|作者:刘正鑫1,† 王孝群2,3 张清明4,5
(1 中国人民大学物理系)
(2 上海交通大学物理与天文学院 李政道研究所)
(3 沈阳材料科学国家研究中心)
(4 兰州大学物理科学与技术学院)
(5 中国科学院物理研究所 北京凝聚态物理国家研究中心)
本文选自《物理》2021年第7期
摘要 当温度趋于零时,如果阻挫自旋系统不呈现长程磁序也不破缺晶格对称性,而且其低能物理性质表现出分数化的量子特征,这种状态称为量子自旋液体态。量子自旋液体随着高温超导的发现而被大量研究,它超越了朗道对称自发破缺的理论框架,并促进了拓扑序理论的发展,其分类理论是以投影对称群为代表的现代数学工具。量子自旋液体中的元激发是分数化的自旋子和演生规范场的光子或量子化磁通,有能隙的量子自旋液体可应用于拓扑量子计算。研究量子自旋液体的理论工具还包括严格可解格点模型、各种不同的数值计算方法和量子场论等。实验上,三角晶格、笼目晶格、六角晶格甚至三维格点系统中的量子自旋液体候选材料相继被发现和深入研究,探测手段包括核磁共振、中子散射、热输运等,调控方法包括高磁场、高压强等。确切的量子自旋液体材料的寻找仍在持续进行中,近些年发展尤其迅速。中国研究人员做出了很多努力,并在部分方向上逐步开始起引领作用。量子自旋液体是一个充满困难和挑战的研究领域,也是一个充满魅力和活力的领域。
关键词 阻挫,磁无序,自旋子,分数统计,任意子,演生规范场,禁闭,解禁闭
量子自旋液体是量子磁性系统的一种特殊的量子无序态。与强关联体系中的高温超导和分数量子霍尔效应类似,量子自旋液体超越了传统凝聚态理论框架,促进了相互作用系统中低能演生规律的探索,丰富了我们对自然界中物质形态的认识。量子自旋液体的研究以大量的实验为基础,以新颖的理论为指导,是研究多体纠缠和新的物质序的理想平台,对现代凝聚态实验和理论的发展起到重要的推动作用。
电子的自旋携带磁矩,从而自旋的微观状态直接影响系统的宏观磁学性质。当电子的电荷自由度因为强相互作用被冻结形成莫特(Mott)绝缘体时,系统的低能自由度体现为相互作用的自旋。由于相互作用,在低温下自旋指向通常呈现长程的周期排列以降低能量,从而使系统展现出宏观的铁磁或者反铁磁序。随着温度升高,这些周期排列的磁序被热涨落融化,发生相变进入无序的顺磁相。那什么是自旋液体呢?从字面上很难看出这究竟是一种什么样的物质形态。为了窥其一斑,我们不妨从液体开始谈起。
经典自旋液体:液体最直观的属性是其流动性和不可压缩性。另一方面,从物质的气液固三种形态的角度来看,有别于固态的周期结构和长程有序,液态是具有短程关联而长程无序的宏观状态,微观上具有很强的涨落效应。低温下,相互作用驱动分子或原子周期排列形成晶体,随温度升高,分子或原子振动加剧,在熔点处晶格融化为液体状态,进而在沸点蒸发为气态。自旋系统从长程磁有序态到短程无序态这个变化过程非常类似于从固态到液态或气态的相变。如果将高温下的顺磁态比作无序的气态,那么自旋液体指在极低温(甚至绝对零度)下不出现长程磁序的短程关联状态。什么因素阻止了自旋系统在低温下形成长程的磁序呢?是几何阻挫或者竞争相互作用造成的高度简并。如果自旋处于特殊的晶格上(比如烧绿石晶格),反铁磁自旋相互作用下的经典基态(也就是绝对零温度下的能量最低状态)简并度随着系统尺寸指数增加,远高于普通对称自发破缺造成的简并度,系统的状态是所有这些可能状态中的一个,往往不呈现出宏观的磁序,从而形成了(经典)自旋液体态。
量子自旋液体:上面给出了自旋液体的经典图像。当温度趋于零时,阻挫自旋系统往往表现出强的量子效应。如果系统的基态不呈现长程磁序,而且低能物理性质表现出分数化的量子特征,那么这种状态便是量子自旋液体态。量子系统具有两个特性,一个是以“测不准原理”著称的物理量的非交换性,另一个是以“波粒二象性”著称的态的相干叠加性。由于自旋算符的三个分量不可交换,满足“测不准原理”,因此自旋系统体现出强的量子涨落效应,尤其是自旋量子数越小,量子涨落越强。宏观系统中,自旋自发破缺对称性形成长程序的趋势与量子涨落形成无序的趋势互相竞争和制约。一方面,即使在有长程序的系统中,量子涨落会部分融化被“冻结”的静态磁矩,从而进一步降低能量(量子效应的零点能修正)。另一方面,如果系统的阻挫很强,量子涨落效应占优势,则长程磁序被抑制,形成无穷多个自旋位形相干叠加的高度纠缠的无序态。
相对严格的定义是,量子自旋液体指宏观反铁磁体系中在零温度下不呈现长程磁序、不自发破缺晶格平移和晶格旋转对称性的量子顺磁态。绝大多数磁性材料中,量子涨落通常都不足以完全融化低温下的静态磁序,这些材料在极低温下都呈现出宏观的磁性长程序。而且,即使系统的基态不显现宏观磁有序,还要排除晶格对称性是否发生了破缺。总之,量子自旋液体是量子涨落效应占主导地位的多体纠缠态,自然中非常罕见。即使在实验室,量子自旋液体的制备也是困难重重;就算找到候选材料,由于受到相互作用的复杂性和杂质缺陷等诸多影响低能物理性质的因素存在,往往使得某些实验现象似乎自相矛盾,难以辨其真实面孔,只能结合多种不同探测手段来窥其一二。那么,量子自旋液体中究竟藏着哪般奥秘,吸引着物理学家们克服重重困难孜孜不倦的探寻呢?
