|作者:张飞1 蔡吉祥1,2 蒲明博1,2 罗先刚1,2,†
(1 中国科学院光电技术研究所 微细加工光学技术国家重点实验室)
(2 中国科学院大学光电学院)
本文选自《物理》2021年第5期
摘要 超构表面是一种二维的超构材料,能在平面上实现对光波相位、振幅、偏振等参数的灵活调控。相位型超构表面可突破经典折反射定律,使得光场调控不再依赖于曲面光学元件,为实现光学系统的平面化、集成化和多功能化提供了有效途径。特别地,通过对传输相位和几何相位协同调控,能够有效解决传统超构表面存在的功能单一、带宽受限、可调谐性差等原理性问题。文章介绍了复合相位调控的实现原理和方法,以及复合相位超构表面的典型应用及特点,最后对复合相位超构表面的未来研究方向进行了总结和展望。
关键词 超构表面,复合相位,几何相位,传输相位
相位是描述物体周期性运动的一个关键物理量。由于地球和月亮的周期性运动,每天月亮的明暗和位置都不同,这种现象称为月相的变化,又称为盈亏。对于机械波、电磁波和物质波而言,相位描述了波振动在周期中的具体位置,可以决定干涉、衍射、折射、反射等波动行为。实际上,相位是现代物理理论的核心物理量,在凝聚态物理、纳米光学、天文观测等重要领域都具有深刻的物理内涵和广泛的应用场景。例如,引力波会改变光的传播路径,从而引入相位差。激光干涉引力波天文台(LIGO)正是通过干涉方法测量这一细微的相位差,由此探测到引力波,验证了爱因斯坦广义相对论的预言。
作为一种电磁波,无处不在的光是信息和能量的重要载体,已广泛应用于各行各业,如光学成像、精密测量、光学信息处理、医疗、受控热核反应等。但是,受限于经典相位调控原理,传统相机、望远镜和显微镜等绝大多数光学系统不得不通过多个不同面形和材质的曲面光学元件实现波前调控。组合这些复杂的光学器件使整个系统笨重、繁杂,难以满足现代光学轻量化、平面化和集成化的发展趋势。20世纪末,光学与微电子技术相互渗透衍生出的二元光学在一定程度上提高了系统集成度。然而,基于超大规模集成电路中的微加工技术制备的二元光学元件,通过表面三维结构调控光波参量,其厚度仍大于响应波长,且存在色差大、视场小等诸多原理限制[1]。
为了在亚波长尺度实现对光波相位、偏振、振幅、频率等参量的灵活调控并克服上述原理性限制,一种二维超构材料——超构表面应运而生[2,3],且已用于实现超衍射极限成像、电磁隐身等天然材料难以实现的超常物理特性和电磁功能[4—10]。超构表面改写了经典的光学定律,从原理上可极大增加光学系统的功能集成度[11]。经过十多年的发展,国内外提出了众多基于超构表面的器件及系统[12—15]。其中,二氧化钛(TiO2)超构透镜(Metalens)被Science杂志评为“2016年十大科技突破”之一[16],同时超构表面技术也在2019年被Scientific American评为“十大新兴技术”之一。
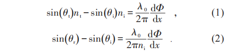
超构透镜这类典型的相位型超构表面的兴起可追溯到21世纪初。2005—2008年,研究人员发现利用表面等离子体狭缝波导阵列引入梯度传输相位,可实现任意光束偏折功能[17,18]。2011年,基于平面“V”形天线正式提出“广义折反射定律”的概念[2],突破了经典折反射定律的限制,如(1)式和(2)式所示:
其中λ0为真空波长,n为材料折射率。当 dΦ/dx = 0 时,公式(1)和(2)退化为经典的折反射定律。当沿界面处引入合适的相位梯度时,透射光和反射光在各自半空间可实现任意方向的偏折。由此可见,相位型超构表面改变光束传播方向的关键是通过改变亚波长结构的几何形貌和排列方式引入相位梯度。目前,根据调控方式的不同,相位型超构表面主要可分为传输相位、几何相位、广义几何相位[19]和共振相位[20],如图1所示。这些超构表面已实现平面透镜[21]、全息显示[22]、偏振转换[23]、虚拟赋形[24]等,并取得了系列成果,但仍存在功能单一、带宽受限、可调性差等问题[25]。如传输相位或共振相位超构表面通常无手性响应,而几何相位超构表面虽具备手性响应,但存在共轭关系,无法实现对左右旋圆偏振光(left- and right-handed circularly polarized light,LCPL and RCPL)波前的任意独立调控。
图1 传输相位、几何相位、广义几何相位和共振相位示意图
近年来,复合相位超构表面利用传输相位和几何相位在自旋、频率和材料方面不同的相关性,有效解决了上述原理性问题,并为复杂光场调控提供了全新方案。本文围绕基于复合相位超构表面的光场调控技术展开,首先介绍复合相位调控的原理及实现方法,以及复合相位超构表面的典型应用及特点,最后对其未来的发展方向进行总结和展望。
传输相位是指光束在传播过程中产生的相位延迟,可表达为 β = (2π/λ0)nd,其中n和d分别是材料的折射率和传播距离。因此,传输相位通常与偏振或自旋态无关,但与入射光频率(或波长)和材料折射率有关。由于超构表面的结构厚度相同,因此需要通过改变等效折射率(即改变亚波长结构的尺寸)调节传输相位。
光学中的几何相位又称为Pancharatnam—Berry相位,源于光子内角动量在绝热过程中的变化,也可视为光子自旋角动量和轨道角动量相互作用(简称为光子自旋—轨道相互作用)的产物[26]。为了便于理解,本文利用琼斯矩阵解释几何相位的基本原理。假设各向异性结构对应u—v坐标系,整个超构表面对应x—y坐标系,两坐标系的夹角为θ。此时,各向异性超构表面的琼斯矩阵可表示为
其中 tu 和 tv 分别表示各向异性结构沿其快轴和慢轴方向的复振幅, R(θ) 为旋转矩阵,可表示为
将(4)式带入(3)式,化简后可得
当圆偏振光[1, -iσ]T入射时(其中 σ = ±1 表示圆偏振光旋向),出射光场可表示为
其中Exo和Eyo分别为出射光的x和y偏振分量。由(6)式可知,出射光场中既包含同偏振分量,又产生了携带附加几何相位-2σθ的正交偏振分量。因此,几何相位只与入射光偏振和结构旋向有关,而与入射光频率和材料无关,刚好与传输相位的特性相反。此外,对于经典几何相位理论,产生几何相位的必要条件是结构具有各向异性,即其快慢轴具有不同的复振幅响应(tu和tv不同)。近期研究表明,通过晶格效应可以使各向同性结构产生高阶几何相位,且它的值不再局限于2倍旋转角,因此称之为广义几何相位[19]。
复合相位超构表面的物理思想是在同一超构表面中引入传输相位和几何相位,即同时改变亚波长结构的尺寸和旋向。为了便于理解,假设各向异性结构振幅为1,且沿其快慢轴方向引入的相位延迟为 β ± δ/2,相应的复振幅可表示为 tu = exp(iβ-iδ/2) 和 tv = exp(iβ + iδ/2)。根据(6)式可知,当圆偏振光[1, -iσ]T入射时对应的出射光场为
从(7)式可知,正交偏振分量中同时携带了传输相位β和几何相位-2σθ,从而得到复合相位β-2σθ。为了同时独立调控传输相位和几何相位,常用的结构形式如图2(a)所示,即高折射率介质柱。利用该类型结构的截断波导效应,能够将光场束缚在介质柱内,抑制单元结构之间的耦合,进而使得传输相位和几何相位之间的串扰可忽略不计。图2(b),(c)展示了针对可见光和长波红外分别设计的8个单元结构,其传输相位可以覆盖0—2π,且平均效率高于90%。
图2 (a)复合相位调控典型单元结构示意图;(b)工作波长532 nm单元结构仿真结果;(c)工作波长10.6 μm单元结构仿真结果[27]
