白石道人姜夔,南宋词人,一生布衣游食四方,存词只有80余首,不算高产(虽然他21岁写下的《扬州慢.淮左名都》入选中学语文课本,诸君可以想想自己21岁时在做什么)。但在他43岁那年的正月里,情感不知为何受到了大的扰动,爆发似的一口气写下一组五首《鹧鸪天》(准确地说是从正月初一到正月十六,从第一首《鹧鸪天.丁巳元日》到第五首 《鹧鸪天.十六夜出》),曲折地追怀自己生命中一段年轻的爱情,五首皆为精品。43岁在今天仍是青年(比如现在很多地方青年以45岁为限),而古人已自视为老年了。可是就在彼时,潦倒的老词人被内心中深埋的情感所激励,创造出如许优美的文字,其中隐隐的心跳,急促的呼吸,升高的血压与强忍的失眠和泪,更升华到对于美好情感的普适追求,八百年后读之仍然鲜活。
当然,我们这里不是诗词鉴赏栏目,我们只谈对于生命中美好事物的追求。且看其中第四首:
《鹧鸪天.元夕有所梦》
肥水东流无尽期,当初不合种相思。梦中未比丹青见,暗里忽惊山鸟啼。
春未绿,鬓先丝,人间别久不成悲。谁教岁岁红莲夜,两处沉吟各自知。
头两句就是我们这篇文字题目的来源。姜夔在睡梦中追忆自己青年时的恋人,在我们后人看来,除了个人生活中的伤情,这好似淡漠的句子中其实寄托着人生绵绵不绝的悲凉、久违和一再错过的沧桑,是普适的人类情感和人生体验。词人通过他的艺术,对于困厄现实进行了美的升华,也让自己在对于美好事物的追求中,超越个体的悲欢。这才是艺术 -- 也包括科学 -- 让一代代人前赴后继的动力:让我们从个体的悲欢起,超脱到人类的悲欢止,这追求本身,就是寄托。
书归正题,最近有五个人完成了一项凝聚态物理学的研究工作,承蒙编辑部和 Referee 的支持,发表在最近一期的Chinese Physics Letter [1]。
Received 28 May 2021; online 4 June 2021
EXPRESS LETTER
Momentum Space Quantum Monte Carlo on Twisted Bilayer Graphene
Xu Zhang (张栩), Gaopei Pan (潘高培), Yi Zhang (张燚), Jian Kang (康健), and Zi Yang Meng (孟子杨)
Chin. Phys. Lett. 2021 38 (7): 077305
文章发展了动量空间量子蒙特卡洛算法,处理转角石墨烯等二维量子材料中涌现出的长程库伦相互作用问题。长程的库伦相互作用,是关联电子系统中长期以来的普遍性难题之一(所以也就有意思,有它的美妙之处),比如量子霍尔效应或者分数量子霍尔效应这样的二维系统,电子之间存在的就是长程库伦相互作用。对于这样的系统,幸好有 Laughlin 猜出的波函数,作为很多情况下的理论极限,让人们有可以下手的地方,否则真是望费米海而兴叹了。而从量子多体问题严格数值计算的角度出发,发展出具有普适性、系统性的解决方案的尝试,一直没有成功。与具有短程相互作用(屏蔽之后)的 Hubbard 模型、海森堡模型等问题中量子蒙卡、张量网络大显身手不断取得进展相比,具有长程库伦相互作用的二维关联电子系统的数值求解,一直没有方法上的突破,显得寂寞和冷清。
近几年来,随着转角石墨烯,过渡金属二硫化物等更加优异的二维关联量子材料的出现,尤其是这些材料中也观察到了关联绝缘体、超导等短程相互作用材料(如高温超导)和模型(如 Hubbard 模型)中常见的典型量子多体物态 (见文献 [2]),如何求解长程库伦相互作用,如何发展出像严格求解实空间短程相互作用的 Hubbard 模型的行列式量子蒙特卡洛算法等问题,就又被大家提起和关注。人们都知道,要想求解长程相互作用,需要走向动量空间。这是因为在实空间中,无论如何扩大截断范围,仍是短程相互作用,而与扩大截断范围所伴随的计算复杂度的增长,很快就会超出目前计算能力的极限。问题是,谁能成功地走出第一步,成功地在动量空间的相互作用模型中发展出量子蒙特卡洛算法,得到正确的结果,为后续的进展指出方向。
