|作者:范洪义 (中国科学技术大学)
本文选自《物理》2020年第11期
摘要 量子的引入最先是普朗克在1900年为理论“凑合”黑体辐射实验曲线的无奈之举(曲线拟合),然此举如招幡令旗,呼风唤雨,聚溪成流,乘奔御风,浩浩汤汤,终成今日量子流行的漫山遍野之势,是几个能人的集灵思积广益而相辅相成,还是时势造英雄,还是两者兼而有之!普朗克以能量分离的观点看待微观世界,是他在理论推导拟合实验结果逐渐形成的信仰。物理学家狄拉克指出,伟大的物理学家如牛顿和爱因斯坦是靠基本信仰“从上到下”推导出一些大自然的定律的。狄拉克自己的信仰是相信方程的美有时比实验结果更重要,因为实验会有误差。量子的时髦,自然引来众说纷纭,惟在量子园地里“种过树”的人才可能有较深刻的体会。
作者历经50多年的理论探索,首创了有序算符内的积分理论,对发展量子力学数理基础——狄拉克的符号法略有建树,既能抑制爱因斯坦认为量子力学数学不够完美的抱怨,为爱因斯坦的量子纠缠思想提供纠缠态表象,也从数学上将量子力学几率假说落实到有序算符的正态分布,从而推陈出新、别开生面地丰富量子力学、量子统计力学和量子光学的内容。
关键词 狄拉克的信仰,量子力学符号法,有序算符内的积分理论
我们先简要回顾一下继普朗克提出量子概念以后的几件大事,再引出量子力学的语言——狄拉克符号。
科学从某种意义上来说是为了改善人们的思考方式。量子力学普朗克常数的发现要求我们在发射和吸收光时要以能量分离的观点看待微观世界,这已经是金科玉律了[1]。在此基础上,玻尔提出了原子结构模型的两个假定:
(1)一个原子系统可以永久处于一系列分立的“定态”轨道中的一条而不发生辐射。每一条轨道有确定的轨道角动量;
(2)两个定态之间的跃迁发射或吸收光子。
玻尔将库仑定理和牛顿力学结合解释了氢原子谱线稳定轨道。他提出角动量量子化条件:,(m代表振子质量)。按照这一模型,电子环绕原子核作轨道运动,外层轨道比内层轨道可以容纳更多的电子;较外层轨道的电子数决定了元素的化学性质。如果外层轨道的电子落入内层轨道,将释放出一个带固定能量的光子。此观点获弗兰克—赫兹实验支持(原子和电子的碰撞失去的能量有分立的数值)。定态跃迁发射高频光子需要吸收较多的能量,这就是为什么炼钢时,随着钢温度升高,颜色从暗红—黄—白—蓝变化[2]。
另一位支持普朗克量子假说的是爱因斯坦,他进一步认为:不但发射和吸收光是量子化的,光的能量在空间也不是连续分布的,而是由空间各点的不可再分割的能量子组成。并在1905年,提出了光电效应的光量子解释,人们开始意识到光波同时具有波和粒子的双重性质[3]。1924年,法国物理学家德布罗意提出“物质波”假说,认为和光一样,一切物质都具有波粒二象性。根据这一假说,电子也会具有干涉和衍射等波动现象,这被后来的电子衍射试验所证实[4]。事有凑巧,中国古代文学作品里恰有佳句能区分光的经典描述和量子描述,如唐代张若虚写的《春江花月夜》中的两句:“空里流霜不觉飞”,文人将它译为:月色如霜所以霜飞无从觉察。物理人觉得这是光的经典描述。此刻我们考量“飞”,无需把它们看作是光子;而对于“月照花林皆似霰”,文人将其译为月光照射着开遍鲜花的树林好像细密的雪珠在闪烁。物理人觉得这是光的量子描述,即光子。
波粒二象性可以由电子在晶体上的衍射得以验证,可是又带来新问题:诡异的电子双缝干涉实验结果表明,如果仅仅放了一个观测电子轨迹的设备,等电子发射完之后再去看,看到的是干涉条纹;不管你如何挖空心思,在发射的同时观察,只要你想了解粒子的径迹,干涉图样就看不到。是天机不可泄露吗?
