|作者: 葛墨林(南开大学陈省身数学研究所)
本文选自《物理》2021年第9期
对称性支配自然,真实的物理对称破缺。
由物理推动做研究。以实验为依据提出新方向,解决难题。
物理是猜测和实验的学问。
物理与数学密切结合。
宁拙勿巧,宁朴勿华。
3P:Perception(洞察力),Persistence(坚持力),Power(强有力)。
“文章千古事,得失寸心知”。
引入推广的电荷共轭 G = C exp(iπI2),I2:同位旋四维表示。
β衰变,超子、介子衰变中P不守恒的实验检验。
T反演和C(电荷共轭)不守恒的猜测。
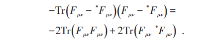
回忆电磁场:
由电动力学:
以后取c =1,麦克斯韦方程(在无外源时)
以及恒为0的Bianchi恒等式:
它等价于:
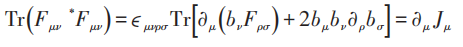
其中ϵμνρτ为四维全反对称张量。
由于Bianchi恒等式,如果*fμν(x)=fμν(x),i.e. Ei = Bi,则称为自对偶(self dual,SD)。显然如果电磁场自对偶,由于Bianchi恒等式,则自然满足场方程∂νfμν(x)=0。
电磁场是规范场,做规范变换时场不变。即电磁势Aμ(x )做如下变换时,fμν(x)不变。
但势有单独物理效应(量子力学需要势),它已为Aharonov—Bohm效应实验证实。杨先生特别重视Tonomura的实验。
下图选自杨振宁先生报告:Topology and Guage Theory in Physics。
物理学中的相互作用是通过规范场传递的。电磁作用通过光子传递,但光子本身并不带有电荷e,熟知电磁作用时,即
。电磁作用与电流耦合即为
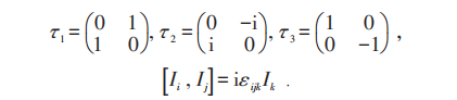
在物理确认质子(p)和中子(n)组成原子核后,它们不同的电荷态用同位旋描述,即,同位旋(isospin),
为2×2矩阵,即
,τi 为泡利矩阵。
描述具有同位旋两分量粒子间相互作用,杨先生引入了新的规范场,即Yang—Mills(YM)场“Conservation of Isotopic Spin and Isotopic Gauge Invariance” (with R. L. Mills, Phys. Rev., 1954, 96:191),并建立包括拉格朗日量不变性和量子化方案。电磁场规范场是阿贝尔的,而YM属于非阿贝尔的SU(2)。其后被许多学者推广到大量非阿贝尔群(尤其是SU(3),改变了物理的面貌)。
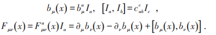
引入的YM规范势以李代数的矩阵表示为基:
规范变换为
对SU(2),
三维全反对称张量ϵabc就是同位旋矢量的叉乘。相应Bianchi恒等式为
为包含YM场的平移算子。
现在物理界已普遍接受群论方法。但在六十七年前杨先生将非阿贝尔规范场引入物理,它传递“非阿贝尔相互作用”是大胆而有开创性的事,它引发了物理学革命性进展,同时也引发数学(方程、几何、拓扑等)的革命性进展。YM传递互作用时,应是短程作用,这要求其规范场粒子有质量,同时这种粒子有三个分量,其正、负分量应带有作用荷。这在当时从电磁场角度是难以理解的,但以后都被物理学家们解决。例如泡利就曾对质量问题进行了质问,后来被Higgs机制所解决。
正如杨先生在“Conservation of Isotopic Spinand Isotopic Gauge Invariance” 中强调的,在电磁场中存在不变性,如电荷守恒,由电磁规范势传递互作用。YM 场就是将这一规范不变性推广到同位旋规范不变性(并导致YM场方程),它是非线性的,自身就提供了源,因而引起同其他场的新型互作用。
YM 理论以后向两个方向发展:数学的和物理的。
经典YM方程 DνFμν(x) = 0 求解,引发物理与数学中陈省身示性类,非线性系统拓扑性质的交叉,许多著名数学家、物理学家卷入其中。
量子化后,Gell-man引入SU(3)导致QCD(量子色动力学)发展,而 SU(2)× U(1) +Higgs场导致了标准模型等等一系列粒子物理中的巨大成就引发了7位诺贝尔物理学奖。
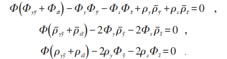
