|作者: 吴詠时(犹他大学物理与天文学系)
本文选自《物理》2021年第9期
19世纪90年代放射性的发现,特别是放射线的巨大穿透能力,已经预示了比化学能更高的能量尺度。1900年世纪之交,开尔文爵士谈到了古典物理学地平线上的两朵乌云,它们给20世纪前30年的物理学带来了相对论和量子论的狂风骤雨。然而无人在那个时候意识到,放射性的发现其实才是定义整个20世纪物理学的隐藏在地平线边缘的热带风暴;风暴过后物理学进入一个新时代,物质结构及其相互作用动力学的微观尺度,在短短的不到一百年内又推进了近一百亿倍。20世纪的第一个十年里,就已发现放射性物质其实发射出三种射线,用前三个希腊字母,阿尔法、贝塔和伽马来命名。后来知道阿尔法射线由氦的原子核组成,贝塔射线由电子或其反粒子(正电子)组成,而伽马射线是极高频率的电磁波(即光子)组成。这三种射线都是在原子核内的物理过程产生的,而原子核的大小比原子要小十万倍,所以说放射性的发现开启了物理学下一个未知领域的新征程。更为有趣而绝非巧合的是,放射性的这三种射线恰好对应着自然界的三种基本相互作用或三种基本的力:阿尔法射线对应的是强(相互作用)力,把原子核中的质子和中子束缚在一起的力(也叫做核力)是它的一种表现;贝塔射线对应于弱(相互作用)力,它是导致原子核发射贝塔射线(弱衰变)的力;伽马射线就对应于熟知的电磁(相互作用)力。这三种相互作用力和从牛顿时代我们就熟知的引力,合称物理学中的四大基本(相互作用)力。电磁相互作用是麦克斯韦理论的对象。电磁力和引力都是长程相互作用,在我们的日常生活中就可以观察到。而强力和弱力是所谓的短程力,它的作用力程限于原子核大小的尺度。在20世纪之前,人类不知道这两种力的存在。它们是20世纪亚原子新物理学的研究对象。
杨—米尔斯的规范场理论文章,发表于1954年。当时正是粒子物理实验蓬勃发展的初期,各种加速器和新型的探测器飞速发展,陆续投入运行,开启了粒子物理(又叫高能物理)的黄金时代。大量有关新粒子发现的实验数据和结果层出不穷,激动人心。那时研究粒子物理的理论家,就是在研究分析有关新粒子的实验数据,从中提炼出新粒子的性质、新的分类模式等等,并提出解释实验数据的理论新观念,发现实验数据中可能的新问题,提出新的可能的实验来检验理论上的新观点等等。一句话,当时的粒子理论学家,都是围绕新粒子的现象学(即有关新粒子的前沿实验数据和结果)开展工作。杨先生当然也不例外。当时他的主要精力也花在这些方面,并已成为粒子物理现象学前沿的一位青年专家。到1954年,他已在美国普林斯顿的高等研究院工作了5年。那年夏天,他去纽约长岛布鲁克海文国家实验室(美国当时的加速器中心之一)访问。在那里,他重新捡起一个在芝加哥大学读研期间思考过而没有成功的问题,就是能否推广电磁场的麦克斯韦理论的问题。当年他开始思考这个问题,也许是好奇心在驱使。但是到此时在布鲁克海文,他已精通但不满意新粒子现象学的研究了,他越发感到了这个问题的重要性和迫切性1):现在已经发现了不少新粒子,未来估计还会发现更多的新粒子。这样,新粒子之间的相互作用,特别是它们之间的新型未知的强力和弱力,可能会变成理论研究的中心问题。而新粒子一多,它们的动力学运动方程(或者推导运动方程的最小作用量原理中的作用量)就必然包含许多项,会变得极其复杂。所以,理论上我们需要一个新的原则去写新粒子的新的运动方程(或者作用量)。这在当时是一个相当超前的、思路与众不同的问题。也许不少习惯于现象学思维的人可能从来没有想过这个问题。或者偶尔想过但会认为,当时缺乏新粒子相互作用的实验数据和结果,这个问题不具有解决的实验基础和理论基础,应该在未来积累了相当数量的实验数据和实验结果后才提出问题和解决问题。但是,就在那个夏天,和同在一个办公室的米尔斯合作讨论,通过理性的思维,没有依赖实验的数据,杨先生就在数学上发明了一个新的方法,从理论上解答了这个问题。这就是非阿贝尔规范场理论和规范原理文章的由来。