爱因斯坦写道:“如果月亮在其环绕地球运行的永恒运动中被赋予自我意识,它就会完全相信,它是按照自己的决定在其轨道上一直运行下去。这样,会有一个具有更高的洞察力和更完备智力的存在物,注视着人和人的所作所为,嘲笑人以为他按照自己的自由意志而行动的错觉。”可见,爱因斯坦认为注视者是不可或缺的。
玻尔电子轨道的“软肋”是电子在圆轨道上运行要辐射能量而“跌落”,为了克服此困难,分别产生了海森伯矩阵力学[5]和薛定谔波动力学[6]。
在海森伯眼里,不存在电子轨道,可观测量是光的跃迁频率和谱线强度。在波—粒子两象性的启发下,海森伯将原子外层电子的运动比拟为一个振子,其周期运动有一定的频率,振子坐标q(t)由两个指标(α,n)的符号替换,即用傅里叶变换给出辐射的信息,鉴于光谱线的确定总是联系着双重频率,可以排成一个表,表中的每一个元素都有两个指标。而相应的动力学量,如电子的坐标q,动量p,也应该写成表格的形式。但这样一来,动量p就不再是普通数了,不再满足 qp = pq 。如此做来,不仅描写电子运动的偶极振幅的傅里叶分量的绝对值平方决定相应幅射的强度(谱线强度),而且振幅本身的位相也是有观察意义的。海森伯再运用玻尔的对应原理,用定态能量差决定的跃迁频率来改写经典理论中电矩的傅里叶展开式,把玻尔量子化条件改写为q(n,α)与p(n,α)的对易关系,在此基础上海森伯计算出了频率和振幅的二维数集,即谱线的正确频率和相对强度值,符合实验测定的一大堆光谱值。
海森伯着眼于和光谱线联系的直接可观测的频率与振幅来探讨原子内部电子运动的力学量表示,从而找到了能解释原子光谱、确定原子稳态的量子条件,接下来的问题是怎样确定什么是可观察的、而什么又不是的呢?海森伯的同伴泡利说:“轨道不可观测这个论断是不对的。月球的轨道是可以观测的,所以海森伯的理论中少告诉了我们一些东西,它应该告诉我们什么是可观测的,而什么又不是。”
另一方面,海森伯的结果依赖于计算中的乘法不可对易,这令海森伯好生奇怪,当时他还不知道这就是矩阵运算,于是他把论文拿给著名物理学家玻恩,请教有没有发表价值。玻恩一眼就认出海森伯用来表示观察量的二维数集正是线性代数中的矩阵,量子力学于是出现了矩阵,也就是算符,一般而言,它们不可交换。玻恩将海森伯的量子化条件抽象为关于坐标和动量的不可交换:
这是量子化的标准形式。在玻恩去世后,他的墓碑(哥廷根城市公墓)上就刻了这个式子,但玻恩并没有和海森伯分享1932年的诺贝尔物理学奖,而是在1954年因给与波函数以几率假设才获奖。
正是玻恩慧眼认识到了海森伯的工作有重要意义,并和约当一起加以发扬,才使得海森伯最终成为量子力学创始人之一。海森伯应该感谢玻恩的知遇之恩。从此以后,海森伯的新理论就叫“矩阵力学”,它关注于可观察的量。
海森伯的贡献可小结如下:
(1)物理测量必然包含着观察者和被观察系统间的相互作用,用于测量的实体是辐射(如用光照射电子),这就由德布罗意关系支配了。所以测量的不确定性是波—粒两象性的必然。
(2)算符的不可交换决定了测量的不确定性,我们不能同时得到坐标和动量的精确值。
(3)如想同时看,则必是模糊的,不准确的。这与玻恩的几率假设吻合。
(4)普朗克假定光波的发射和吸收不是连续的观点在光谱的跃迁形成理论中得以支持。任何一个闪烁屏或盖格尔计数器都可以被用来说明这种不连续性的存在。量子跃迁发生的时间也因不确定性 ∆E∆t = h/(4π) 而不能明确给出。
波粒二象性所引导的另一思路是,既然是波,就应该有相应的方程。薛定谔在德拜先生的激励下,想到几何光学是波动光学的近似,经典力学是波动力学的近似,在德布罗意关系的基础上,仿照电磁波的指数形式,写下了描述动量为px 、能量为E的一束电子波的式子ψ(x,t)= Aexp[i(pxx - Et)/ћ],再用和
建立了波动方程
,其解ψ代表德布罗意波,冠名为波函数。薛定谔又想到原子光谱可能是与某种本征值问题有关系,用傅里叶展开的方法把微观系统中能态问题简化为确定的反映其本征基波和谐波的问题,计算氢原子的能级,薛定谔方程的解可以解释光谱的亮线问题,完全符合实验结果。这种做法允许波函数的叠加也可以是解。
薛定谔不久也意识到他的做法和海森伯的做法是殊途同归,各有千秋,薛定谔的做法处理波函数容易结合解数理方程,海森伯的做法处理算符容易结合李代数和矩阵。
波函数被玻恩解释为在 t 时刻找到电子在 x 处的几率,这样一来用电子云解释代替了定态轨道,不需要如玻尔那样硬性引入量子化条件,玻尔理论的困难云消烟散。
在薛定谔提出波动方程和玻恩给出波函数的几率解释后,海森伯扪心自问能否用薛定谔方程描述穿过威尔逊云室的电子,结果发现办不到。于是他想到了爱因斯坦的告诫,正是理论决定我们能够观察到的东西。那就意味着我们不应问“怎样才能表示云室中的轨迹?”而是应当问:“在自然界里,是否真的只有那些能用量子力学或波动方程(理论)表示的情况才会出现?”
