|作者:刘艺舟1 韩秀峰1,2,†
(1 中国科学院物理研究所)
(2 中国科学院大学材料科学与光电技术学院)
本文选自《物理》2020年第12期
摘要 磁霍普夫子是一类新兴的三维磁拓扑孤子,具有精妙的三维自旋拓扑结构,可以展现丰富新奇的物理特性。随着最近磁霍普夫子研究的兴起,三维拓扑孤子相关的研究也进入了一个新的阶段。文章将简要介绍如何在固体磁性系统中实现稳定的磁霍普夫子,同时针对一个最简单的霍普夫子自旋结构,讨论其有趣的三维自旋动力学特性,为今后进一步研究霍普夫子和推进三维拓扑自旋电子学的发展抛砖引玉。
关键词 磁霍普夫子,拓扑孤子,自旋动力学
1834年,英国工程师约翰·罗素在观察船推动水面所产生的波纹时,发现其中一些水波能够在传播很远距离的同时保持其轮廓不变,并基于此现象提出了孤子的概念[1]。随后,经过Boussinesq、Korteweg和de Vries先后的努力[2,3],建立了Korteweg—de Vries(KdV)方程,成功地解释了水中的孤子现象,正式拉开了孤子研究的序幕。然而在接下来的半个多世纪,与孤子相关的研究并未受到人们的广泛重视。直到20世纪60年代,由于在多种非线性物理系统中都发现了类似的局域孤波解,人们才逐渐开展了大量深入研究,并将这一类物理现象称之为孤子(soliton)[4]。
孤子本身是非线性场方程的局域解,其能量分布处处连续并具有类粒子的性质(因此其名称末尾带有-on)[5]。携带有拓扑荷(topological charge)的孤子则被称为拓扑孤子(topological soliton),它们广泛存在于各种不同的物理系统中,比如量子场论中的瞬子、玻色—爱因斯坦凝聚态中的旋子、超流体中的涡旋等等。值得一提的是,由于数学结构和物理模型本身的普适性,即便在不同的物理系统中也可能存在具有相同拓扑结构的拓扑孤子,并且它们的基本物理特性具有一定的关联性。例如,斯格明子(skyrmion)作为一种拓扑孤子,在量子霍尔铁磁态[6,7]、固体磁体[8]和液晶[9]等系统中均可以稳定存在。因此,充分研究拓扑孤子在某一特定物理系统中的性质对理解这一类拓扑孤子大有裨益。
固体磁性系统是研究不同拓扑孤子的良好平台,目前已经在其中发现了磁涡旋(vortex)[10]、磁斯格明子[8]和磁半子(meron)[11]等多种磁拓扑孤子,结合固体磁性系统中丰富成熟的实验手段如输运测量和磁成像等,人们已对这些拓扑孤子开展了非常深入全面的研究。此外,人们还提出了基于各种磁拓扑孤子的磁存储、自旋逻辑、自旋纳米振荡器等技术[12—14],因此磁拓扑孤子的相关研究也是当前拓扑自旋电子学领域的前沿热点课题之一。虽然目前针对低维体系(一维或二维)中的磁拓扑孤子已开展了广泛研究,但是却鲜有相关三维磁拓扑孤子的研究。这是因为三维体系更为复杂多样,无论是从理论、计算还是实验角度开展研究都颇具挑战性。随着近年来对拓扑孤子的深入理解及相关理论和实验手段的系统发展,更多与三维拓扑孤子相关的研究也开始呈现出来。本文将聚焦在一类新型的三维拓扑孤子——霍普夫子(hopfion)上,具体讨论如何在固体磁性体系中实现磁霍普夫子以及相关的三维自旋动力学,旨在为后续开展三维拓扑孤子的广泛研究而抛砖引玉。
1975年,Faddeev在Skyrme—Faddeev模型框架内提出了一个稳定的孤子解[15],其拓扑结构可以用霍普夫不变量(Hopf invariant,或霍普夫荷Hopf charge,简写为QH)来描述[16],因此这类拓扑孤子被称为霍普夫子。三维实空间赋予了霍普夫子丰富多彩的拓扑结构,其可以形成环、链和结状结构,对应的拓扑特性则由同伦群Π3(S2)来描述,该拓扑不变量(即霍普夫荷QH)可以理解为连环数(linking number)。