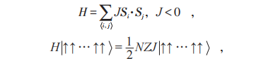
人类很早就对磁性有了感性认识。《管子》中“上有慈石者下有铜金”和《吕氏春秋》中“慈招铁”是我国关于铁磁性最早的记载。古人还利用磁体和地磁的相互作用制作了指南针。而物质磁性的本质,却是在量子力学发展起来之后才得到充分认识。铁磁现象源自于自旋系统中近邻自旋之间的铁磁相互作用,当相邻两个自旋指向相同时,相互作用能量最低,
其中N 为格点数,Z 为配位数,|J | 为相互作用强度。低温下,所有自旋都自发地指向一个特定的方向,系统获得宏观的铁磁性(图1(a))。随着温度变化,系统发生铁磁—顺磁相变。朗道从这个相变中抽象出对称性自发破缺的理论,对物质的序和相变现象进行了深刻而普适的描述。铁磁序的出现伴随着自旋旋转对称性的自发破缺。二维或者三维磁有序态上的低能激发是被翻转的自旋以波动的形式向外传播的自旋波。当磁序自发破缺了自旋之间的相互作用所具有的连续旋转对称性时,自旋波激发形成无能隙的戈德斯通(Goldstone)模。
反铁磁序的发现则更加曲折。如果近邻自旋指向相同时,相互作用能量最高,
这种相互作用称为反铁磁相互作用。奈尔猜测,无阻挫的反铁磁系统在低温下自旋指向按上下间隔方式排列,这种排列方式称为奈尔序(图1(b))。奈尔序的出现也对应于系统自旋旋转对称性的自发破缺,其上的低能激发也是自旋波。
那么,无序的量子自旋液态状态是如何出现的呢?为了直观地理解其根源,我们不妨先研究一下系统只有两个自旋为S=1/2的情况。当自旋间相互作用是反铁磁性时(J>0),系统的基态并不是前面说的经典状态,也不是
,因为这两个态根本不是能量本征态。真正的基态是两者等权叠加形成的自旋单态:
在经典基态或者
中,相互作用的能量是 -1/4 J,但是在上面的自旋单态中,相互作用的能量是 -3/4 J,也就是说,量子相干叠加效应使得基态能量比经典基态的能量降低了200%!这个自旋单态中,两个自旋的状态发生了最大的纠缠(图1(c))。如果对其中一个自旋的状态进行测量,则其自旋指向沿着任意方向都是等概率出现的,充分体现了“磁无序”的特点。自旋量子数越大,量子效应对能量的修正越小。比如当S=1时,量子效应对两体基态能量的修正为100%。
上面是量子叠加效应的极端情况。随着系统维数的升高和自旋数目的增加,量子效应造成的能量修正的比例也会减小。那么在热力学极限下,究竟是经典的长程序胜出,还是量子涨落效应胜出呢?历史上对这个问题有两派观念。以奈尔为代表的一方认为,反铁磁系统和铁磁系统类似,会形成周期排列的长程磁序;而包括朗道在内的另一方则认为,量子效应更重要,系统真实的基态应该是无序的[1]。但是,由于奈尔序中不同指向的磁矩整体上互相抵消,系统并不显示宏观的磁矩。即使系统在低温下处于奈尔反铁磁长程有序态,从宏观上也难以和无序态进行区分。
谜底直到中子散射技术发明并被用于凝聚态研究之后才得以揭晓。中子的自旋是1/2,从而携带有限的磁矩。如果晶体中的正离子携带磁矩并形成长程的反铁磁奈尔序,则中子在穿过晶体时其波函数会受到周期排列的磁矩的衍射,从而在探测器的衍射条纹中出现尖锐的布拉格峰。中子散射实验在大多数反铁磁体系中都观测到了这个布拉格峰,表明反铁磁长程序获胜。对长程磁序的磁体以及低能自旋波激发的研究一时占了主流。
其实,对量子无序基态的怀疑是有根有据的。早在1931年,一维S=1/2反铁磁海森伯链的基态就被贝特严格解出[2],其基态没有真正的长程奈尔序,低能激发不是自旋波,而是类似于孤子的畴壁,形成分数化的连续统(图2(a))。20世纪80年代初,在对一维反铁磁链的研究中,Haldane(2016年诺贝尔物理学奖得主)提出他著名的猜想[3,4],即一维反铁磁海森伯链的基态都是无序的,其中半整数自旋链的激发谱是无能隙的,而整数自旋链的激发谱是有能隙的。S=1自旋链中有能隙的无序态在有各向异性相互作用时依然稳定存在,形成一个相,被称为Haldane相。Haldane猜想提出20多年以后,顾正澄和文小刚揭示了Haldane相属于对称性保护拓扑相[5]。Haldane相中的低能元激发和自旋波类似,是带整数自旋的磁波子激发(图2(b))。一维自旋链中的无序基态暗示,同样的故事也可能发生在更高空间维度的量子磁性系统中。尽管早期实验上观测到的二维和三维反铁磁材料大多都具有长程磁序,人们对量子无序基态的思考和探索也并不是徒劳无功。
高温超导被发现之后,安德森(1977年诺贝尔奖得主)意识到铜基高温超导的母体并不是传统BCS超导的母体费米液体,而是共振价键态[6],后来被归属于量子自旋液体。在共振价键态中,自旋两两配对形成单态,但是系统波函数是所有可能配对位形的“共振”叠加态(图3(b))。自旋之间不同配对位形的共振叠加可以保证自旋波函数不破缺晶格所具有的对称性。这里要注意区分共振价键态和价键晶态(valence bond crystal),价键晶态中的旋转对称性也没有发生破缺,但是其不同位置和不同取向的键上自旋配对的强度不同,晶格平移和旋转对称性都自发地被破缺(图3(a))。时间反演对称性是例外,共振价键态中允许时间反演对称发生自发破缺。比如手征自旋液体正是这种情况[7,8]。