海森伯接着写道:“围绕这个问题,我们立刻看到,云室中电子的径迹并不是具有明显位置和速度的一条无限细的线,实际上云室的径迹是一系列点,这些点是由水滴不太精确地确定的,而速度也同样不能太精确地被确定。因此我简单地提这样的问题,如果从‘只有能用量子力学的数学程式表示的那些情况,才能在自然界中找到’这样的基本原则出发,那么当我们想知道一个波包的速度同时又想知道它的位置时,所能获得的最佳精确度是怎样的呢?这是一个简单的数学问题,其结果便是测不准原理,看来它与实验相符。我们终于知道了怎样表示电子径迹这类现象。”
薛定谔方程刚问世后,海森伯加以抵制。反过来,薛定谔对海森伯的工作也不看好。所谓“学未至圆通,合己见则是,违己见则非。如以南方之舟,笑北方之车;以鹤头颈之长,憎恨凫胫之短。”是狄拉克把薛定谔叙述和海森伯叙述用数学统一起来。海森伯在1926年所说:“在量子论中出现的最大困难是有关语言运用问题。首先,我们在使用数学符号与用普通语言表达的概念相联系方面无先例可循;我们从一开始就知道的只是不能把日常的概念用到原子结构上”。于是Dirac符号应运而生[7]。
法国雕塑家罗丹说:“所谓大师就是这样的人,他们用自己的眼睛去看别人看过的东西,在别人司空见惯的东西上能发现出美来。”另有某人说:“天才唯一的要点,就是人人不能表现,或难于表现的,他能将其表现出来。”
狄拉克就是这么一位天才,初入道时曾对原子中电子的玻尔轨道有激情研究,为了理解在相互作用下玻尔轨道是如何形成的问题他苦苦工作了2—3年。直到他看了海森伯的文章后才意识到“我赖以出发的基本观念是错误的”。在海森伯的理论中,只有那些连接两个玻尔轨道的值(跃迁矩阵元)才会出现,这导致了坐标算符与动量算符不可以交换。受海森伯文章的启示,狄拉克领悟到不对易性是建立量子力学的关键,在悠闲散步时他突然想到了经典力学的泊松括号与量子对易括号的相似处,这深化和充实了海森伯的思想,狄拉克把他的发现写成文章,寄给海森伯征求意见,得到了他的赞赏。
1926年狄拉克被玻尔召到哥本哈根,针对量子力学缺乏能表现其本质的数学符号,他花了一年时间发明了由ket(右矢)—bra(左矢)符号组成的体系——符号法,狄拉克的符号法有平淡简洁的特点。牛顿曾说,“寻求自然事物的原因,不得超出真实和足以解释其现象者。”在另一场合,他又说:“自然界不做无用之事,若少做已经成功,多做便无用”。所以,新引入的符号若想有永垂不朽之效,必须平淡出于自然,无雕琢之痕迹,狄拉克用简洁的符号统一了海森伯的矩阵力学表述和薛定谔的波动力学表述。他以右矢代表列矩阵,左矢
代表行矩阵;内积
= 数,方矩阵简化为算符
,
,一个跃迁矩阵元记为
就形象地反映出初始状态
经过一个仪器(
作用)而变为输出状态
。狄拉克符号的功能是:
(1)系统状态的波函数看成是抽象空间中的态矢量,在
上的投影,即
,将ψ(x)的这一分解抽象出
,其集合构成坐标表象(但不是哲学意义的。在哲学范畴,表象是事物不在眼前时,人们在头脑中出现的关于事物的形象。从信息加工的角度来讲,表象是指当前不存在的物体或事件的一种知识表征,这种表征具有鲜明的形象性)。
算符用狄拉克符号被写成的形式,当 A = B 时,
称为纯态,而
称为混合态,量子力学里态和力学量的具体表述方式称为表象(representation),力学量的本征表象是指可以将算符用数来明确表示的“框架”。例如在坐标表象中,体系的状态是以坐标的函数(波函数)来描写的,力学量则是以作用在这种波函数上的运算(如微分运算)来表示。各种表示之间的等价相互变换则称之为表象变换,这些变换有的可以用幺正变换相联系,有的则不能。而有资格称为表象的是其必须有完备性。(除了纯态表象,我们指出还应该有混态表象,这极大地扩充了量子统计理论知识。) 在力学量“算符”的自身表象中,算符表现为普通数,例如坐标算符 X 在自身表象中表达为
。
(2)测量算符可以用对称的ket-bra表示,如测量粒子发现其在坐标 x 可以写为。