要寻找支配新相互作用动力学的基础原则,突破口在哪里?借鉴历史,借鉴推广一百年前的麦克斯韦电磁理论,应该是一个好的自然的想法。但即便想到这里,前进的方向也不是清晰的、唯一的。也许需要先想一想什么是麦克斯韦理论的实质或精华。这个问题的答案在历史上、在教科书中也不是唯一的。
最迟20世纪初以来,几乎所有电磁理论或电动力学的教科书,就是直接从关于电场强度和磁场强度(统称电磁场强)的四个(包含一阶时空偏导数的)麦克斯韦方程出发。所谓的标量势ϕ 和矢量势,统称电磁势Aμ(μ=0,1,2,3是时空坐标的指标;
都是在后面求解麦克斯韦方程时为了方便而引入的:
和
。(本文记号取光速c=1。) 好处是这里的电磁场强和电磁势的关系式已经使得麦克斯韦方程组中两个(不包含电荷和电流)的方程自动满足无需再解:
,
。另一方面,给定电磁场强,电磁势就不是唯一确定的,可以做如下的规范变换:
其中 f = f (x ) 是时空坐标的任意函数,它保持电磁场强不变:,
。此外电荷和电流也是在规范变换下不变,所以,麦克斯韦方程组不变。这代表了一种广为流行的看法:麦克斯韦理论就是麦克斯韦方程组。因为只有电磁场强(而非电磁势)出现在麦克斯韦方程组中,所以电磁场强是基本量,电磁势是在求解方程时才引入的辅助量;电磁势的规范变换,看来不具有基本的重要性。
可是,这不是麦克斯韦原始文章和他本人一贯持有的观点。早年麦克斯韦为完整建立电磁场理论,写了三篇文章。其第一篇就引入了矢量势,并在电磁感应(即没有电荷)的情形下写出了电场强度等于矢量势的时间导数的方程,以此作为他对法拉第关于电磁感应实验的直觉的数学表达。通常认为关键性的麦克斯韦位移电流是在第二篇文章中引入的。他在第三篇文章中提出了电磁场(而非分别的电场和磁场)的统一观念,从矢量势和标量势作为基本量出发,用电磁场能量的表达式作为哈密顿量,从变分原理推导出完整的麦克斯韦方程组。特别是在写出电荷和电流与电磁场相互作用的哈密顿量时,必须明显用到电磁势!在这个理论体系中,电磁势的规范不变性就有基本的重要性,尽管它们不进入运动方程——麦克斯韦方程组。但是这里有一个令人困惑之处:不知该怎么解释电磁势规范变换的特定形式和规范不变性的来源。如果采用前面一段的观点,这个困惑就不存在了。
在经典电磁理论中,这两种观点似乎各有千秋。从概念体系的简单性来看,似乎第一种观点还多点好处。但是量子力学出来以后就不同了。在量子理论中,电子的波函数ψ(x)可取复数值,其中x是时空点的坐标。因为只有波函数模的平方代表几率密度,我们可以对电子波函数做以下的位相变换:
其中e是电荷,ℏ是普朗克常数,α 是个实的角度参数(0≤α<2π)。在没有任何相互作用的情况下,这是自由电子的一个对称性变换,它保持系统的作用量不变,从而导致电荷守恒定律。数学上,当参数α跑遍所有可能的值,这些变换形成一个群,叫做U (1)群。在量子场论中,每一个时空点上有一个希尔伯特空间,上式中的参数α应该换为时空点的任意实值函数f (x ):
这样的以时空函数作为参数的变换,就是电子场(或波函数)的(局域)规范变换。
按照定域相互作用原理,电子场有电磁相互作用的理论也应当在电子场的规范变换(2)下不变。但是因为场的时空偏导数不满足和场同样的变换,多出了一个附加项:
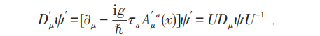
因而作用量或运动方程中有含电子场的(时空)偏导数因子的项,在规范变换(2)下就不再是不变的(或协变的)。这个问题可以通过以下的办法来解决:第一步,引入一个新的规范势Aμ(x)以定义协变偏导数算子,即