共振价键态中,配对的自旋非常类似于超导中电子间形成的库珀对,区别是自旋被局限在晶格上不能自由移动。只有当系统中掺入载流子而且其浓度达到临界值之后,已形成自旋单态的自旋对才相当于库珀对,其相干运动形成超导态。这是铜氧化合物在最佳掺杂和临界温度以下形成超导机制的粗略图像。更严密的叙述需要引入自旋和电荷自由度的分离以及二者之间的规范相互作用[9],这些我们稍后再介绍。
事实上,铜基高温超导中铜离子和氧离子形成准二维四方晶格,不掺杂的时候,铜离子之间具有强的反铁磁相互作用,使得系统形成完美的反铁磁奈尔序。只有掺入一定的载流子之后,长程的反铁磁奈尔序被电和磁的双重涨落效应融化为自旋液体态,共振价键的图像才适用。高温超导的发现和深入研究重新点燃了在二维(甚至三维)纯自旋系统中寻找量子自旋液体这种量子无序态的希望。此后理论学家和实验学家都致力于在不掺杂的反铁磁系统中寻找内在的量子自旋液体态。
跟高温超导的密切关系暗示,量子自旋液体并不是平庸的顺磁态,其中蕴藏着某种内在的相干性,或者某种新的“序”[10,11]。这种新的“序”正是量子自旋液体的魅力所在,也是这个研究方向长久生命力的来源。由于自旋液体中没有磁性长程序,朗道的对称自发破缺理论不能描述这种“序”。什么工具能用来描述这种新的“序”呢?我们从两个方面来分别进行介绍。
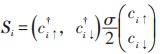
安德森提议,对BCS超导波函数进行Gutzwiller投影之后便可得到共振价键态[6],这成为研究量子自旋液体的一种有效的方案。根据这个方案,自旋的希尔伯特空间首先被映射为费米子(被称为自旋子)的希尔伯特空间,
,其中
代表真空态。在此表象下,自旋算符被表达为
。为了保证费米子希尔伯特空间与自旋相同,需要引入局部的粒子数约束
。这里费米子(自旋子)和电子的性质很类似,区别是前者不带电荷,而后者带电荷。在费米子表象下,相互作用的自旋模型被映射为相互作用的费米子模型,在平均场近似下可求解得到费米子波函数,然后实施Gutzwiller投影使得粒子数约束强制性地得到满足,可得到逼近于自旋模型基态的量子自旋液体波函数。Affleck,Zou,Hsu,安德森等人发现[12],对费米性自旋子不仅存在全局的SU(2)自旋旋转操作(自旋算符在此操作下按矢量的规律进行变换),
还存在一个局域的SU(2)操作,
这两种SU(2)操作可以交换顺序。在第二个局域SU(2)变换下自旋算符不变,而且系统的所有可观测物理量都不受影响。这表明局域SU(2)变换的作用对象是一个冗余的自由度,因此是个规范对称性。
如何理解这种规范对称性呢?我们不妨退回到莫特绝缘体的基本模型,即哈伯德(Hubbard)模型:
这里c↑,c↓算符代表电子算符。与Affleck等人的工作几乎同一时期,杨振宁和张首晟发现四方格子上半满的Hubbard模型((3)式)具有SO(4)=SU(2)×SU(2)/Z2的对称性[13]。SO(4)对称性中的第一个SU(2)是广为人知的自旋旋转对称性,即系统在(1)式变换下保持不变;第二个SU(2)比较隐秘,描述的是电荷自由度的SU(2)对称性,即哈伯德模型在电子和空穴之间的SU(2)混合操作下保持不变(这里电子空穴混合的SU(2)矩阵在两个子晶格上略有不同,其中一个子晶格上的变换方式与(2)式变换相同,另一个子晶格上的变换方式与(2)式相差一个幺正变换)。
自旋模型中的局域规范对称性正是来源于哈伯德模型中的全局电荷SU(2)对称性。在大U 极限下,电荷自由度被完全冻结,作用于电荷自由度的SU(2)操作对系统波函数不再产生影响。也就是说,在半满和单占据条件下,费米子波函数在局域的电荷SU(2)变换下保持不变。因此,电荷的SU(2)全局对称性退化为局域的SU(2)规范对称性。无自旋轨道耦合的量子自旋液体的平均场哈密顿量是[14]:
其中,平均场参数Uij相当于与自旋子耦合的背景SU(2)规范场,蕴含了SU(2)规范结构,τ是SU(2)规范群的生成元。背景SU(2)规范场Uij使得平均场哈密顿量中的规范对称性降低为SU(2)规范对称群的子群。平均场哈密顿量中剩余的规范对称性被称为不变规范群(invariant gauge group)[15],最常见的不变规范群包括U(1)或者Z2,相应的自旋液体分别被称为U(1)自旋液体或Z2自旋液体。
在长波极限下,平均场参数在经典值附近的低能涨落可以等效看成是与自旋子耦合的规范场,而这其中的规范群正是不变规范群。因此,不变规范群决定了系统在低能下的物理性质。比如,U(1)狄拉克自旋液体中自旋子具有狄拉克类型线性色散关系,描述其低能有效理论的作用量是:
其中ψ(x)是连续极限下的自旋子场,aµ是演生的U(1)规范场(可以理解为路径积分中鞍点附近的低能涨落),fµν是其场强,fµνf µν是演生U(1)规范场的麦克斯韦项。这里我们假定系统具有时间反演对称性。否则,如果自旋子具有非零的陈数,则还需要加上额外的Chern—Simons项(见后面手征自旋液体的讨论)。上述拉格朗日量跟描述三维时空中的量子电动力学理论(quantum electromagnetic dynamics)是相似的,这是高能物理的场论模型在凝聚态低能极限下得到展现的生动例子。根据上面的低能场论模型,U(1)量子自旋液体中的低能元激发包括规范电荷(即自旋子)和无能隙的规范光子。如果自旋子的能带具有费米面,那么我们需引入自旋子的有效质量m∗,同时将(4)式中的线性色散换成二次色散,也就是用替代
。
凝聚态与高能物理的不同之处在于,凝聚态中的红外和紫外截断是自然出现的,红外截断来自于系统尺寸的大小,而紫外截断来自于晶格常数。正因为这个原因,上面(4)式中的演生U(1)规范场是紧致规范场。对于三维时空中的紧致U(1)规范场,时空中还有一种非平滑的激发,即瞬子。瞬子往往会破坏系统的某些对称性。当规范场不与物质场耦合时,瞬子总会发生激增,破坏系统的规范荷守恒律,使得规范场发生禁闭。在凝聚态中,瞬子的激增使得系统偏离量子自旋液体相,进入磁性长程序相或者价键晶体相[16,17]。
为了避免出现瞬子激增,从而保持U(1)规范场解禁闭,一般认为需要无能隙的物质场与规范场耦合。因此如果自旋子具有费米面,就能保证U(1)规范场解禁闭。如果自旋子色散只具有狄拉克类型的节点,能否保证U(1)规范场解禁闭呢?答案是肯定的。但是,究竟需要几个狄拉克节点(节点数就是量子电动力学中不同费米子“味”的数目Nf)才能保证U(1)规范场不发生禁闭呢?这依然是一个开放的问题。有观念认为Nf=4足以保证U(1)规范场解禁闭。这个问题的最终答案可能需要结合解析和数值计算来寻求。
如果自旋子之间存在配对,也就是平均场下自旋子数目不守恒,那么不变规范群可能会进一步降低为Z2。Z2规范场元激发包括的自旋子和规范磁通都是有能隙的,即使不与无能隙物质场耦合,Z2规范场也可以不发生禁闭。因此,Z2量子自旋液体既可能是无能隙的,也可能是有能隙的。对于有能隙的Z2量子自旋液体,其低能有效理论是Z2规范场理论。Kitaev提出了一个严格可解的模型,被称为toric-code模型[18],用来描述格点上的Z2规范场:
其中保证顶点处Z2规范荷为0,
保证回路中的磁通为0(图4(a))。模型中As项给出的元激发是规范电荷,用e 标记,Bp项给出的元激发是量子化到π的规范磁通,用m标记,文献中也称为vison。
无论是U(1)自旋液体还是Z2自旋液体,其中的元激发都不能单个被产生。只有当多个自旋子或磁通被同时激发,使得系统整体上不显示剩余的规范荷和规范磁通才被允许。如果系统具有对称性,每个元激发往往携带对称群的分数表示。因此这些元激发通常被称为分数激发。尤其当系统具有能隙时,元激发之间的交换统计性质可能不同于原自旋系统的玻色统计,也就是说绝热地交换两个全同的元激发,系统可能会得到非零的相位。这样的统计性质称为分数交换统计,而有能隙的满足分数统计的元激发被称为“任意子”(anyon),在后文中还会进一步探讨。
从上面的分析可见,量子自旋液体系统的低能物理性质由规范场理论来描述,这和描述磁有序态低能性质的Landau—Gintzburg理论是全然不同的。前者的低能激发是分数化的规范电荷和光子(或磁荷),而后者的元激发是满足玻色统计的自旋波。
随着分数量子霍尔效应的发现[19,20],拓扑物态的研究蔚然兴起。分数量子霍尔效应超越了Landau—Ginzburg理论,不以对称自发破缺为基本特征,取而代之的是无能隙的手征边界态[21]、量子化的电磁响应、分数化的元激发以及与空间拓扑结构密切相关的基态简并度[22]。Chen—Simons拓扑量子场论:
在这里大显身手[23],简洁漂亮地描述了系统的宏观物理性质。为了突显这一类有能隙、携带分数化元激发的物质形态的特点,文小刚将背后隐藏的共性抽象为“拓扑序”[11](文小刚因在拓扑序研究中的开创性贡献,与另一位先驱Kitaev共享了2017年Oliver E. Buckley奖,并获得2018年Dirac奖章)。拓扑序泛指由拓扑量子场论描述的有能隙的量子态所具有的“序”,不仅存在于电荷系统中,也存在于纯自旋系统中。前面提到的toric-code模型基态就具有拓扑序。Toric-code模型的基态被Levin和文小刚阐释为弦网凝聚的图像(图4(b)),并推广到更加一般的情形[24]。