(3)从物理考虑,任意物理态的几率波的完整性要求
,狄拉克抽象出表象完备的简式
。
狄拉克领悟到波粒二象性在数学上体现的是表象变换。
波粒二象——既在某固定处,却又弥望皆是也。理想情况下,动量p值确定的波是平面波eipx ,弥散在空间中,所以其x值不定;当弥散的波收敛于一个点,那么一个经典意义下的有确定位置x的质点(好像一条无穷长的直线的x处停着一只蜜蜂),数学上怎样表达呢?天才的Dirac就发明δ -函数(Delta函数)来表示之。函数,其功能是当δ与其他函数相乘求积分时,可以只取这个函数在 x = 0 处的值进行计算。有了Delta函数,波粒二象性用数学表达为
,这是经典Fourier变化的一个重要公式,当代数学倘若还没有Delta函数,则举步维艰。介于δ(x)和eipx这两种理想情况之间的就是一个波包,它是若干个不同p值的平面波的叠加。
就是表象变换。可见波粒二象性数学上表现为表象变换。坐标本征态
(精确地测量坐标得x值)和动量本征态
(精确地测量动量得p值)都只是理想的态而不能实现。
符号法的引入符合爱因斯坦的研究信条:“人类的头脑必须独立地构思形式,然后我们才能在事物中找到形式。”
Dirac符号是外在的量子世界与Dirac本人的精神世界发生联系时所产生的一种特殊的感觉,他之所以有这种与众不同的感觉是由于他有工科知识的背景,具体地说是投影矢量空间的知识(或者张量的知识),这种特殊的感觉经过理性的抽象后倾吐出来,于是就有了态矢(bra和ket),这是Dirac的天才之处。因为一个好的符号不但能够简洁深刻地反映物理本质,把物理内容与数学符号有机相应,而且可以大量地节约人们思维的脑力。狄拉克说,在1930年的《量子力学原理》中写道:“……符号法,用抽象的方式直接地处理有根本重要意义的一些量……”,“但是符号法看来更能深入事物的本质,它可以使我们用简洁精练的方式来表达物理规律,很可能在将来当它变得更为人们所了解,而且它本身的特殊数学得到发展时,它将更多地被人们所采用”。但是,从1930年到1980年的半个世纪中,没有一篇真正直接地发展符号法的文献,以致于人们慢慢遗忘了狄拉克的这种期望。
狄拉克在晚年时说:“符号法是我的至爱, 拿什么来换都不换。”“它是永垂不朽的。”
量子力学的语言——狄拉克符号法有待发展
然而,Dirac符号的抽象之难于理解即便是爱因斯坦也未能幸免,他在给好朋友荷兰物理学家保尔·艾伦菲斯特的信中写道:“我对狄拉克感到头疼。就像走在令人眩晕的小径上,在这种天才和疯狂之间保持平衡是很可怕的。”
除了不接受量子力学的几率假设以外,爱因斯坦还曾对英费尔德说起,从美学的观点看来,量子力学是残缺不全的,不能令人满意。英费尔德认为爱因斯坦对自然界的美感和对科学理论的美感是交织在一起的。
这正如一位现代物理学家劳厄在《物理学史》中曾慨叹写道:“尽管Maxwell的理论具有内在的完美性,并和一切经验相符合,但它只能逐渐地被物理学家们接受。他的思想太不平常了,甚至像亥姆霍兹和玻尔兹曼这样有异常才能的人,为了理解它也花了几年的功夫。”
那么,一代又一代的量子力学学者为了理解符号法又花了多少功夫呢?他们真正理解了Dirac的符号法吗?
爱因斯坦说:“如果语言要能够导致理解,那么在符号和符号之间的关系中就必须要有些规则。同时,在符号和印象之间又必须要有固定的对应关系。”
在20世纪60年代我想到:
(1) 就像有了阿拉伯数字0,1,2,……9的意义,还需要加减乘除等运算规则使它发挥更大作用一样。就Dirac符号而言,还需要运算规则使之“灵动”起来。本人注意到了式子还没有在数学意义上实现牛顿—莱布尼茨积分。如果不经意地写下
更无人知道答案,因为从来就无人问津。于是对不对称的ket-bra积分就是一个新的研究课题。
(2) 既然经典力学的泊松括号与量子对易括号有相似处,那么如何直接从经典正则变换过渡到量子幺正变换?
