张天蓉
1963—1964年,在长期供职于欧洲核子中心(CERN)后,约翰·贝尔有机会到美国斯坦福大学访问一年。北加州田园式的风光,四季宜人的气候,附近农庄的葡萄美酒,离得不远的黄金海滩,加之斯坦福大学既宁静深沉又宽松开放的学术气氛,孕育了贝尔的灵感,启发了他对EPR佯谬及隐变量理论的深刻思考。
贝尔开始认真考察量子力学能否用局域的隐变量理论来解释。贝尔认为,量子论表面上获得了成功,但其理论基础仍然可能是片面的,如同瞎子摸象,管中窥豹,没有看到更全面、更深层的东西。在量子论的深处,可能有一个隐身人在作怪:那就是隐变量。
根据爱因斯坦的想法,在EPR论文中提到的,从一个大粒子分裂成的两个粒子的自旋状态,虽然看起来是随机的,但却可能是在两粒子分离的那一刻(或是之前)就决定好了的。打个比喻说,如同两个同卵双胞胎,他们的基因情况早就决定了,无论后来他(她)们相距多远,总在某些特定的情形下,会作出一些惊人相似的选择,使人误认为他们有第六感,能超距离地心灵相通。但是实际上,是有一串遗传指令隐藏在他们的基因中,暗地里指挥着他们的行动,一旦我们找出了这些指令,双胞胎的“心灵感应”就不再神秘,不再需要用所谓“非局域”的超距作用来解释了。
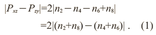
尽管粒子自旋是个很深奥的量子力学概念,并无经典对应物,但粗略地说,我们可以用三维空间的一段矢量来表示粒子的自旋。比如,对EPR中的纠缠粒子对A和B来说,它们的自旋矢量总是处于相反的方向,如图1中所示的红色矢量和蓝色矢量。这两个红蓝自旋矢量,在三维空间中可以随机地取各种方向,假设这种随机性来自于某个未知的隐变量L。为简单起见,我们假设L 只有8 个离散的数值,L=1,2,3,4,5,6,7,8,分别对应于三维空间直角坐标系的8个卦限。
图1 8 个卦限中纠缠态粒子A和B的自旋
由于A,B 的纠缠,图中的红色矢量和蓝色矢量总是应该指向相反的方向,也就是说,红色矢量的方向确定了,蓝色矢量的方向也就确定了。因此,我们只需要考虑A粒子的自旋矢量(简称红矢)的空间取向就够了。假设红矢出现在8个卦限中的概率分别为n1,n2…n8。由于红矢的位置在8 个卦限中必居其一,因此我们有:n1+n2+n3+n4+n5+n6+n7+n8=1。
现在,我们来描述A,B 的自旋矢量在三维空间可能出现的8种情况。表1左半部分列出了在这些可能情况下,自旋矢量在x,y,z方向的符号。
既然AB二粒子系统形成了互为关联的纠缠态,我们便定义几个关联函数,用数学语言来更准确地描述这种关联的程度。比如,我们可以如此来定义Pxx(L):观察x 方向红矢的符号和x 方向蓝矢的符号,如果两个符号相同,函数Pxx(L)的值就为+1,否则,函数Pxx(L)的值就为-1。我们从表1 列出的红矢和蓝矢的符号不难看出,Pxx(L)的8个数值都是-1。然后,我们使用类似的原则,可以定义其他的关联函数。比如说,Pxz(L),是x 方向红矢符号与z 方向蓝矢符号的关联,等等。在表1的右半部分,我们列出了Pxx(L),Pxz(L),Pzy(L)和Pxy(L)的数值。
现在,贝尔继续按照经典的思维方式想下去:一个大粒子分裂成两个粒子A和B,A,B的自旋看起来是随机的,但实际上是按照上面的列表互相关联着的。然后,它们朝相反方向飞去。经过一段时间之后,两个粒子A和B分别被两方的观测仪器俘获了。两方的观测者分别对A和B的自旋方向进行测量。因为L 是不可知的隐变量,因此,只有关联函数的平均值才有意义。根据表1中的数值,我们不难预测这几个关联函数被测量到的平均值:
Pxx=-n1-n2-n3-n4-n5-n6-n7-n8=-1,
Pxz=-n1+n2+n3-n4+n5-n6-n7+n8,
Pzy=-n1-n2+n3+n4+n5+n6-n7-n8,
Pxy=-n1+n2-n3+n4-n5+n6-n7+n8。
让我们直观地理解一下,这几个关联函数是什么意思呢?可以这样来看:Pxx 代表的是A 和B 都从x方向观测时,它们的符号的平均相关性。因为纠缠的原因,A,B的符号总是相反的,所以都从x方向观察时,它们的平均相关性是-1,即反相关。类似地,Pxz 代表的是从x 方向观测A 且从z 方向观测B时,它们符号的平均相关性。如果自旋在每个方向的概率都一样,即n1=n2=…n8=1/8的话,我们会得到Pxz为0。对Pzy和Pxy,也得到相同的结论。换言之,当概率均等时,如在相同方向测量A,B 的自旋,应该反相关;而如果在不同方向测量A和B 的自旋,平均来说应该不相关。
我们可以用一个通俗的比喻来加深对上文的理解:两个双胞胎A和B,出生后从未见过面,互相完全不知对方情况。一天,两人分别来到纽约和北京。假设双胞胎诚实不撒谎。当纽约和北京的警察问他们同样的问题:“你是哥哥吗?”,如果A回答“是”,B一定是回答“不是”,反之亦然。对这个问题,他们不需要互通消息,回答一定是反相关的,因为问题的答案是出生时就因出生的顺序而决定了的(这相仿于Pxx=-1 的情况)。但是,如果纽约警察问A:“两人中你更高吗?”,而北京警察问B:“你跑得更快吗?”,按照我们的经典常识,两人出生后互不相识,从未比较过彼此的高度,也从未一起赛跑。所以,他们的回答就应该不会相关了(这相仿于Pxz=0 的情况)。
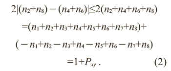
现在再回到简单的数学:我们在Pxz,Pzy和Pxy的表达式上做点小运算。首先,将Pxz和Pzy相减再取绝对值后,可以得到:
然后,利用有关绝对值的不等式,我们有:
这样,从(1)式和(2)式,我们得到一个不等式:
这就是著名的贝尔不等式。上述不等式是贝尔应用经典概率的思维方法得出的结论。因此,它可以说是在经典的框架下,这3个关联函数之间要满足的一种约束条件。也就是说,如果大粒子分裂成的两个小粒子A和B 是经典粒子的话,它们便必须遵循经典统计的规律,必须满足由经典概率方法得到的贝尔不等式!
但是,如果我们考虑量子力学,将两个小粒子A和B 当成是量子力学中的粒子,情况又将如何呢?它们的行为当然只有两种情形:遵循贝尔不等式,或者不遵循贝尔不等式。如果遵循贝尔不等式的话,那就好了,万事大吉!爱因斯坦的预言实现了。量子力学中的粒子也应该是满足“局域实在论”的,虽然在微观世界中的量子有时候表现得行为诡异,那只不过是因为有某些我们尚且不知道的隐变量而已,那不用着急,将来我们总能挖掘出这些隐变量来。第二种情况,那就是量子现象不遵循贝尔不等式,也就是说,不能简单地用隐变量的理论来解释量子现象。贝尔用他的“贝尔定理”来表述这种情形:“任何局域隐变量理论都不可能重现量子力学的全部统计性预言”。如果是这样的话,世界好像有点乱套!不过没关系,贝尔说,重要的是,这几个关联函数都是在实验室中可以测量到的物理量。这样,我的不等式就为判定EPR和量子力学谁对谁错提供了一个实验验证的方法。那好,理论物理学家们说,我们就暂时停止毫无意义的、纯理论的辩论,让将来的实验结果来说话吧。