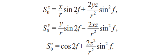
在进一步讨论相关的模型和物理特性之前,我们先来了解一下霍普夫子的基本结构和拓扑特性。定义S 为一个实空间中的矢量场,为方便下文讨论,我们设S 为经典磁性体系中的单位自旋矢量 ( |S| = 1) 。以一个最简单的非平庸霍普夫子为例(即 QH = 1 的霍普夫子),其光滑的嵌套在一个均匀背景场中,在无穷远处的自旋均指向同一方向(即一个铁磁态背景场,这里假设背景场指向+z 方向),因此该霍普夫子所在的三维实空间R3可以有效地紧致化为一个三维球面S3。我们可以通过一个R3到S3的球极投影:,并结合霍普夫映射S3→S2来构建一个 QH = 1 的霍普夫子自旋结构:
,这里
为旋量,σ为泡利矩阵, r2 = x2 + y2 + z2 ,f 是一个r 的函数并同时满足边界条件 f (0)= π 和 f(∞)= 0 。具体的自旋构型可以写为
这是最简单的对z 轴具有轴对称性的霍普夫子结构表达式。
在提出霍普夫映射时[16],Hopf指出S2球面上的每一个点都对应着S3中的一束纤维,此纤维则是一个闭合圆环。这个概念可以帮助我们进一步从几何的角度去理解霍普夫子的结构。利用球极投影,我们可以将该纤维丛投影到R3,进而得到S2球面上的每一个点都对应着R3中的一个闭合圆环,如图1所示。更有趣的是,任意两个圆环间都是相互链接在一起的,如图1(a),(b)所示,因此霍普夫荷QH可以理解为连环数[17]。
对于我们刚刚定义的实空间矢量场S 来说,这里的单位球S2可以理解为S 的序参量空间,球面上的每一个点都对应一个自旋的方向。对于一个霍普夫子的自旋构型,S2上的每一个点(即每一个自旋方向)都会在实空间中形成一个闭合圆环,称之为原像(preimage)或等自旋面(iso-spin surface),而任意两个自旋方向的原像都会相互链接在一起,对于上面提到过的QH = 1的霍普夫子,它们链接的次数恰好为1(图2)。而对于S2上任意等纬度点的集合(比如赤道),即具有相同z 分量 (Sz) 自旋的集合,则会形成一个环面。以所有z分量为0 (Sz = 0) 的自旋为例,其原像集合如图2所示为一个环面,该环面上还画出了其中一部分自旋方向的原像,可以看到,这些原像均为一个闭合圆环且任意两个原像均互相链接一次,体现了其拓扑特性。
霍普夫子的拓扑特性可以用霍普夫荷来描述,其定义为[19,20]
其中且满足 ∇ ∙ B = 0 (即B中不应包含奇点结构),A是任意满足 ∇ × A = B的矢量势。除上述定义外,霍普夫荷还可以表示为 QH = QP ,这里Q是拓扑荷或斯格明子数,P是对应斯格明子扭转的圈数。从该定义中可以看出,霍普夫子与斯格明子有着本质上的联系,为了理解该表达式的意义,可以从一个斯格明子的自旋结构出发来构建一个霍普夫子的构型。一个二维斯格明子的自旋结构如图3(a)所示,其外圈自旋(背景自旋场)与中心自旋均指向面外但方向相反,其余自旋从外圈到中心平滑的旋转过度。一个斯格明子中的自旋包含了三维空间中所有可能的自旋方向,正好可以完整覆盖其序参量空间单位球S2一次,因此其拓扑荷为 Q = 1 ,体现了其拓扑非平庸性。我们将一个二维斯格明子的构型扩展到三维并保持其自旋方向不随z方向位置变化,便可以得到一个笔直的斯格明子管(tube)或斯格明子弦(string)。