诚如狄拉克所说,一个想法的创始人不是去发展这一想法的最合适人选,这是一个一般规则,因为他临事而惧,以至于阻止他以一个超脱的方法来观察问题。果然,发展Dirac符号之特殊数学的任务被中国人范洪义以发明有序算符内的积分理论(integration within ordered product of operators,IWOP)部分地完成了。
这个问题乍一看来似觉肤浅,但实际上是一个有基本重要性的课题。这是继17世纪牛顿—莱布尼茨发明微积分、18世纪泊松把积分推广到复平面,积分学对应于量子力学应该发展的一个新方向。如何使牛顿—莱布尼茨积分适用于对的积分是一个挑战。
是坐标本征态,坐标本征值 x → x/μ 是一种压缩变化,属于经典变换,如能把此积分做出就得到一个算符的显式,就实现了从经典到量子变换的过渡。注意到做这件事的困难是:这是一个对算符的积分,而这个算符的内涵可能又包含了一些不可对易的基本算符,那么这些基本算符是什么呢?另一问题是对于不可对易的对象的乘积积分(或求和)本身就含糊不清,由于乘积因子不可交换,积分是对前者先积呢还是对后者先积呢?经过多年摸索,作者终于用一种非传统的思路(非传统数学家式思维模式)找到了解决问题的捷径。
发明有序算符内的积分理论之灵感
在量子物理中,通向更深入的基本知识的道路是与最简洁的数学描述相联系的。Dirac曾指出:“理论物理学的发展中有一个相当普遍的原则,即人们应当让自己被引入数学提示的方向。让数学思想引导自己前进是可取的。”
为了深入发展Dirac符号法,使之“理形于言,叙理成论”,本人的灵感是认为要用有序的观点去分析力学量算符,这是因为量子力学理论建立在一组基本算符的不可交换的基础上。按照奥地利物理学家马赫的观点:把作为元素的单个经验排列起来的事业就是科学,怎样排、以及为什么要这样排,取决于感觉。马赫称作为元素的单个经验为“感觉”。算符的排列有序或无序,其表现形式便不同,感觉有差别。量子力学就是排列算符看好的科学。
说起有序,空间事物排列的有序使得人眼观察一目了然,信息量的摄入就多;相反,杂乱无章给人脑中留下一片狼藉。另一方面,事件的时间排序突出事情的轻重缓急。
生活中需要排序的事情不胜枚举,例如在超市排队买东西付账;运动员比赛(淘汰赛)前抽签,两个顶级高手抽签的结果正好在第一轮就相遇,其中一个立刻被淘汰出局,这样的排序是很不公正的。又如,整理书架,是按内容排序还是按书的购进日期排序?还是按书名的汉语拼音排序?为此,数学家研究出了一些排序算法。计算机也是靠编程序才有生命的,冯·诺依曼发明了“合并排序”来编写计算机的程序,以提高编序的效率。
奥地利物理学家路德维希·玻尔兹曼说:“一个物体的分子排列可能性决定了熵的大小。举例说,如果某个状态有许多种分子排列方式,那么它的熵就很大。”量子算符函数有多种排列方式,所以其“熵”也很大,即可研究的内容很多。例如,数学中的奇点 1/x ,在 x = 0 处函数值发散至无穷大。当把 x 替换为量子力学的坐标算符后,就可以用有序算符内的积分方法将它展开为有意义的算符幂级数,可见奇点用量子力学算符理论来研究会别有一番风味。
量子力学的算符排序问题需要物理学家自己解决,因为物理学家与数学家的思维方式不同。在量子力学中,由于两个基本算符不可交换,排序问题尤为重要。譬如说,光的产生和湮灭这两个相辅相成的机制虽然类似于投一个硬币的正、反两面,以概率出现,但就某一个个体而言,生和灭是有次序的,光子的产生算符a†和湮灭算符a之间遵循“不生不灭”的顺序(注意不是“不灭不生”),这就有 [a,a†]= 1。这个对易关系和辐射的“不生不灭”机制也许可以用来作为我们阐述量子化和量子光学的来源。要探索新的光场,就要构建量子光场的密度算符,如果不按某种方式排好序,它是不露真相的,因而新光场不易被察觉。
光场的密度算符的复杂性用数学家的通常方法是很难被排成正规序、或Weyl序的。为了摆脱困境,作者研究出了一套用量子力学表象完备性结合积分的方法给出算符排序互换的积分方法。对于几个算符函数,按有序算符内的积分理论只需做一个积分就完成了算符排序的任务。不但节约了大量的时间,而且发现在产生算符和湮灭算符按正规排列起来的空间可以导致测量坐标的正态分布律,而这恰是狄拉克的坐标表象。例如,坐标投影算符用正规排列的玻色算符表示出来就是
,是正规乘积排序中的高斯型正态分布(数理统计中的一种常用概率分布),这在数学上支持了玻恩的几率假设。
另一方面,光场的很多物理性质只有在算符排好序后才能计算出来。例如,有序算符内的积分方法结合辛群结构能将多模玻色算符指数函数排好为正规序,由此求出了多模混沌光场的广义玻色分布。
再则,量子谐振子的本征函数——厄密多项式的阶数也是按自然数的大小来排序的,阶数越高其函数形式越复杂。有趣的是,我发现算符厄密多项式在正规乘积化以后就呈现为坐标算符X的幂次形式了,可见量子理论的丰富多彩。