复合相位超构表面有三类典型应用:其一,圆偏振复用技术,即利用传输相位和几何相位的偏振相关性不同,实现对LCPL和RCPL波前和振幅的按需独立调控;其二,宽带波前调控技术,即利用几何相位和传输相位的频率相关性不同,通过两者的协同调控实现宽带消色差超构透镜、宽带高效波前调控等;其三,多态波前独立调控技术,即利用传输相位和几何相位的材料相关性不同,通过引入可调谐材料改变传输相位,从而在不同材料特征下实现无串扰的不同功能。
从(7)式可知,复合相位可表示为β-2σθ。为了实现对LCPL和RCPL波前(分别记为φ1(x,y)和φ2(x,y)的独立调控,单元结构对应的传输相位和旋转角需满足:和
。图3(a)[27]和图3(b)[28]展示了两个团队的同期工作,即复合相位超构表面在全息显示方面的应用。光学全息在数据存储、彩色显示、防伪等领域具有重要应用前景,复合相位超构表面能够利用偏振自由度将其信息容量增加为原有的两倍。尽管基于纯几何相位调控的超构表面也可以在LCPL和RCPL入射时产生不同的全息像[29],但是这种全息像在傅里叶平面具备旋转对称性,需要牺牲一半的像空间,比如只观测左侧或右侧像空间,无法提升信息容量。
图3 正交圆偏振波前独立调控 (a,b)全息显示;(c,d)涡旋光束产生。左侧[27]和右侧[28,30]分别对应两个团队的同期工作
此外,复合相位超构表面可在LCPL和RCPL入射时产生任意独立拓扑荷的涡旋光束,而传统螺旋相位板和传统超构表面则无法实现该功能。图3(c)显示了LCPL和RCPL入射时,产生拓扑荷 l = 6 和 l = -4 时的仿真结果[27]。通过采用干涉的方法可检测涡旋光的拓扑荷,其大小通过花瓣数确定,而符号由花瓣旋向决定。图3(d)展示了相关实验结果,证明了该方法的正确性[30]。
除了上述全息显示和涡旋光产生,基于复合相位的偏振复用技术还被国内外多个研究团队用于实现光学边缘检测[31,32]、偏振分束[33]、自加速光束产生[34]、自旋和轨道角动量检测[35]等功能器件。由于物理思想基本一致,不再详细展开。
从上一小节可知,通过传输相位和几何相位的复合能够针对LCPL和RCPL产生完全独立的波前,那能否独立调控其振幅呢?2017年,科研人员提出利用偏振相关的局域干涉实现圆偏振振幅独立调控,并同时还能实现任意波前调控,如图4(a),(b)所示[36]。图中超级单元由4个子单元构成,其中蓝色和绿色纳米柱的几何尺寸和旋向不同,即两者具有π/2的传输相位差和π/4的旋向差(对应-σπ/2的几何相位差)。因此,在LCPL和RCPL入射时,两者总的相位差分别为0和π,从而产生干涉相长和干涉相消效应,实现振幅调控。实验结果显示,该超构表面的圆偏振光消光比约为10:1,不对称参数(LCPL透过率与RCPL透过率之差)达到0.69,而相对带宽大于30%,其性能是之前报道的单层结构的4倍以上。若同时改变蓝色和绿色纳米柱的旋向,能够在不改变振幅响应的同时进一步引入几何相位调控。图4(b)展示了其效果示意图,即LCPL入射时在透射场产生衍射图案,而RCPL入射时则在反射场产生衍射图案。
此外,利用该思想可以实现任意正交偏振振幅的独立调控,仅需改变超级单元中两组子单元结构的传输相位差和旋向差。例如2020年,通过单层全介质超构表面同时实现了线偏振滤波和任意波前调控,其方法是将旋向差固定为0,并利用纯传输相位实现干涉相长和相消[37]。同年,该方法被进一步拓展到任意正交偏振振幅的独立调控[38]。如图4(c)—(e)所示,通过组合不同的传输相位差和旋向差,便可实现对任意正交偏振(包括线偏振、圆偏振和椭圆偏振)的振幅独立调控。近期,科研人员基于类似方法实现了任意正交偏振的偏振转换二向色性[39]。该方法在复杂光场调控、光学存储和偏振成像等领域具有应用潜力。