第二步,处处用协变导数Dμ替代普通导数∂μ,
第三步,要求规范势的规范变换规则就是麦克斯韦理论中的规范变换(1),这就保证了电子场的协变导数在电子场规范变换(2)下是协变的,亦即协变导数像场一样变换:
这里。第二步的规则(4)就是量子力学中引入电子与电磁势耦合(即相互作用)的“最小耦合替代规则”。
由此可见,经典的麦克斯韦理论中电磁势的规范变换和规范不变性其实来源于量子理论,即电子(或任何带电粒子)的波函数或者场的(局域)位相变换不变性!后者又是与量子理论中的电荷守恒定律密切相关的深刻的对称性!杨先生就是抓住了麦克斯韦理论是一个规范场理论的实质,要在对称性和规范场理论的水平上推广麦克斯韦理论。
在电磁理论中规范群是U (1)群;交换两次规范变换的次序,并不改变结果,这属于可交换群,又叫阿贝尔群。杨—米尔斯所做的推广就是把规范变换群推广到非阿贝尔(即不可交换的)群。考虑最简单的非阿贝尔群SU (2)。一个简单的物理例子,就是核子(组成原子核的粒子),即质子(氢原子核)和中子。它们电荷不同但质量接近,可以考虑为同一核子的两种不同内部状态。这很像电子的自旋向上和自旋向下的两个态,故叫做核子的同位旋态。数学上则用二分量(列向量)波函数来描写,很像一个量子位(qubit)的量子态:
核子的对称性变换就是一个2×2的么正矩阵U作用在其二分量波函数上:UU†=1。固定波函数的一个整体位相,我们要求此么正矩阵的行列式为1:det(U )=1。故此对称性变换群就是SU(2)群。和自旋1/2的情形类似,用指数形式来写就是
其中αa(a=1,2,3)是三个角度参数,τa=σa/2,而σa是著名的泡利矩阵:
把参数αa 都变成时空点的函数,我们就得到核子场的规范变换:
(下面将见到,实参数g 就是和规范场的耦合常数。)
图1 杨先生和Mills(Yang—Mills理论)
让我们通过定义协变导数而引入SU(2)规范场:
其中是SU(2)规范场的势,a=1,2,3是群(的李代数)的指标。指标a的重复就意味着对该指标求和。然后我们要求规范势的规范变换规则是
不难验证,核子场的协变导数在规范变换下确实是像核子场一样变换:
有了这个结果,我们就可以放心地对自由核子场的作用量(或者运动方程)应用“最小耦合替代规则”,
从而得到核子和SU(2)规范场的耦合或相互作用时的作用量(或运动方程)。替代后的结果保证是在规范变换下不变或者协变。
到目前为止,一切看来顺利。杨先生说过,他在芝加哥大学读研时就拿到了这些结果。但是下一步卡壳了,像电磁场那样定义规范场强,是不行的:由于矩阵乘积的不可交换性,这样定义的场强在规范变换下没有简洁的变换规律。1954年夏天在布鲁克海文,这个问题得到了解决:在这个定义方程的右边,加上规范势的二次项:
这里是SU(2)群的结构常数:
。在规范变换下,如此定义的规范场强的规范变换是简洁的、协变的:
这样,麦克斯韦电磁场的作用量形式上就很容易地推广成杨—米尔斯规范场的作用量:
它在洛伦兹变换和SU(2)规范变换下是不变量。对做变分,即得杨—米尔斯场方程,是规范势的二阶非线性偏微分方程;不像麦克斯韦方程,它明显包含规范势。
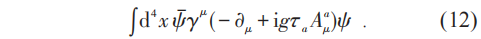
标准模型中的夸克和轻子都是自旋1/2的粒子,满足狄拉克方程。自由的无质量的自旋1/2粒子的狄拉克作用量具有如下的形式:
(其中γ μ是4个狄拉克矩阵,其形式对我们的讨论不重要。)在此作用量中,运用“最小耦合替代规则”(9)后得到(已取 ℏ = 1):
其中的第二项就是描写自旋1/2的粒子和规范场/粒子的相互作用的作用量。