那么,怎样想到要把研究重点放在量子算符排序上并想出有序算符内的积分方法的呢?实际上,从小看《水浒传》的人会对梁山好汉108将的排序名次感兴趣,能背诵36位天罡星,72位地煞星。排序的标准是似乎谁的武功高、贡献大,谁就排在前。后来注意到在山寨内,这108人不分彼此,都是好兄弟。譬如武松和杨志,两人在二龙山落草时,杨志是二头领,武松是老三;而在梁山上,武松排名在杨志前,但他俩并不在乎这一变动。又如孙立武功高强,但他排在解珍、解宝后也毫无怨言。而对山寨外宣布这108人的地位有高有低,人有尊有卑。这种情形相当于在有序记号内(山寨内),无所谓排序,产生算符和湮灭算符可交换,而要“挣脱”有序记号(山寨外),就必须排好次序。这个想法引导人们利用表象的完备性把复杂的ket-bra算符写成有序记号内的积分,在记号内基本的算符因可以交换次序而被视为普通参数,于是积分就可以进行了。不但丰富和发展了量子统计力学,而且还可以用于提出新的算符的二项式定理、算符厄密多项式理论等。
在量子论诞生100周年之际,物理学家惠勒写了一篇文章,题目是“我们的荣耀和惭愧”。荣耀是因为100年中,物理学所有分支的发展都有量子论的影子。惭愧则是虽然100年过去了,人们仍然不知道量子化的来源。
现在,有了有序算符内的积分方法——一种简洁而有效的算符序的重排理论,它可以将经典变换直接通过积分过渡到量子幺正算符,把普通函数的数理统计算符化,我们就在数学上对量子化的来源有了较深入的理解。
有序算符内的积分理论是能体现量子世界“性灵”的,它把态矢量、表象与算符以积分相联系,又把表象积分完备性与算符排序融合,不但可以导出大量有物理意义的新表象和新幺正算符,而且提供了从经典变换过渡到量子力学幺正变换的自然途径,使得原本因抽象而“干涩”的量子力学表象与变换论有了生气与灵动,成为一个严密的、自洽的、内部“经脉疏通、气息调匀”的数理系统,就像是从一幅山水画中既听到了幽涧之泉的潺潺水流,又感受到了风云叱咤的万千气象。笔者相信,在懂得了对量子力学的ket-bra算符积分的 IWOP技术以后,就可进一步体会到Dirac符号法“随物赋形”的韵律和美感,原本底气不足的读者对于现行量子力学数理基础正确性的信心就会大大增强,对于探索量子世界奥秘就会兴趣盎然。IWOP尤其是对不对称的ket-bra积分,更具别有洞天的应用;还能将经典数理统计与玻恩几率假设相呼应;能将经典变换直接过渡到量子幺正变换;能帮助算符换序;能有助于新表象(尤其是纠缠态表象)的发现;能导出广义玻色子统计公式和费米子统计公式;能有助于理解量子光场的演化和发展量子相空间理论等。
“A physical theory must possess mathematical beauty,”这是Dirac探索物理本质的信条,也是本文在写作风格方面所追求的。
创一个新方法,应该立足于新观点,而且数学推导要气势足,如春空之云,舒展无迹。而要做到这一点,就必须言理足,表意足。理足则物性自现,意足则话语蕴籍,从而通篇内容生动,体现性灵。
首先应把表示为Fock空间的产生、消灭算符(基本算符)a†与a的函数,然后设法让a与a†在某种排序规则的记号内可以交换位置(对易),这样一来,a与a†在做积分时就只是扮演了参变量的角色。玻色算符有一种正规排序(normal ordering),如在一个由a与a†函数所组成的单项式中,所有的a†都排在a的左边,则称其为已被排好正规乘积,以::标记之。由于它已经是正规排序的算符,因此在::的内部,a与a†是可以交换的,(因为无论它们在内部如何任意地交换,而当要撤去::时,所有的a†必须排在a的左边,在::内部a与a†的任何交换不会改变其最终结果),于是积分就可以对::内部的普通函数(以a与a†为积分参数)进行了。所以对
积分的步骤是首先将它用a与a†展开,然后,将其纳入正规排列,套上::后,a与a†就从原来的不可交换变成可对易了,就可以对x积分了,积分过程中保留::。而在积分后去掉::时,事先把产生算符都置于消灭算符的左边。这样一个积分技术称之为有序算符内的积分技术。以上这些步骤相当于想象自己是外星人,有特异功能,能一眼将不可交换的算符看作是可交换的,大脑中能自动地将无序的算符排列成某种有序的结果。
有序算符内的积分方法对于量子力学基础理论的影响也许可以用“苔衬法”在中国山水画的地位做比喻。在画山水树石时都少不了点苔。细微的点苔在整个画中似乎只是点缀和衬托,但点苔本身也是一门学问,有了它才气韵生动,故称为“山水眼目”,不可或缺。有序算符内的积分方法把量子论中的几个重要的基本概念,如态矢量、表象、算符等以积分贯成一气来研究,打通了量子力学的“任脉”与“督脉”,使其“经络疏通”,内容更加生动丰富。
有序算符内的积分理论的思想来源是非逻辑的、是跳跃式地映入个别人眼帘的。难怪西方诸多大物理学家包括狄拉克本人都没有想到。能想出这个理论的人是否是潜移默化地受东方王阳明的“致良知”心学的影响呢?还是喜欢琢磨古诗句、常作诗消愁的自然结果呢? 这两种情形我都不信。还是拿费曼的话来说明吧:
“每一次我们陷入僵局时,就是因为我们用的方法是以前用过的同样方法。但下一个策划,下一个新发现,经常需要完全不同的方法。因此,历史给我们的帮助力不会太大。想出新理念并不容易,那需要难以置信的想象力。”
从光子的产生—湮灭机制谈量子力学的必然
以上我扼要回顾了量子力学的发展史,其实,量子力学理论可以直接从光子的产生—湮灭的观点出发来阐述。为什么这么讲呢?