即“带同位旋”的电场和磁场。易证SDYM相应的能量最低,系统稳定,并且实际起了类似Higgs场的作用。
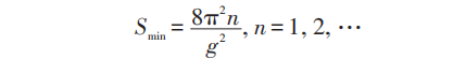
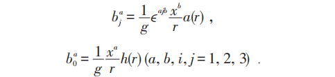
SDYM一种典型的静态解是磁单极解(monopole)。例如:若选取Ansatz,取下面形式,其中设同位旋空间与三维球坐标同步
则SD条件得到孤子解:
它在r=0时有限,而系统能量E=Em=4π/g2,此时对应的拓扑类为第一陈类(Chern Class):
这是典型的无源SDYM场的磁单极解,对于n=1,渐近条件为
后两者,类似柯西—黎曼条件向四维的推广。
上述方程有一明显的解:
它们的可积条件为
于是得到:
在四维欧氏空间中,其解为
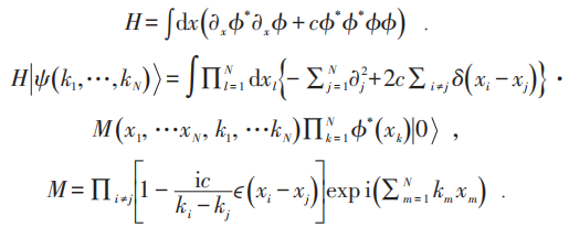
讨论可积多体系统精确求解(Bethe Ansatz意义下)时,杨先生引入转移矩Yii+1算符,其后引发Faddeev及其学生们和许多著名学者的努力,包括Miwa,Jimbo等的发展,引发了数学物理新领域。与相关的辫子群、扭结(knots)理论结合,至今仍在发展。
在 文 章 “Some Exact Results for the Many-body Problem in One Dimension With Repulsive Delta-Function Interaction”(Phys. Rev. Lett.,1967,19:1312)和“Thermodynamics of a One-Dimensional System of Bosons with Repulsive Delta-Function Interaction”(J. Math. Phys.,1969,10:1115)中,考虑一维硬核(hard core)模型(c >0):
杨先生首先考虑玻色子,其后与杨振平先生解决了费米子情况。
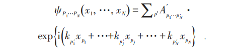
玻色子波函数:
上式右端对所有排列取和,共有N !项。由于玻色子全同性,
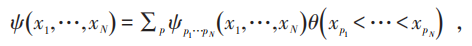
周期边界条件时,Bethe Anstatz关系导致:
系统的动量、能量为
费米子情况与玻色子不同。玻色子系统坐标和动量是在同一置换下排列的,但对费米子两者不同,置换分别为
它们为两种排列,故应对两种排列分别求和,元素 共有
个,于是
应写为矩阵形式:
值得强调的是,一维 δ -函数作用势模型与(孤子方程)非线性薛定谔方程(NSE)等价。NSE的哈密顿量为(H. B. Thacker)
上述结果是必然的,因为粒子数守恒时场论和多体问题是一致的。其后,L. D. Faddeev证明NSE是XXX链模型的连续极限。
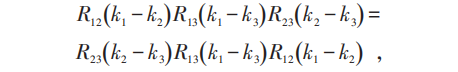
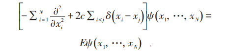
特别需要关注的是,杨先生引入的算子(表为矩阵)Yij,以后通用记号记为Rij,它虽然最早是对δ-函数作用势引入的,但它的涵义远远超过了这个模型。事实上,它揭示了一大类精确可解的可积非线性模型的共同特点。其后,发展成数学物理主导方向,至今不衰。
如上述,杨先生文章中用 Ri, i+1 表示,它 是 N × N 矩 阵 的 矩 阵 元 , 在 原 始 文 献 “Some Exact Results for the Many-Body Problem in One Dimension with Repulsive Delta-Function Interaction”中,熟知置换群P 满足
其中下标标示全同粒子。表示从两个不同途径置换都会从123排列变为321排列。杨先生引入的关系可写为
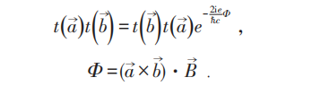
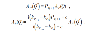
其中ki 为第i 个粒子的动量(ℏ=1),一般记为杨—Baxter方程(YBE):
u 和υ 为动量,上述关系保证动量守恒。上述下标是标记粒子,物理上感兴趣的是固定观测点,为此定义(P为置换):