上面讲的杨—米尔斯规范场理论,明显具有普适性。容易推广到许多别的对称性,只要规范群元素有连续的参数,其取值的范围是有限的。麦克斯韦理论可看成一个特例。而杨—米尔斯规范场理论提供了众多的可能性供我们选择。关键在于,适当选择描写规范对称性的连续群,以及粒子规范变换的具体形式,即方程(6)或(12)中的矩阵τa的选择。注意到这种推广的可能性,杨和米尔斯1954年的原始文章的摘要中,就使用了“同位旋规范原理”的术语。在前言和正文中将它与麦克斯韦理论的规范不变性作类比,又在正文中明确提出“所有粒子的相互作用都满足规范不变性”的可能性。这就是文献中首次提出非阿贝尔规范场的规范原理。杨先生有过一个对规范原理的基本物理思想的精辟总结:对称性支配相互作用。这是一个和爱因斯坦相对性原理并驾齐驱的物理学基本原理。粒子物理学的标准模型,其基本原理可以概括为相对性原理、规范原理、量子场论和对称性破缺。
尽管一开始受到质疑,但在不到四分之一世纪的时间里,在粒子物理的标准模型建立的过程中,规范原理不仅起到了指路灯或路线图的指引作用,而且其本身也得到广泛的承认和实验验证,成为标准模型的首要奠基性原理。
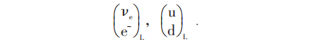
本节中我们粗线条地描绘杨—米尔斯规范理论是如何为标准模型提供基础的。我们日常看到的物质由原子组成,而原子中有电子e-和核子(即质子p和中子n)。核子内有两种质量最轻的夸克(上夸克u和下夸克d)。在原子核的弱衰变中,和电子一起连带产生的还有电子中微子νe。这四种粒子中,电子和电子中微子(及其反粒子)又叫做轻子。除了可以忽略的引力外,电子e-有电磁作用和弱作用,电子中微子νe有弱作用,u和d夸克除电磁作用和弱作用外,还有三种“色荷”产生强作用力。用杨—米尔斯规范理论来描写:电磁作用是U(1)规范场,弱作用是SU(2)规范场,强作用(“色”力)是SU(3)规范场。我们分别讨论他们导致的物理效应。
电磁作用有一个规范势,在量子场论中相应于光子γ。弱作用有三个规范势,相应于三个中间玻色子,记为W±和W0。(这里我们暂时忽略了对称破缺带来的光子和W0粒子的混合。)规范势是时空中的矢量场,量子场论中相应于自旋为1的粒子。下面我们将看到,物理中这些规范粒子的作用是传递夸克和轻子之间的电磁和弱作用力。
对于弱作用,由于左右镜像不对称,只有左手性的夸克和轻子有弱作用,右手性的没有。弱作用的规范群是SU(2)作用于左手性的夸克和轻子(加下标L)的二重态:
在自由粒子的狄拉克作用量(11)中,使用“最小耦合替代规则”(9)后,就得到多出来含有规范势的一项:对左手性粒子的电磁和弱作用,这项是
(Q 是电荷对角矩阵)。它给出了左手夸克和轻子与规范场粒子的耦合。在量子场论微扰论的最低阶,就对应于图2中的发射/吸收顶点费曼图(a)、(b)和(c)等。把两个顶点图中代表同一规范粒子的波浪线连起来,即得到两个夸克或轻子弱作用的费曼图。例如,图3给出d夸克的弱衰变过程。中子的夸克结构是(udd),质子是(uud);所以,图3可以用来计算中子的贝塔衰变。图3就显示了规范(场)粒子是弱力的中介粒子,类似于光子是电磁力的中介粒子。图3中波浪线代表的规范粒子的传播子可由(10)式代入杨—米尔斯作用量(11)后
的二次项经过适当处理而得。
图3 弱衰变的费曼图
在杨—米尔斯的规范场作用量(12)中,弱规范粒子W玻色子是没有质量项的,因为它会破坏规范不变性。在量子场论的微扰论中,这就意味着弱力应该像电磁力一样是长程力。但是,实验上很早就显示弱力是短程力,相应的中介粒子质量应该很重。这个矛盾在很长的时间内使很多人不相信杨—米尔斯理论可以用于弱作用。后来在1960年代中后期,这个问题,即如何让杨—米尔斯规范粒子获得质量的问题,才通过对称性破缺的观念予以解决。随后弱作用的标准模型于1967年提出,但直到1979年才通过几大加速器关键性实验的验证。
