-x)薄膜(样品编号同图1样品)。4片薄膜的低温电阻率,约在20 K到40 K以下时,都呈现由莫特变程跃迁(图1)转变成ES变程跃迁的导电过程,即ln(ρ)∝T -1/2(图引用自:黄咏隆等. Journal of Applied Physics,2010,107:063715)。图1和图3的样品在天津大学李志青教授实验室溅镀,在台湾交通大学林志忠教授实验室进行低温电性测量
有趣的事发生在1984年,当ES专著的英文版问世之时。在英文版的序言中,ES两人写道,当年撰写俄文版时,我们是如此的“胆怯”,但经过了这些年(ES理论发表之后的约10年间),有好些同行在理论和实验两方面,做了许多延续研究和扩展,获得了极多的成果与推进,因此我们现在觉得“义不容辞”,有必要在英文版中再加写一章,提及他们的贡献,讨论能隙、杂质带结构和跃迁导电的(计算机仿真)问题。——审视电子关联在不同材料中的作用强弱差异,莫特和ES的理论预测都正确,只是适用范围(包括材料特性、掺杂程度、温度区间等)不同1)。
至此,ES两人想必自认终于吐了一口郁闷之气,公开演出了一出复仇记!但可惜的是,能读出这篇序言之“微言大义”的读者,可能人数非常有限,因为专业著作的读者,难免只是小众而已2)。
[注]
1)变程跃迁导电是一个费米能级以下的电子与声子碰撞后获得能量,跃迁到一个费米能级以上未填满杂质的能阶。因此对一个给定的掺杂半导体而言,当温度稍高时,声子的热能kBT(kB为玻尔兹曼常数)若足以克服软能隙的大小,则电子的跃迁不受软能隙的影响(这时,电子感受不到软能隙的存在),电阻率的温度变化就遵循莫特的理论预测,如图1。反之,当温度逐渐降低,电子从声子获得的热能kBT不足以克服软能隙的大小时,电阻率的温度变化就遵循ES的理论预测,如图3。关于莫特及ES变程跃迁导电的进一步物理图像,将在本文的续篇《对垒半世纪:颗粒跃迁导电vs变程跃迁导电》中简洁推导与说明。
2)ES两人因对无序系统导电特性的理论研究获得了1986年Landau Prize,这是一项由苏联科学院颁发给在理论物理领域做出杰出贡献的最高荣誉奖项。2019年,ES和Elihu Abrahams三人,因相同理由——对无序材料和跃迁导电的研究——共同获得了由美国物理学会颁发的凝聚态物理领域最高奖项:Oliver E. Buckley Condensed Matter Prize。
《物理》在淘宝店和微店上线,扫码即可购买过刊和现刊。