从物理上看,这符合爱因斯坦早在撰写光电效应的论著时就指出的:“用连续空间函数进行工作的光的波动理论,在描述纯光学现象时,曾显得非常合适,或许完全没有用另一种理论来代替的必要,但是必须看到,一切光学观察都和时间平均值有关,而不是和瞬时值有关,而且尽管衍射、反射、折射、色散等理论完全为实验所证实,但还是可以设想,用连续空间函数进行工作的光的理论,当应用于光的产生和转化等现象时,会导致与经典相矛盾的结果。……在我看来……有关光的产生和转化的现象所得到的各种观察,如用光的能量在空间中不是连续分布的这种假说来说明,似乎更容易理解。”在1917年,爱因斯坦说我将用余生思考什么是光。时隔34年后,他说他自己这么多年来并没有接近“光量子是什么?”这个问题的答案。从此我们可以悟到,阐述“光的产生和转化等现象”是超脱经典力学的。或是说,量子力学可以从光子的产生—湮灭机制谈起。
从物理发展史看,牛顿力学和Lagrange—Hamilton的分析力学只是描写宏观物体的运动规律;电磁学也没有描写光的生—灭机制,例如打雷时光的闪和灭的机制,尽管把闪电归结到正负电荷之间的放电是电磁学的一大看点,但只是浅尝辄止。经典光学只讨论光在传播过程中的干涉、衍射和偏振。麦克斯韦经发展出光的电磁波理论,把光认同是电磁场,光看作是由电磁波组成的,把每一个波作为一个振子来处理,这体现了光的波动说。但它们都不涉及自然界中光的生—灭(例如光的吸收和辐射)这一无时无刻不在发生的现象,即没有讨论光的产生和湮灭机制。直到1960年代出现了激光,量子光学时代来到了,光的非经典性质渐渐显露。
普朗克首先指出太阳的光谱就是遵循量子论的,太阳光作为有限的电磁能在一组电磁振子中的分布,低频的多,高频的少,所以不在阳光下暴晒是晒不死人的。
爱因斯坦然后把光看作为光子,成功地解释了光电效应,每个光子态对应于电磁场的一个振子。接着,Dirac把电磁辐射当作是作用于原子体系的外部微扰所引起原子能态的跃迁,在跃迁时可以吸收或发射量子,这从量子力学观点解释了爱因斯坦1917年关于光的受激辐射的动力学机制,使得该理论更为充实了。(值得指出:关于受激辐射的爱因斯坦系数涉及一种非常弱的效应,起初在提出这种效应时根本没有什么希望观察到它,但是后来人们找到了增强其效应的方法,这开创了激光理论的先河)。可见想要认知光的量子本性,首先要有一个描述光子的产生和湮灭的表象。就像我们看到电闪雷鸣是在浩瀚的天空中发生的那样,阐述光的产生和湮灭也要有一个人们构想的理论“空间”,这就是光子数表象。
在数学上看,如玻尔所说,“在量子力学形式体系中,通常用来定义物理体系的状态的那些物理量,被换成了一些符号性的算符,这些算符服从着和普朗克衡量有关的非对易算法。”在自然界中,生—灭既是暂态过程,又是永恒的。暂者绵之永,短者引之长,故而生灭不息。“不生不灭” 说,不生不得言有,不灭不得言无,注意不是“不灭不生”。这表明生和灭是有次序的,对于特指的个体,终是生在前,灭在后。这恰好可以用产生—湮灭算符的非对易性描述,而且,光的耗散和扩散过程也体现非对易性,并可以导致新光场的出现。
要直观地介绍光子数表象,以谐振子的量子化(量子的产生和湮灭机制)为例来阐述是较容易被接受的。这样做是因为考虑到:从谐振子的经典振动本征模式容易过渡为量子能级。
经典力学中弦振动是一种典型的谐振子运动,固定弦的两端称为波节,当两端固定的弦的长度为 L ,则弦长必须是振荡波半波长的整数倍。只有这样,整个弦长正好嵌入整数个半波长。另外,弦的振动有基频与泛频,因此谐振子的量子化既能保持与经典情形类似的特性,又符合德布罗意波的特征。虽然经典光学中没有光产生和湮灭的理论,但谐振子的振动可产生波,若将此与德布罗意的波粒两象性参照,光波的产生就对应产生光子(或牵强地说:粒子伴随着一个波),所以要使理论能描述光子的产生和湮灭,就得把谐振子各种本征振动模式比拟为一个“光子库”。鉴于经典谐振子有它的本征振动模式,按整数标记,所以量子谐振子也应有它的本征振动模式—光子态,记为,n = 0,1,2,3… 代表量子谐振子的能级,其集合就是光场的“量子库”。
把看做是一个盛n元钱的口袋,a†a就表示“数”钱的操作(算符)。具体说,对
以a作用,表示从口袋里取出一元钱,n → n - 1,再放回口袋去(此操作以a†对
表示),又变回到n,这相当于“数”钱的操作,因为手里还是空的,口袋里还是 n 元钱。表明
是a†a的本征态,体现粒子性,a†a
= n
, a†a ≡ N 。另一方面,若在口袋里已经存在一元钱,记为 a†
,