现在将该三维斯格明子管扭转一圈(扭转360°,P = 1,图3(b))并头尾相接(这里需要注意,在弯折斯格明子管并头尾相接时,一些自旋的方向需要根据坐标系的变化而做出旋转),我们就可以得到一个 QH = PQ = 1 的霍普夫子(图3(d)),整个过程如图3(c)所示。通过上述过程可以看到,QH = 1 的霍普夫子可以理解为一个首尾衔接360°扭曲的斯格明子管,因此,霍普夫子每一个包含z轴的纵切面中总能看到一个斯格明子—反斯格明子对(skyrmion—antiskyrmion pair)。
综上所述,QH = 1 的霍普夫子具有非常精妙的三维结构,而对于高阶的QH ,除了上面讨论过的环面外,霍普夫子还有可能形成链和结这些丰富多彩的拓扑结构[21],而在不同物理系统中如何稳定实现对应这些结构的霍普夫子则需要进一步的分析与讨论。
除 Skyrme—Faddeev 模型外,霍普夫子也可以存在于众多不同尺度的物理系统中,人们发现其可能与一些非常有趣的物理现象相关,比如vorton[22]和球形闪电[23,24]等。在霍普夫子研究的初期,虽然在一些物理系统中预言了霍普夫子的存在,但由于相关的模型都涉及一些高阶相互作用,实验上并不容易实现,同时其结构又比较复杂,因此相关的研究并不多。到20世纪90年代,随着计算能力和实验手段的提升,霍普夫子相关的研究才开始受到更多关注[21,25—27]。尤其是近些年来,人们在多种物理体系如液晶[28]、玻色—爱因斯坦凝聚态[29]、光学[30]等系统中都发现了霍普夫子的存在,但是在固体磁性体系中,霍普夫子仍未在实验上实现。
根据 Hobart—Derrick 判据[31,32],单纯的海森堡模型与磁各向异性无法在三维磁性体系中稳定一个有限大小的拓扑孤子,因此在该类模型中霍普夫子无法稳定存在。但有研究表明,虽然稳定的霍普夫子态无法存在,但是动态霍普夫子可以在一些动力学过程中,比如磁矩翻转的过程中,作为某种中间态存在。早在1979年就已有动态磁霍普夫子相关的研究[33],随后也有理论工作进一步研究了该类动态霍普夫子的相关动力学过程[34—36],发现其会沿着自旋结构对称轴平移,整体动力学过程很像日常生活中常见的烟圈或涡旋环[37],因此又将磁霍普夫子称为磁涡旋环(magnetic vortexring)。然而这些工作中并没有考虑磁性体系中存在的阻尼现象。阻尼系数的加入会限制霍普夫子稳定存在的寿命(与磁性体系本身的特征时间相关),并影响其动力学过程;这些工作中也并没有分析通过什么样的手段才能够在相关物理过程中产生动态霍普夫子,因此很难从实验上捕捉到这些动态磁结构。
为了寻找能够稳定存在的霍普夫子态,我们必须在海森堡模型中加入一些新的相互作用,从而引入一个长度尺度,才有可能得到稳定的磁霍普夫子。从一个简单的铁磁型海森堡模型出发,除简单的最近邻相互作用外,可以加入额外的反铁磁型近邻相互作用,这些不同类型相互作用间的竞争便会引入一个长度尺度。Bogolubsky 在1988年便首次提出了这样一个模型[38],
在一个立方晶格海森堡模型中引入了4层的近邻相互作用,这里Jij是不同格点之间的近邻相互作用。这个模型中可以得到一个稳定的霍普夫子,其可以近似为阻挫磁体模型。2017年,Sutcliffe利用这种阻挫磁体模型得到了多种稳定的磁霍普夫子结构[39],其中包含QH为10的三叶结(trefoil knot)状霍普夫子,展示了其丰富的自旋结构(图4(a)—(d))。但是这些模型都过于抽象,无法直接对应到真实的材料体系中。2019年,Rybakov等人基于类似的模型和自旋波色散关系进行了分析研究构[18],提出了一种判据条件。他们指出一个磁性材料中的竞争相互作用若能满足该判据,其中便有可能实现稳定的磁霍普夫子,而相关的相互作用则可以通过第一性原理计算等理论手段或中子散射等实验手段得到,为实验上寻找切实可行的材料提供了理论依据。