图4 (a)描述Z2规范场的 toric-code 格点模型;(b)Z2规范场的弦网凝聚图像
自旋系统中具有拓扑序的另一个典型例子是手征自旋液体[7,8]。在手征自旋液体的费米子表象中,c↑和c↓两种自旋子感受到相同的背景规范“磁场”,都处于ν=1的整数霍尔态,也就是填满第一朗道能带的状态。Gutzwiller投影以后,等价于填充数为ν=1/2的玻色型分数霍尔态,其中自旋子激发是满足分数统计的任意子。下面我们来分析Gutzwiller投影后的自旋波函数如何产生任意子。在平均场中,两种费米子能带的陈数都是1,总陈数是2,因此规范荷密度正比于磁通密度的2倍。如果在局部回路中绝热地插入规范磁通,局部规范荷密度将增加,但自旋量子数不会发生变化。当插入的规范磁通是π,因霍尔效应,局部会增加+1的规范荷,相当于增加一个自旋子所携带的规范荷,但不产生自旋量子数的改变。为了保证粒子数约束得到满足,也就是保证局部规范荷是0,需要拿掉一个自旋子,也就是加进来一个“空穴”。这个“空穴”是费米性的,携带1/2自旋以及−1规范荷。从而,系统的元激发是π磁通及附加的“空穴”。交换两个这样的元激发相当于一个元激发绕另一个元激发走半圈。其中,一个元激发中π磁通携带的规范荷绕另一个元激发的π磁通绕半圈产生π/2的Aharonov—Bohm相位(由于π磁通携带的规范荷是Chen—Simons项产生的,π/2的Aharonov—Bohm相位只需计算一次),而“空穴”与π磁通互绕半圈产生-π的Aharonov—Bohm相位(这里的-π相位包括了第一个元激发中的“空穴”与第二个元激发中的π磁通互绕半圈以及第一个元激发中的π磁通与第二个元激发中的“空穴”互绕半圈的总效果),另外考虑到空穴作为费米子交换产生π的相位,系统波函数得到的总相位是π/2。这说明,缀饰π磁通的“空穴”是自旋为1/2、统计角为π/2的任意子,被称为“半子”。两个全同半子束缚态的总自旋是整数且满足玻色交换统计,可认为是个玻色子。同理,要产生一个自旋子激发需要同时绑定−π的磁通才能使局域粒子数约束得到满足。同样的分析可以得知,缀饰上−π磁通的自旋子激发也是统计角为π/2的半子。
自旋和电荷是电子的两种截然不同的自由度,竟然可以处于如此高度相似的量子态!读者朋友看到上面的结论是否觉得妙不可言?当年诺贝尔奖得主Laughlin(因分数量子霍尔效应的研究而获1998年诺贝尔物理学奖)听到文小刚给他介绍这个研究结果后,激动地跳了起来1)。【注:1) 文小刚.《返朴》公众号:https://mp.weixin.qq.com/s/rhN70LyCflBOJ6kQ1Gn0w】
除了手征量子自旋液体,自旋系统中还存在更多形形色色的量子自旋液体态,以演生的规范对称性和分数化元激发为特征,或有能隙或无能隙,伴随着复杂的多体纠缠和强烈的量子涨落。那么,如何对这些不同的量子态进行归类?能否在格点模型中实现,进而在具体材料中加以实现?实验上如何对量子自旋液体进行探测和分辨?下一小节我们将介绍这些问题的进展。
量子自旋液体的研究已有30余年,理论和实验上都取得了很多进展,而且当今阻挫量子磁性领域受关注程度日益增加。下面我们从理论和实验两方面,以时间先后为脉络,对这些年的发展进行一下梳理。
1987年,安德森提出共振价键理论,标志着量子自旋液体研究方向正式开启。1988年,Affleck等人发现了费米子表象中的局域SU(2)规范对称性,为量子自旋液体理论的进一步发展奠定了基础。2002年,文小刚基于量子自旋液体的平均场描述和SU(2)规范理论,根据对称群在平均场中的表现形式,提出投影对称群(projective symmetry group)的概念[15],用来描述自旋液体的对称性并对其进行分类。投影对称群可以通过一个简单的例子加以说明。考虑四方晶格上的U(1)自旋液体,其中自旋子感受到每个方格子有π的规范磁通,文献中称之为π-磁通态(π-flux state)。由于晶格的元胞中磁通不是2π的倍数,平均场哈密顿量的元胞必须扩大一倍以保证新的元胞中磁通是2π。如果选取规范使得自旋子的跳跃(hopping)项沿着x方向是平移不变的,得到哈密顿量:
此时沿着y方向平移单位晶格常数时哈密顿量发生了变化,只有平移两个晶格常数才能保持不变,如图5所示。但是,在沿着y方向平移单位晶格常数之后,得到的新哈密顿量可以通过一个规范变换回到原来的哈密顿量,只需将y方向坐标为偶数格点上的自旋子都乘以−1即可。
一般来说,平均场的对称元素是实际对称操作与内部SU(2)规范变换的联合操作,这些操作构成一个更大的群,即投影对称群。投影对称群的观念将物理的对称性与多体系统中的演生规范结构关联了起来,是对拓扑与对称之间微妙的交互关系进行探索的先驱理论之一。投影对称群可以用来对量子自旋液体进行(部分的)分类,这一分类工具一直沿用至今。