它满足
其中u,υ称为谱参数,就是杨先生文章中的kj+1-kj 。它的物理意义是三体散射的碰撞矩阵可以分解为三个两体碰撞矩阵的条件,如下图所示。
R. Baxter从统计模型精确解出发,独立得到相同方程。当中元素与玻尔兹曼权重有关,如不做解析延拓,是正定的。此后Faddeev学派定其名为杨—Baxter方程,并通过RTT关系建立了整套精确可解非线性模型(包括量子反散射方法)。
虽然YBE最早是从比较简单的非线性可积模型得出的,但它却代表了现在已知的几乎所有可积非线性模型的共性,其后发展为物理和数学物理的一大领域,甚至成为许多非线性量子模型的必备性质,并引发了数学新分支的热潮。
YBE在统计物理领域概括了冰模型,八顶角模型(有非绝对零度的相变点),在非线性可积模型中包括了NSE,Thirring(有质量,无质量)模型,Toda格子,链模型(XXX,XXZ,XYZ,…),甚至于非微扰QCD模型(L. D. Lipatov),……
在数学物理领域引发了Faddeev学派基于量子反散射方法的RTT关系的建立,并在自旋链模型中预言存在有自旋的元激发“spinon”,其低阶激发已为实验证实。
数学物理另一个重要数学进展是YBE推广至六顶角,八顶角,面模型,……产生了YBE各种解,包括有理解,三角解,所谓Chiral Potts model。(谱参数高亏格曲线的解,最早由闫沐霖找到,后来被参数化,就是Chiral Potts model。)
Kauffman,王正汉,Rowell等建立了杨—Baxter系统与量子纠缠间的关系,这是新的发展。
一些解分别产生相应的新型代数:
有理解,产生Yangian(杨先生给的形式属于此类):Yangian由Drinfeld提出;
三角解,产生量子代数(李代数的q-变形),当谱参数取极值时,正是辫子群(Braiding Groups)。它们引发了大量的研究,包括Jones(Link polynomial),Drinfeld(Yangian,Quantum Groups)等获Fields奖。以下扼要谈谈Yangian。
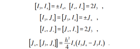
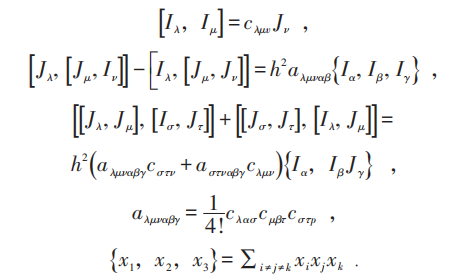
我们知道李代数满足对易关系:
引入另外张量生成元(张量算子)Jμ,使之满足:
这就是 V. G. Drinfeld 在“Hopf Algebras and the Quantum Yang-Baxter Equation”(Soviet Math Doke,1985,32:254)中引入的代数(We should call the Yangian if α,denoted Y(α)(in honor of C. N. Yang,who found the first solution of the QYBE…))。
以上形式看起来复杂,将结构常数代入,对SU(2), 通 常 用 I± = I1 ± iI2 , 表 面 上 [ Jμ,Iν ], [ Iσ , Jτ] 项有21个关系,但不独立。直接计算可证明Y(SU(2))的独立关系只有
其中常数h与YBE有理解所含的参数有关。Y(SU(2))看似复杂,其实我们在物理中早就碰到过了。周知氢原子存在角动量算符L和Lunge—Lenz向量A,它们的矢积就满足Yangian关系。对SU(3),Drinfeld关系式也可以简化,代入结构常数后,含[[Jμ,Jλ],···]经复杂计算证明74项中有7项独立,公式不再列出了。
Yangian以后有大的发展,例如近几年E. Witten及其合作者证明与量子场论中反常有关,量子代数更引起了极大数目的研究成果。我们强调的是,Yangian不仅对近邻相互作用非线性模型适用,例如Hubbard的链模型具有Yangian不变性。长程互作用的Calogero—Sutherland模型
也具有Yangian对称性(详见葛墨林和薛康著《杨—巴克斯特方程》,《量子力学中的杨—巴克斯特方程》)。
在辫子群相关领域,已有许多重要工作,包括Jones,Kauffman,Wadati,Witten等一系列重要的工作。
如何把杨—Mills与杨—Baxter有机结合起来,是值得关注的方向。