代表没有钱的状态,用手取出,即以湮灭算符作用之,手里就有一元,aa†表示先产生,后湮灭,就可以理解 [a,a†] = aa† - a†a = 1,这个1代表这一元钱实际已在手里,所以a†是产生算符,a是湮灭算符,两者是不可交换的,这就是量子力学的基本对易关系,就是“不生不灭”说。
当口袋里没有钱(以表示)就无法再从中取钱,所以 a
= 0 ,
被称为是真空态。
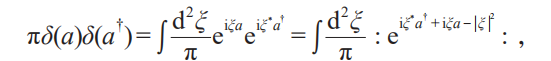
根据“不生不灭”(注意不是“不灭不生”)这个物理感觉,我以为真空用算符Delta函数表示为
这里δ(a†)在右边先作用,δ(a)排在δ(a†)左面,表示先产生后湮灭(常说的自生自灭),即那里有光子产生(用Delta函数δ(a†)表示),就在那里湮灭它(用δ(a)表示),这符合真空的直观意思。在以下的计算中要时刻注意算符的排序问题。再用Delta函数的傅里叶变换式将上式写为积分:
在一个由a与a†函数所组成的单项式中,当所有的a†都排在a的左边,则称其为已被排好为正规乘积了,以::标记。在::内部a与a†是可交换的(这是正规乘积的一个重要性质),可以被视为积分参量,用正规乘积排序算符内的积分技术对d2ξ积分得到:
我们得到了的正规排序算符形式。如果有一个外星人,他的视觉功能可以把看到的算符自动排成是正规排序。那么,在地球人看来是真空态
,在这个外星人看来就是 :
: 。利用它,我们可以分解1为
于是可以定义态,
是量子谐振子的本征态,上式表明
的全体是完备的。从a与a†引入
,根据玻尔的观点,物理学家关心的是对现实创造出新心像,即隐喻,我们可以说,上式右边 (a† + a) 表示粒子存在着新陈代谢,是产生和湮灭共同起作用,故X是代表坐标算符。另一方面,把虚数 i 理解为在一个飘渺的“虚空间”,从a与a†引入
,其右边 (a† - a) 可以理解为产生的作用扣除湮灭的影响,粒子在“虚空间”中运动起来,故而算符P理解为动量,由 [a,a†] = 1 给出 [X,P] = iℏ ,这就是玻恩—海森伯对易关系。所以我们可以从自然界光的生—灭机制来解读量子力学的必然存在。这部分内容可小结如下:
(1)光子生—灭有序,[a,a†] = 1,无序易,有序难,无序熵增,引出 [X,P] = iℏ ,量子力学便是排序的科学,似乎与马赫的观点类似。
(2)真空态(密度算符):.
(3)类似于此,位置测量可以表达为有序排列(正规排序)的正态分布:
这就在数学上将量子力学的几率假说体现为有序算符的正态分布,支持了玻恩的观点。
“有序算符内的积分理论”揭开了发展量子力学表象与变换理论的新的一页,也实现了由表征与符号向所谓“纯结构”的转变。有序算符内的积分理论的“魅力”还在于:它自身有逐步展开的能耐,起初只是为求解特定问题而想出来的方法会有不少意想不到的新用途和新结果。也应了爱因斯坦这样的一句话:“一切理论的最高目标是让这些不可通约的基本原理尽可能地简单,同时又不放弃任何凡是有经验内容的充分表示。”
用“有序算符内的积分理论”发展了变换理论,提出了不少新变换,如分数压缩变换,纠缠小波变换,分数Hankel变换等。正如Einstein在1933年所说:“创造性原理存在于数学之中”。在1946年写的《自述》一文中,Einstein又写道:“……通向更深入基础知识的道路同时是同最隐秘的数学方法联系着的。只是在几年独立的科学研究工作之后,我才逐渐明白了这一点。”
用“有序算符内的积分理论”作者还建立了连续变量的纠缠态表象。1935年爱因斯坦等三人(称为EPR)发表的题为《能认为量子力学对物理实在的描述是完备的吗?》论文中说到一句话:“在一种完备的理论中,对于每一个实在的元素都该有一个对应的元素。使一个物理量成为实在的,它的充要条件是:要是体系不受干扰,就有可能对它作出确定的预测。”纠缠态表象的数学形式及其Schmidt分解可以明确反映EPR的文字说明。
这就是为什么理论物理学家温伯格认为科学发现的方法通常包括着从经验水平到前提的或逻辑上的不连续性的飞跃,对于某些科学家来说(如爱因斯坦和狄拉克),数学形式主义的美学魅力常常提示着这种飞跃的方向。
总而言之,量子力学的语言是狄拉克符号,有序算符内的积分是告诉你如何使得该符号系统灵动起来,活用起来,在活用中理解物理,可做到“砥平直矢能由是路即中行”。谁要是想多了解一些量子力学,而却没有机会学习有序算符内的积分,那就是“宫墙数仞不得其门终外望”。
致 谢 感谢范悦将中文摘要翻译成英文摘要。
纪念量子力学诞生120周年专题
《物理》在淘宝店和微店上线,扫码即可购买过刊和现刊。