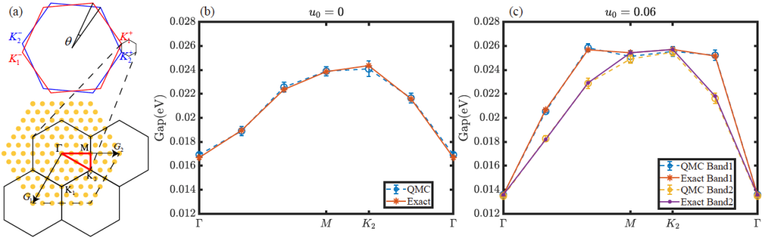
图1. (a) 转角石墨烯的布里渊区和摩尔布里渊区,以及动量空间蒙卡所处理的摩尔布里渊区和有限的动量传递。(b), (c) 动量空间蒙卡有限晶格计算所得的单粒子能隙与严格解的对比。(图片来自文献 [1])
这篇文章就是回应这普适追求的一个尝试,只是起步,得到了一点有益的结果。我们发现采用动量空间的转角石墨烯有效模型,考虑长程库伦相互作用(投影到平带),在一些参数范围内可以用行列式量子蒙特卡洛方法严格求解,也从数学上证明了算法可以有效工作的原因(术语叫如何避免符号问题)。具体的推导和结果,感兴趣的同学和专家可以深入文章 [1],与已知的严格结论的 benchmark 对比,在图1中展示。当然这只是开始,还有太多需要完善的地方,比如如何考虑材料中实际的能带效应,如何在动量空间中计算不同的物理可观测量等。这些具有普遍意义的问题就是吸引着从业人员不断追求下去的动力。
“库伦作用无尽期,动量蒙卡寄相思”,一如八百年前的姜白石,正是这对于具有普适意义的科学问题的追求,给了我们超越个体悲欢的寄托,推动着领域前进。
参考文献:
[1] Momentum space quantum Monte Carlo on twisted bilayer Graphene
Xu Zhang, Gaopei Pan, Yi Zhang, Jian Kang, Zi Yang Meng
Chin. Phys. Lett. 38, 077305 (2021) Express Letters
[2]. 转角石墨烯的三昧,物理, 2021, 50(5): 348-352,https://mp.weixin.qq.com/s/bwy6beaE7gILl6RAVqqZFQ
原文链接
HTML
研究快讯集锦
Kagome化合物CsV3Sb5单晶超导态的各向异性
CsV3Sb5中高度稳定的超导再进入现象
水热Fe1-δSe单晶薄片:反常的正常态和超导态特性
双层石墨烯局域应变的近场红外探测
稀土氧卤化物——具有范德瓦尔斯层状结构的Kitaev自旋液体候选材料家族
在非魔角石墨烯中发现陈绝缘体
磁性扭转双层体系中赝自旋织构诱导的奇异介电行为
最大独立集的量子近似算法
宇宙线电子能谱和Klein-Nishina效应
分子量子比特的自旋相干时间突破到毫秒量级
纳米金属玻璃颗粒的动力学转变现象
线性非厄米系统中受对称性保护的散射
PandaX-II对太阳轴子和中微子反常磁矩的搜寻
水二聚体中氢键作用的反协同效应
应变调控单层WSe2中的贝里曲率偶极矩、轨道磁化与非线性霍尔效应
量子传感可突破经典探测盲区
BaCuS2: 一种具有中等关联强度的超导体
单层有机-无机杂化卤化铅钙钛矿中的激子涡旋
反应率加权的多层核反应网络
X0(2900)和X1(2900):强子分子态或者紧束缚四夸克态?
基于标准四电极法研究笼型富氢化物LaH10的高温超导电性
原子厚度磁性双层中的巨大自旋转移矩
双层CrI3铁磁耦合效应的增强
爱因斯坦热随机行走模型的重生:一个可以计算液体与非晶固体热导率的统一公式
双轨道量子反常霍尔模型
点此浏览所有Express Letters
为了保证重要研究成果的首发权和显示度,CPL于2012年6月开设了Express Letters栏目。此栏目发表速度快,学术质量高。截至2020年底,平均每篇被引用约20次,已经在国内物理学界建立起良好口碑与声望,来稿数量不断增加。
本文经授权转载自《ChinesePhysicsLetters》微信公众号