电磁作用和强作用都遵从左右对称性,所以左手和右手夸克和轻子的电磁力(或者左、右手夸克的强力)是一样的。电磁作用已知是阿贝尔理论,强作用是非阿贝尔的SU(3)规范理论,轻子没有强作用,只有夸克有强作用。1960年代末期,大家还是觉得不知道如何用规范理论来描写强作用。因为强力也是短程力,如果要像弱作用那样把强规范力变成短程力,那强力的(规范)对称性也要有自发破缺。但是一时也找不到这样的强力理论可以和研究得相当深入的强子现象学符合。(所谓强子是指像核子或介子那样的有强作用的夸克复合粒子。)强子现象学一个重要的定性结论是:不同种类夸克造成的复合粒子,其质量差别主要来源于不同种类夸克之间的质量差。这看来建议强作用规范群与弱作用的SU(2)没有关系,也和对称性自发破缺无关。1970年代初期,量子场论的微扰论一阶量子修正的计算结果表明,纯正的(即没有自发破缺的)非阿贝尔规范场的杨—米尔斯作用量(12)导致一个以前没有料到的“渐近自由”效应:规范耦合“常数”g 依赖于物理过程的能量尺度而跑动;其变化的趋势和原来熟悉的量子电动力学恰好相反:能量越大,耦合越弱。但是这个趋势恰好符合当时加速器高能散射实验中观察到的一个“意外的”趋势:参与散射的夸克能量越高,其强力的作用越弱,从而越像自由粒子。于是粒子物理学界很快达成共识:夸克的强力由SU(3)规范群的杨—米尔斯理论(12)描写,其规范群是一个SU(3)群,相应的是夸克的与弱作用无关的三种“颜色”自由度。之所以叫“颜色”这个名字,只是因为夸克只有三种这样的基本色荷,就像颜色只有三种基本色一样。(这种自由度在之前的一些实验中神秘地出现过:有一些涉及强子的实验结果,总是比不考虑夸克“颜色”自由度的理论结果大3倍。)SU(3)群有8个参数,相应地有8个传递夸克色力的规范粒子,叫做胶子。单个胶子,和夸克一样,本身也是带颜色的。故而这个杨—米尔斯SU(3)规范理论,在文献中又叫做量子色动力学。在日常生活的能量尺度,看不到带色的单个夸克和胶子。理论上,这可从渐近自由性质的反面来定性地理解:能量越低,距离越大,色荷耦合越强大,因而容易造成无色的低能量复合态。要想从这样的复合粒子中把带色的夸克或胶子单独分开,那需要极大的能量。这个现象叫做“色禁闭”。它定性地解决了强力(包括核力)的短程性和饱和性。1980年代中期开始,直到1990年代,杨—米尔斯的SU(3)规范理论得到加速器实验的完美验证。
1970年代末,基于U(1)×SU(2)×SU(3)规范理论的标准模型开始得到公认。直到2012年,弱作用规范理论的对称性破缺机制所预言的希格斯粒子,终于被实验发现了。迄今为止所有的实验,都还没有发现任何超出标准模型的确凿证据。20世纪中叶开始的向物理世界的极小尺度进军的宏伟大业,终于取得了美妙的近乎完美的成功。理论上开启非阿贝尔规范理论的大门,为世纪级的粒子物理标准模型奠基的杨—米尔斯规范场理论和规范原理,你说“牛不牛”?
我依然记得1957年诺贝尔物理学奖发布时全球华人的激动场面。虽然那时我并不懂得“宇称不守恒”这个名词的物理意义,但是它启蒙了我对物理学的兴趣。1970年代,杨先生来中国的多次访问和学术报告,让我和同一代的年青中国学人开始接触了解世界物理学的前沿。后来1981年我到纽约石溪大学理论物理研究所(现杨振宁理论物理研究所)的访问,以及那以后和杨先生的交往,有机会直接聆听杨先生的教诲和教导,在学术上极大地影响了我的专业方向和学术生涯。值此庆贺杨先生百岁华诞之际,谨以此文恭祝杨先生生日快乐,长寿健康,再约茶寿!
《物理》在淘宝店和微店上线,扫码即可购买过刊和现刊。