除了阻挫磁体模型外,目前已被广泛研究的手性磁体材料可以为稳定实现磁霍普夫子提供另外一种新的思路。上一章我们已经讨论过霍普夫子与斯格明子管的深刻联系,既然手性磁体中可以实现稳定的斯格明子,那么有没有可能通过一些方法使其转化为稳定的霍普夫子呢?2018年,一种可以在具有垂直各向异性(perpendicularmagnetic anisotropy,PMA)薄膜与手性磁体中实现稳定的磁霍普夫子的异质结构纳米柱被构建和提出[40]。如图4(e)所示,该异质结构为一个PMA薄膜/手性磁体/PMA 薄膜的三明治结构,基于手性磁体的内禀参数如螺旋周期长度等,我们可以通过调节上下薄膜中垂直各向异性的强度和纳米柱的几何参数(半径和长度)来实现稳定的磁霍普夫子,该工作给出了相应的相图。有趣的是,除了磁霍普夫子外,另外一种拓扑自旋态:单极子—反单极子对,也可以稳定存在于该纳米柱异质结构中,并且通过施加外部磁场,霍普夫子与单极子—反单极子对还可以实现相互之间的拓扑转换,为研究固体磁性材料中的拓扑自旋态提供了新的思路。同时也有一些其他理论研究得到了类似的结果[41,42],并指出还有可能在PMA薄膜/手性磁体/PMA 薄膜的非受限薄膜中实现霍普夫子的二维晶体。因此,利用手性磁体及其异质结构来实现稳定的磁霍普夫子是目前一种实验上可行的策略,而如何在阻挫磁体相关的材料或其他新型材料中实现稳定的磁霍普夫子仍然需要进一步的探索。
近30年来固体磁性材料和自旋电子学的发展为磁拓扑孤子的研究提供了一个良好的平台。可以通过电学、热学和光学等多种多样的手段对磁拓扑孤子的基本性质进行全面地研究。而这其中最基本的一种激发手段就是施加一个电流,通过自旋转移力矩效应驱动磁拓扑孤子的运动果[43—45]。因此,可以从电流驱动开始着手研究磁霍普夫子的基本动力学性质。
最近有研究报道了在受限体系中,在电流驱动下,磁霍普夫子会沿着电流做平移运动[46]。而为了充分研究霍普夫子的三维特性,我们与合作者选择了阻挫磁体模型并专注于 QH = 1 的霍普夫子,通过绝热和非绝热自旋转移力矩激发其运动[45]。作为一种磁拓扑孤子,霍普夫子也具有类粒子的动力学性质。而其本身在三维磁结构的各向异性也允许了旋转运动模式存在的可能性。我们可以通过集结坐标(collective coordinate)来分析霍普夫子的基本平移和旋转运动模式。定义霍普夫子在位置 r =(x,y,z) 和时间 t 的集结坐标为,其中 R =(X,Y,Z) 代表霍普夫子的位移,
是旋转算符。在旋转极小时,旋转算符可以写为
,其中
是角动量算符,
为霍普夫子沿不同坐标轴旋转的角度。
磁拓扑孤子中局域自旋结构的动力学一般由对应拉氏量的自旋贝里相位(spin Berry phase)所决定[47—49]:
其中 θ 和 ϕ 分别是单位自旋 S 的极角和方位角。对整体自旋结构进行积分后,贝里相位的变化量可以通过缓变集结坐标写为
其中 D 和 I 是由霍普夫子自旋结构所决定的参数(具体表达式可以参考文献[50])。我们从(2)式中可以明显看出霍普夫子在 x 和 y 方向的位移和转动运动并非独立存在的,其中 x 方向和 y 方向的旋转是典型共轭的,通过相空间中平移运动和旋转运动的纠缠,霍普夫子沿 x 和 y 方向的平移运动也互相联系到了一起。因此,霍普夫子的横向平移运动会同时伴随着纵向平移运动及复杂的旋转运动。