2006年,Kitaev提出六角晶格上严格可解的自旋模型[25],实现了有能隙或者无能隙的Z2量子自旋液体基态波函数(图6)。模型哈密顿量为
其中Jx,Jy,Jz分别为x,y,z三种不等价键上的相互作用强度。Kitaev引入4种马约拉纳费米子算符(与复费米子表象等价,需要同时引入一个局域的约束)来表达自旋,并充分利用守恒量,从而将相互作用的自旋模型转化为无相互作用的马约拉纳费米子模型,求解难度从随系统尺寸指数增加降低为多项式增加。这个简单的模型有4个自旋液体相,其中3个有能隙相与toric-code模型的基态可绝热相连,中间的无能隙相低能色散中有两个马约拉纳锥,但自旋—自旋关联函数是极短程的。有趣的是,在外加磁场下,无能隙的量子自旋液体可以打开能隙,并得到陈数为1的非阿贝尔手征量子自旋液体。和拓扑超导中涡旋携带零模类似,这个手征自旋液体中的π磁通也会束缚一个马约拉纳零模,形成非阿贝尔任意子,满足非交换统计,从而可以用于执行拓扑量子计算。其标志性的实验特征是半整数量子化的热霍尔平台。Kitaev还讨论了更大陈数的手征量子自旋液体,发现陈数改变16对元激发的统计性质不产生影响,只影响系统的边界态。因此,二维Z2规范手征自旋液体的“分类”是Z16。Kitaev通过上面的严格可解模型(5)式论证了量子自旋液体的确可以在简单的自旋格点系统中实现,鼓舞了人们在实验上制备量子自旋液体的信心。2009年左右,Jackeli和Khaliullin提议Kitaev类型的相互作用的确可在相关材料中实现[26],进而掀起了Kitaev材料相关研究的热潮(详细内容可参照本专题文章《通往量子自旋液体的新路径——Kitaev模型的材料实现》)。
2010年左右,多体纠缠和拓扑物态的关系明晰化,长程纠缠和短程纠缠的概念被提出[27]。量子自旋液体大多都属于长程纠缠的多体量子态,其中有能隙的量子自旋液体属于对称富化拓扑相(symmetry enriched topological phases)。大多数磁长程有序态和后面将要讨论的对称保护拓扑态属于短程纠缠态。
2013年左右,Z2量子自旋液体的分类方面取得新的进展,人们认识到,投影对称群本质上描述的是自旋子也就是规范电荷e在对称群作用下的分数化方式。同时,规范磁通也就是m在对称群的作用下也可以产生分数化,这样,Z2量子自旋液体的分类有上千种[28](比以前多出很多)。
2012年左右,随着对称保护拓扑序[5,29,30]和对称富化拓扑序[31]概念的提出和深入研究,拓扑物态的分类理论日臻完善[32]。非平庸的对称保护拓扑态的共性是边界态具有对称性反常,也就是说,在不改变对称性作用方式的情况下系统的边界态不能在同一个维度的格点模型中得以实现。根据这一规则,Z2自旋液体的分类中,某些e和m分数化方式的组合存在拓扑障碍,只能在更高维格点系统的表面态才可以实现[32,33]。换句话说,量子自旋液体的分类需要考虑对称反常,将具有拓扑障碍的分数化方式排除在外。文献中对三维空间中具有无能隙规范光子激发的U(1)量子自旋液体的分类也有类似的讨论[34]。
由于严格可解的模型非常少,大多数格点自旋模型需要借助多体数值计算来近似求解。最近十余年来,张量网络计算方法得到快速的发展,并大量用于研究量子自旋模型。其中,有限温度的张量网络算法使得很多可观测量都可以通过数值计算进行模拟,从而直接和实验数据对比[35]。最近四五年来,机器学习和人工智能技术的发展如火如荼,也被广泛用于研究物理模型。
同时,密度矩阵重正化群方法进一步完善,新的算法中充分考虑了系统的连续对称性,大大提高了计算的精度。和密度重正化群方法比较接近的算法还包括Time Evolving Block Decimation(TEBD)。此外,量子蒙特卡罗、变分蒙特卡罗、精确对角化等成熟的多体数值方法也被大量用于量子自旋液体的研究中。其中,变分蒙特卡罗方法采用安德森所提议的Gutzwiller投影波函数作为变分波函数,能精确实现某些严格可解模型的基态。值得注意的是,每种数值方法都有自身的优势和缺陷,不同的方法对同一个模型的计算经常得到截然不同的结果。如果不同的数值方法在某些方面能达成共识,这样的结论通常比较令人信服。比如,笼目晶格上的反铁磁海森伯模型的研究历史悠久[36—39],随着解析和数值研究的进展,目前大家都接受了其基态是某种量子自旋液体的结论。但究竟是哪种类型的量子自旋液体尚没有定论。
实验对量子自旋液体的确认需要结合不同的实验探测手段,排除基态对称破缺的可能性。要排除的态包括长程磁有序态、自旋玻璃态和价键晶体态(往往伴随晶格的畸变)等。比热和磁化率随温度的变化是反映材料物理性质的第一手数据,可以辅助判断在低温下是否发生相变进入磁性长程有序相。如果比热和磁化率在某个温度出现尖峰,尤其对于单晶材料,如果在某个温度以下中子衍射中看到明显的磁布拉格峰,表明此材料在低温下自发破缺对称性形成了长程磁序。反之,说明系统低温下依然是无序态,此时比热和磁化率在零温附近随温度的变化曲线可以用来推测低能激发的态密度。