E. Witten同他的合作者将YM类型非阿贝尔规范量子场论与杨—Baxter结合,包括算符乘积展开、结构反常等,推广称为“动力杨—Baxter方程”(K. Costello,E. Witten,M. Yamazaki.“Guage Theory and Integrability” )。
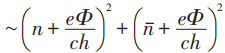
统计物理难题包括了伊辛(Ising)模型(二维格点)自发磁化严格解,超导磁通量量子化,冷原子(玻色—爱因斯坦凝聚BEC),非对角长程有序(ODLRO),单位圆定理,相变等等。着重介绍以下三部分。
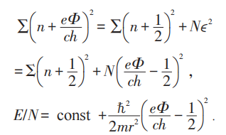
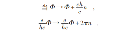
故能量E=E(Φ )是以ch/e为周期的周期函数,且为磁通量Φ 的偶函数E(Φ )=E(-Φ )。其配分函数为
也是以ch/e为周期的偶函数。平衡态时对应自由能的极小(T,V不变),即对应lnQ极大(无自旋时其复共轭可换为时间反演不变),此时会有平衡态,
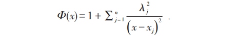
,但“整数”与实验不符。
设热力学极限下,
它说明当λ0比N小数量级时没有ODLRO,但ρ2可能有ODLRO。
对费米系统,其约化密度矩阵由下式给出:
可写成
为简单,令,则当
时,有
(代数)它们实际上就是关联函数。则
当时,上述均为热平均。
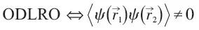
ρ2有,实际上它是Bogoluibov的准平均(quasi-average)。如在哈密顿H 中加上ΔH 的U(1)破坏项,则粒子数不守恒,
如果,则U(1)自发破坏⇔ρ2有ODLRO⇔超导相。
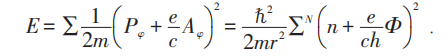
以下说明,ρ2有ODLRO→磁通量量子化→Meissner效应→持续流。回到均匀磁场中的电子系统:
其中。在均匀磁场中,
不是平移不变的,但H 具有磁平移不变性。
为平移矢量,
导致
。
由于
假定ρ2有ODLRO,则当时,
其中是ρ2最大本征值对应的本征函数。
引入
则
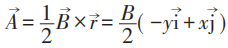
相角:
有物理意义的是
但另一方面将作用在本征态上,可以互换,因为
导致,即磁通量量子化
,
当n=0时,=0,就是Meissner效应(除渗透层及第二类超导体)。超导体的面电流
,由于Meissner效应,面电流产生的磁场抵消内磁场,超导体内
。
综上所述,我们用尽可能简练的物理图像介绍了杨先生的物理成就,他在基本粒子角分布基础上,指出β衰变中如何测量宇称不守恒,与李政道先生获诺贝尔物理学奖。其后,把对称与破缺在基本理论中应用到极致,与李政道先生、吴大峻先生等合作,提出一系列新概念,而这一切都有实验的根据。
他提出的杨—米尔斯(YM)规范场,开创了非阿贝尔规范场新天地,在数学方面引发SDYM方程求解与几何结构的热潮,促进了物理与拓扑的联系。在物理方面,导致其后许多物理学家将SU(2)推广到SU(3)的飞跃。YM及其代数的扩大,颠覆了人们对原有局限于电磁场(U(1)规范场)的认知,扩大到非阿贝尔规范场这一完全不同的新的互作用类型,引发了标准模型、渐近自由、非阿贝尔场的重整化、动力学QCD等等,使基本粒子理论发生了革命性变化。
他提出了杨—Baxter方程,其后被扩展成数学物理的巨大领域,形成用Bethe Ansatz求解非线性可积模型的基础。它引发了孤子量子化理论,导致旋量(spinor)被预言并观测到。在数学方面促进了辫子群、量子群(包括Yangian)的出现。
他有关Ising模型严格结果、超导磁通量量子化、ODLRO、单位圆定理、相变理论、BEC的重要结果,η-pair(与张守晟合作,在Hubbard模型中发现SO(4)对称性,自然就有Yangian对称性),还有涉及统计物理、凝聚态物理等方向的重要成果。所有以上列出的和没有列出的,都是物理的宝贵财富!
在感叹之余,深感自己水平能力之不足,理解之不深。谨以此敬祝杨振宁先生百年华诞,尽心致意。
《物理》在淘宝店和微店上线,扫码即可购买过刊和现刊。