值得注意的是,在公式中,由于霍普夫子结构的对称性,与 z 方向相关的平移和旋转都无法体现出来。因此,为了理解 z 方向相关的动力学,我们有必要针对霍普夫子的自旋构型再加入一个辅助的缩放系数 S(r,t)= S0(λr) ,这里 λ 为一个时间依赖的缩放系数,在平衡态时 λ = 1。缩放系数的变化可以在自旋贝里相位中产生一个额外的贡献:
其中 Ω 和 Γ 也是由霍普夫子自旋结构决定的参数(具体表达式可以参考文献[50])。(3)式表明缩放系数与 z 方向相关的位移和旋转运动是紧密结合在一起的。霍普夫子大小的变化会引起自发的平移和旋转运动。(2)式和(3)式说明霍普夫子运动在一个复杂的相空间中,其中的平移、旋转和缩放都是紧密纠缠在一起的。
为了验证自旋贝里相位的分析,我们运用自旋动力学模拟对相关物理过程进行了计算。对于自旋转移力矩效应,有两个非常重要的参数,一个是磁性系统中的阻尼系数α,另外一个是自旋转移力矩中的非绝热效应系数β,这两个系数在自旋转移力矩驱动的磁拓扑孤子运动中起着至关重要的作用。基于霍普夫子的对称性和自旋贝里相位分析的结果,外加电流在霍普夫子的环中心面(torus midplane)内和垂直于环中心面时会激发不同的动力学过程。在平衡状态下,如图5(a)所示,霍普夫子的环中心面与xy面重合。
当电流方向垂直于环中心面时(即电流沿 z 方向),霍普夫子的动力学如图6所示。此时霍普夫子的运动很像我们日常生活中常见的烟圈或涡旋环,电流在驱动霍普夫子沿 z 方向做平移运动的同时,还驱动了霍普夫子沿 z 轴的旋转和缩放。缩放的类型,即缩小或放大,则取决于 α 和 β 的相对大小。当 α > β 时,沿 -z(+z) 方向的电流会使其缩小(放大),而 α < β 时情况则正好相反。当 α = β 时,缩放和旋转运动都会消失,霍普夫子仅表现出沿电流的平移运动。
霍普夫子在 z 方向的运动可以用一种唯象的、与斯格明子管相关的物理图像来解释。我们前文讨论过,一个 QH = 1 的霍普夫子可以理解为一个扭曲 360°后头尾相接的斯格明子管。因此,在霍普夫子的每一个包含 z 轴的纵切面内,都可以观测到一个斯格明子—反斯格明子对,如图5(c)所示。为了建立霍普夫子与斯格明子管动力学的关系,我们这里引入新兴磁场[12] 。基于霍普夫子自旋构型得到的 Bi 如图6(d)所示。在自旋转移力矩驱动的斯格明子运动中,其横向平移的过程中通常会伴随着一个纵向的偏转,类似于霍尔效应中电子在外磁场中受洛仑兹力作用产生的偏转,因此被称为斯格明子霍尔效应[12, 49, 51,52]。本征斯格明子霍尔角的符号是由斯格明子拓扑荷、或者等效斯格明子的新兴磁场B来决定的。更重要的是,在自旋转移力矩作用下,斯格明子霍尔角的符号还取决于 (α - β) 的符号,如图6(d)中箭头所示。因此,斯格明子—反斯格明子对在 z 方向电流驱动下,除沿着 z 方向的平移运动外,还会在纵向相向或反向运动。相同的动力学过程也会发生在霍普夫子的每一个包含z 轴的纵切面中,而霍普夫子的运动则可以用这些斯格明子—反斯格明子对集合的运动来解释。当斯格明子—反斯格明子相向运动时,霍普夫子便会缩小;当斯格明子—反斯格明子反向运动时,霍普夫子则会变大。该唯象解释与流体力学中对烟圈和涡旋环动力学过程的分析有一些相似之处(比如烟圈切面的流动),体现了磁动力学和流体力学间的一些基本联系。