图4 正交圆偏振振幅独立调控 (a)超级单元结构示意图,以及在LCPL(上)和RCPL(下)入射时的电场分布;(b)设计的三个器件效果示意图[36];(c—e)分别表示实现正交线偏振(c)、圆偏振(d)和椭圆偏振(e)振幅独立调控的超级单元结构示意图及电场分布[38]
色散现象广泛存在于宽带光学系统中,可分为结构色散和材料色散。例如,棱镜分光就是由材料色散造成,即不同波长处对应的材料折射率不同。对于聚焦器件,无论是材料色散和还是结构色散,均会使不同波长的光聚焦于不同的焦平面,从而产生色差,使成像质量显著降低。传统技术需组合不同材料、不同面形的元件消除色差,使不同波长的光聚焦在同一焦平面上,导致整个系统笨重庞大。2017年,研究人员提出一种基于几何相位和传输相位复合的平面宽带消色差方法[40]。超构透镜由集成共振单元组成,其消色差原理如图5(a)所示。首先旋转单元结构产生几何相位以满足与蓝色曲线对应的波前,然后利用集成共振单元调整频率相关的传输相位补偿φshift(λ)。由图5(b)所示的实验结果表明,超构透镜将 1200—1680 nm 波长范围内的入射光基本全部聚焦于同一焦平面(约为 z = 100 μm),实现了宽带消色差。2018年,上述方法被进一步拓展至可见光范围[41,42]。例如,利用二氧化钛纳米柱实现了宽带消色差超构透镜,但聚焦效率较低,在470—670 nm波长范围内,超构透镜的平均效率约为10%[41]。同年,科研人员提出利用多层结构提高宽带色散调控效率的方法,并验证了负色散、零色散、正色散和增强型负色散超构表面[43]。图5(c)的结果显示,在8—12 μm光谱范围内,超构表面的平均效率高于60%。
图5 宽带色散调控 (a)消色差透镜在 [λmin,λmax] 范围内的相位分布;(b)不同波长下实验测试结果[40];(c)负色散、零色散、正色散和增强型负色散超构表面的衍射角、衍射效率(虚线)和绝对效率(实线)[43]
图6 宽带高效广角波前调控[45] (a)四种类型的亚波长结构示意图;(b)OSM总相位分布、NSM总相位分布,及NSM的寄生传输相位分布;(c)正入射下四种亚波长结构的衍射效率;(d,e)平面单片式超广角超构透镜原理图和室内成像结果图
图7 多态可切换光子自旋—轨道相互作用(PSOIs)效果示意图[50]
利用几何相位和传输相位在自旋、频率和材料方面的不同相关性,复合相位超构表面可解决传统超构表面面临的功能单一、带宽受限、可调谐性差等问题。该方法自提出以来,得到了国内外科研人员的广泛研究,并涌现出系列功能器件以提高器件的功能集成度,如光学边缘检测、全息显示、偏振转换、涡旋光束产生等功能器件。复合相位超构表面不但具备集成化、轻量化和平面化等优势,而且为多功能集成器件的设计提供了新的自由度,在偏振成像、偏振探测、AR显示等领域有较高的应用价值。
目前复合相位超构表面主要针对传输相位和几何相位,但该原理方法可以拓展至其他相位甚至更多种相位的协同调控。随着复合相位调控理论的不断完善和深入,多功能集成器件将日益增多以降低光学系统复杂度。复合相位超构表面虽然在一定带宽范围内实现了正交偏振光的独立调控,但是部分器件的性能在远离中心波长位置时迅速下降,有待于进一步拓宽其响应带宽。多态波前调控技术仍处于研究初期,可实现三种状态的切换,如何实现更多的且相互无串扰的多功能集成,需继续深入研究。此外,基于复合相位调控理论,有望通过更简单有效的方法实现对光波振幅、偏振和相位的按需独立调控,为产生和研究新型复杂矢量光场提供有力工具。
通过对光子传输相位和几何相位的协同调控,能够实现非对称光子自旋—轨道相互作用、多态波前解耦、平面宽带消色差等新的物理现象和电磁功能。众所周知,量子系统中同样存在传输相位和几何相位。当对两者进行协同调控时,是否也能够产生新的物理现象和应用呢?
超构表面专题:
《物理》在淘宝店和微店上线,扫码即可购买过刊和现刊。