材料体系的低能激发可以通过各种谱学手段来测量。低温核磁共振对磁信号非常敏锐,共振频率的宽度随温度的变化可以用来辅助判断低温下是否出现磁有序(如果发生磁有序相变,共振宽度会发生展宽),奈特位移能反映系统本征的磁化率,尤其自旋晶格弛豫率强烈依赖于系统的低能磁激发态密度。类似的共振探测方法还包括电子自旋共振,µ子自旋共振等,这些对磁有序态中的自旋波激发非常灵敏。这些共振手段不能分辨磁激发的动量,非弹性中子散射弥补了这个缺点。非弹性中子散射具有能量和动量分辨能力,对有序态可以探测到清晰的自旋波色散曲线(图7(a)),无序态中元激发往往成对出现没有明显的色散特征,中子谱中观测到连续统(图7(b))。
输运实验能探测低能激发的迁移能力。由于量子自旋液体都是莫特绝缘体,低温下都不导电,但是其中的磁激发携带的能量和熵能导热。纵向热导率的测量反映了可迁移的磁激发态密度,而横向霍尔热导率通常主要由无能隙的边界态贡献(尤其是有能隙的系统),反映了体系的拓扑性质。
此外,在光学实验中,非零频电信号产生的中间激发态可以将部分能量释放给自旋,从而用来辅助探测系统的低能磁激发。相关的实验手段包括拉曼散射、光电导率等等。
2003年,三角晶格上的自旋液体候选材料κ-(BEDT-TTF)2Cu2(CN)3[41]被报道。这个有机材料是文献中的首个自旋液体候选者。随后三角晶格上的另一个有机材料EtMe3Sb[Pd(dmit)2]2(以下简称dmit)[42]被发现。这两种有机材料在低温下都没有观测到长程序,而且比热都存在跟温度成线性依赖关系的项,似乎表明电中性的自旋激发存在费米面。尤其是dmit热输运实验中,热导率外推到零温得到有限的值,表明系统具有大量低能的可运动的自由度,印证了自旋子费米面的存在。但不同的实验组重复这一实验得到不同的结论,也存在一些争议。
2010年前后,笼目晶格自旋液体候选材料Herbertsmithite (分子式ZnCu3(OH)6Cl2) 被报道[38,43]。笼目晶格是二维格点中阻挫最强的结构,最有希望在具有这种结构的材料中发现量子自旋液体。Herbertsmithite低温中子散射实验没有看到自旋波激发,取而代之的是连续统,支持低能元激发是分数化的自旋子的预期。前期核磁共振(NMR)实验上表明,系统的能隙存在一个上限[44],最近NMR实验则声明低能磁激发是无能隙的[45]。材料的结构上存在Cu和Zn换位的问题,造成一定浓度的缺陷。此外,还有其他因素影响低能测量,比如自旋轨道耦合效应(比如DM相互作用)的存在,各向异性相互作用的影响,杂质的影响,等等。笼目晶格上的反铁磁系统基态究竟是狄拉克类型的U(1)量子自旋液体,还是Z2类型有小能隙的量子自旋液体,无论是从理论上还是实验上都不容易确定。2018年左右,笼目晶格上的其他衍生材料被合成。比如将Cl替换为Br和F得到Cu3Zn(OH)6FBr[46],更容易进行NMR测量。中子散射和NMR实验中声称看到了有限的能隙。在另一种新合成的笼目材料ZnCu3(OH)6SO4中[47],观察到自旋子与磁性杂质散射形成的类近藤现象,支持了具有费米面的自旋子“金属”图像[48]。
2012年左右至今,Na2IrO3[49],α-RuCl3[50,51],H3LiIr2O6[52],NaCoSbO[53] 等被称作Kitaev材料的系列被大量研究,这些材料都具有Kitaev类型的相互作用,有希望能实现Kitaev类型的自旋液体。遗憾的是,低温下这些材料都发生相变进入长程磁有序相,比如锯齿状类型[54]反铁磁序。这说明这些材料中存在非Kitaev类型的相互作用。尽管如此,当升温将磁序融化之后,中子谱中看到大量连续统,表明系统非常接近于一个量子自旋液体相(也就是Kitaev模型中的无能隙的自旋液体)。随后,对材料施加磁场,发现系统的磁序很容易被抑制出现无序相。这个无序相究竟是不是量子自旋液体[55],究竟有没有能隙[56,57],存在大量争议。当加上面外磁场抑制磁序,热导率如果能量子化到1/2分数平台,是确认非交换手征自旋液体的决定性判据。实验上的确观测到这个平台[58],这是一个广为关注又饱受质疑的实验,目前尚无其他实验组复现这个量子化霍尔热导率平台的结果。高压实验也发现磁序很容易被抑制[59,60],但是中间可能伴随结构相变。这些有趣的实验现象,吸引了大量的理论研究。Kitaev材料的探索方才又有了新的重要进展,一种基于稀土磁性离子的六角格子系统REChX (RE=稀土元素,Ch=O,S,Se,Te,X=F,Cl,Br,I)被发现[61],该家族体系具有高对称性(R-3m )和无畸变的自旋六角格子,稀土离子的强自旋轨道耦合提供了Kitaev模型需要的各向异性交换作用。该体系具有范德瓦耳斯二维层状结构,为丰富的材料调控提供了基础,关于该体系的研究目前正在全面开展中[62. 63]。