另一方面,当电流在霍普夫子的环中心面内时,霍普夫子的运动则更加有趣。我们以电流沿 x 方向为例,如图7所示。在绝热状态下(α = 0.1,β = 0,β < α),霍普夫子首先沿着电流方向具有一个横向平移运动,此外在垂直电流方向, 即 y 和 z 方向还有纵向平移运动(图7(a), (b))。在平移运动的同时,霍普夫子还展现了沿着 x 轴和 y 轴的旋转运动(图7(c))。这些动力学过程与自旋贝里相位的分析相符,霍普夫子的横向平移、纵向平移和旋转运动是相互纠缠在一起的。我们还发现当 β 和 α 的相对大小改变时,霍普夫子的动力学过程会有定性的变化。比如在 α = 0.1,β = 0.2 时 (β > α) ,沿 y 方向的纵向平移会反向, 而 z 方向的纵向平移则不会反向。另一方面,对旋转运动而言,沿着 x 轴和 y 轴的旋转运动都变为反向转动。而当 β = α 时,所有的纵向平移和旋转运动都消失了,霍普夫子在这种情况下只会沿着电流的方向进行平移运动。以上这些动力学过程的动态描述均可以在文献[50]的补充材料中找到。
图7 电流位于环中心面内(沿 x 方向)时霍普夫子的动力学过程 (a)和(b)分别是在不同 β值时霍普夫子的中心在 y 和 z 方向的位移随 x 方向位移的变化。插图为霍普夫子横向速度随电流密度的变化;(c)和(d)分别为霍普夫子在 β < α 和 β > α 时的旋转运动,其中红色箭头代表霍普夫子中心面的法向矢量,红点则对应霍普夫子环中心面的转角轨迹,蓝色箭头指示相应的转动方向[50]
无论电流是在环中心面内还是面外,霍普夫子的动力学方程都可以由一般形式的Thiele方法导出[53,54]。在得出的一系列动力学方程中(关于具体的方程及其推导过程,感兴趣的读者可以参考文献[50]),我们发现当电流垂直于环中心面时,霍普夫子的缩放和旋转均与 (α - β) 这一项相关,而在电流处于环中心面内时,霍普夫子沿着 y 方向的纵向平移、绕 x 轴的旋转和绕 y 轴的旋转也都与 (α - β) 相关。因此,当 (α - β) 变号时,这些运动都会反向,而当 (α - β) 为 0 时,霍普夫子只表现出沿着电流方向的平移运动。需要注意的是,由于霍普夫子自身的运动,其环中心面也会随之发生改变,因此当电流沿 x 方向时,其实只有初始态下电流才是“完全”处于环中心面内的。当环中心面发生改变时,电流的方向也可以随之分解为环中心面内和环中心面外两个分量,需要一个随动坐标系来进行描述。通过以上讨论可以看出,即使是结构简单的霍普夫子也具有丰富的三维自旋动力学,而基于自旋贝里相位和一般形式Thiele方法给出的动力学方程可以很好的描述霍普夫子的动力学性质。此外,霍普夫子动力学与斯格明子—反斯格明子对动力学之间的唯象描述也展现了不同磁拓扑孤子间跨越维度的动力学联系。
目前,对于磁霍普夫子等三维拓扑孤子的研究方兴未艾,其精妙三维拓扑结构相关的新奇物理现象仍需进一步探索,比如磁霍普夫子的输运相关特性、在其他外界激励作用下的动力学性质等等。除此之外,也亟需寻找能够稳定实现磁霍普夫子的材料体系,同时霍普夫子的实验表征,尤其是实空间的成像也有赖于三维磁成像如X光三维断层扫描[55]等技术的发展。文章中讨论的集结坐标方法并不依赖于系统具体自旋相互作用的哈密顿量,因此它还可以用来研究磁性体系之外霍普夫子的普遍动力学性质。我们期待磁霍普夫子的相关研究能够加深人们对三维拓扑孤子的理解。同时,我们也期待在高阶的霍普夫子中能够发现更加新奇的动力学现象,这些有趣的动力学过程有可能被应用到将来的三维自旋电子学之中[56]。
致 谢 感谢臧佳栋、于国强和张石磊的有益讨论及对本文提供的帮助。
《物理》在淘宝店和微店上线,扫码即可购买过刊和现刊。