2015年,三角晶格上的反铁磁体YbMgGaO4被发现[64],这是另一个具有强自旋轨道耦合效应的量子自旋液体候选材料,Yb离子中的磁矩来自于4f电子,自旋轨道耦合效应显著,但是相互作用强度较弱,易于用通常的实验室磁场操控。该材料具有理想三角格子,可以用浮区法生长出高质量大尺寸单晶,被称为中子测量的“黄金标准”。低温比热与温度成幂次关系,疑似具有费米面,低温中子散射观测到大量的连续统[65]。有观点认为Ga/Mg的电荷无序可能会对自旋基态产生影响[66,67]。2018年,一个与YbMgGaO4具有等价自旋三角晶格的ARECh2(A=单价离子,RE=稀土元素,Ch=O,S,Se,Te)大家族被发现[68],该家族成员有上百种之多,并都具有理想三角格子,同时完全不存在电荷无序等问题,是研究量子自旋液体的理想材料平台。目前不同研究组对该家族中部分成员已进行极低温下中子散射等测量,结果显示这些材料具有量子自旋液体基态[69,70]。
此外,自旋液体候选材料还包括TaS2[71]、双层石墨烯[72]以及三维材料Na2Ir3O8[73]、自旋冰[74,75]等。在大自旋系统中也可能存在量子自旋液体态[76,77]。
总之,量子自旋液体从实验上和理论上都已经取得非常重大的进展。随着新材料陆续被发现,量子自旋液体家族不断壮大,为进一步的应用做准备。理论上,在严格可解模型的参照下,通过各种不同多体数值计算方法建立整体相图,计算动力学和热力学量并与实验进行比较。但是,寻找完全确定的量子自旋液体材料依然是一个挑战。现在的研究方法主要通过排除法,缺乏排他性的实验判据(α-RuCl3中半整数量子化的霍尔热导率平台可作为非交换手征自旋液体的独特判据,但实验结果存在争议)。下面我们总结一下目前这个领域发展遇到的困难,以及将来可能产生突破的方向。
实验方面,当前的材料不能排除杂质、缺陷对系统本征磁学性质的影响,亟需非常高质量的单晶样品,这样可以避免某些实验不可重复的问题。此外,针对分数化元激发的定量探测手段非常有限,尤其缺乏对演生规范场和多体纠缠的直接探测手段。
理论方面,由于量子磁性系统往往涉及到多自由度的耦合,有效相互作用的参数不易精准地确定下来。现有模型大都是理想化的模型,忽略了杂质、缺陷、温度的影响。理论对实验的描述往往只能反映某一个或两个侧面,难以定量化解释不同侧面的实验数据。数值计算方面,各种不同的方法都有各自的局限,比如满足纠缠熵面积率的算法,很难处理具有自旋子费米面的模型。不同的方法通常很难达成一致,尤其有限尺寸效应是难以克服的屏障,热力学极限下的行为具有很大的不确定性。
为了突破瓶颈,实验上需要继续提高样品的质量,并在理论的指导下进一步发展实验探测手段,提高灵敏度,对材料的磁学性质进行更精密的测量和更准确的调控。理论方面,需要超越低能极限,发展不同能标的有效理论,充分考虑实验中的诸多因素,以期能够更好地解释实验数据并指导实验进一步的测量。数值方面,需要发展新的算法,或者将不同算法结合起来,突破各自的局限。
有能隙量子自旋液体中的元激发是任意子,对其“编织”可以用来构造量子逻辑门,从而实现拓扑量子计算。尤其是非对易手征量子自旋液体,其中支持满足非阿贝尔统计的任意子激发。这里的非阿贝尔任意子非常类似于目前广受关注的拓扑超导中的马约拉纳零模,可以用于构造更多功能的逻辑门。但是,马约拉纳零模是拓扑超导体的拓扑缺陷,而并非本征的元激发。相比较之下,非阿贝尔手征量子自旋液体中则具有内禀的非阿贝尔任意子激发,能更好对抗环境的干扰。理论上还存在斐波那契类型非阿贝尔自旋液体,可以用于普适拓扑量子计算。但是,在实验上还没有确切地制备出量子自旋液体的情况下,寻找非阿贝尔手征自旋液体是一个艰难的挑战。如果能从材料制备上胜出,就能在进一步的应用研究中占据先机。此外,量子自旋液体与高温超导关系密切,这方面的研究可能有助于实现更高温度的超导体。
量子自旋液体的另一个实现途径是在超冷原子平台进行多体量子模拟。固体物理中的相互作用很难调控,因此以严格模型出发点的量子态不容易在凝聚态实验中实现。但是在超冷原子光晶格中,由于原子间的相互作用可以通过光场共振来调节,这为实现复杂的相互作用和相应的量子自旋液体提供了可能性。冷原子系统的困难在于热化和测量。凝聚态和冷原子系统互相取长补短,可能会为量子自旋液体的研究打开新局面。
目前我国处于大力发展量子科技的时代,量子通信和量子计算方面都取得了重大突破。相信我国量子自旋液体方面的研究也会在这一历史背景下大放异彩,在拓扑量子计算等方面独辟蹊径,掀开凝聚态物理的新篇章。
致 谢 感谢香港大学陈钢老师和中国人民大学李涛老师对手稿提出的宝贵意见。
《物理》在淘宝店和微店上线,扫码即可购买过刊和现刊。