|作者:曹则贤(中国科学院物理研究所)
本文选自《物理》2021年第12期
做过实验,再来谈理论;学会理论,再来玩实验。
君不信,倩君看取维恩与爱因斯坦。
——作者
( 接50卷第11期 )
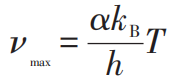
完美发光体的发光能力与温度的关系,在近代的物理教科书中由Stefan—Boltzmann公式给出,J = σT4,其中J是自发射体出射的能量密度(density of flux of energy),单位为单位面积瓦(W·m-2),反映的是热发射能力,系数的近代物理表示为,其数值为σ= 5.67×10−8 W·m−2·K−4。由此得出,在室温(300 K)下黑体辐射的强度约为每平方米460瓦,或者说一平方米的黑体辐射其功率为460瓦。随着温度的升高,谱线整体向高频方向移动,这个现象由维恩(Wilhelm Wien,1864—1928)位移公式描述,
,即峰值所在频率与绝对温度T成正比,其中的系数α = W(-5e-5)+5,W是所谓的Lambert W函数。如果只关注数值,可写为νmax = 5.879×1010 THz或者
。但是,请注意,这儿有些地方不对劲儿。在这两个公式里,都出现了玻尔兹曼常数kB和普朗克常数h,但是普朗克常数h是普朗克1900年底才引入的,玻尔兹曼常数kB是普朗克1901年引入的,在Stefan—Boltzmann公式和维恩位移公式面世很久之后。也就是说,知道用普朗克常数h和玻尔兹曼常数kB表示的Stefan—Boltzmann公式与维恩位移公式却未加思索的人,肯定错过了这两个公式之所以被发现的研究过程,而那才是一个物理学家该学会的。
先补个插曲。为了从热力学的角度研究黑体辐射,有必要引入辐射压的概念。辐射压的概念一开始由开普勒(Johannes Kepler,1571—1630)于1619年提出,用以解释彗星尾总远离太阳的现象。1862年,麦克斯韦(James Clerk Maxwell,1831—1879)从自己的电磁理论出发推测有辐射压的存在(另有文献说是1874年,待考)。意大利人巴托利(Adolfo Bartoli,1851—1896)在1876年从热力学原理导出了辐射压的存在[Adolfo Giuseppe Bartoli,Sopra i movimenti prodotti dalla luce e dal calore:e sopra il radiometro di Crookes (论光与热产生的运动以及克鲁克斯的辐射计),Coi tipi dei successori le Monnier,1876],巴托利于1874年毕业于比萨大学,于1876年在25岁上即已是实验物理教授。巴托利指出,如果从一个移动的镜子反射光,就能提升辐射温度,这样就能把能量从低温物体传输到高温物体,但这违反热力学第二定律 [A. Bartoli, Il calorico raggiante e il secondo principio di termodynamica (辐射压与热力学第二定律),Nuovo Cimento 15,196-202(1875)]。若光对镜子也施加了压力,就解决了这个困局。其实,之所以有这个插曲是因为那个时候还没建立起光有动量的概念。光有能量容易被感知,在墙角晒晒太阳就明白,但光有动量的认识需要认识到它存在的物理语境。爱因斯坦在质能关系和光电效应的工作中都用到了辐射压的概念。
奥匈帝国的物理学家斯特藩(Jožef Stefan或者Josef Stefan,1835—1893)是玻尔兹曼(Ludwig Boltzmann,1844—1906)的导师,其于 1858 年在奥地利维也纳大学获得数学物理博士学位(图4)。按维基百科Stefan—Boltzmann条目,斯特藩在1879年基于丁达尔(John Tyndall,1820—1893)1864年用白金灯丝获得的发射能量测量结果得到了公式J = σT4的结论 [Josef Stefan, Über die Beziehung zwischen der Wärmestrahlung und der Temperatur(热辐射与温度之间的关系),Sitzungsberichte der Kaiserlichen Akademie der Wissenschaften:Mathematisch - Naturwissenschaftliche Classe 79:391-428(1879)]。但是,细读这篇文章,笔者却发现其是用杜隆—珀替(Dulong—Petit)关于发射体冷却速度得到物体发射的热量同其绝对温度四次方成正比(die von einem Körper ausgestrahlte Wärmemenge der vierten Potenz seiner absoluten Temperatur proportional ist)的结论的。法国物理学家杜隆(Pierre Louis Dulong, 1785—1838)和珀替(Alexis Thérès Petit,1791—1820)的这个实验非常巧妙,用沸腾金属作为发热体(保持温度恒定),测量不同半径的同心金属球壳上平衡时的温度。笔者读到此处时击节叫好。提起杜隆—珀替,按说应该是如雷贯耳才对。后来爱因斯坦于1907年创立固体量子论时,又是基于杜隆—珀替的比热测量数据。热力学中有所谓的杜隆—珀替定律,是他们俩于1819年提出的,比卡诺(Sadi Carnot,1796—1832)的第一篇热力学论文还早五年。
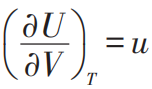
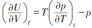
玻尔兹曼非同寻常,是统计物理和原子论的奠基人(图5)。玻尔兹曼的博士论文导师是斯特藩,但他还有其他导师,包括本生(Robert Bunsen,1811—1899)、基尔霍夫和亥尔姆霍兹(Hermann von Helmholtz,1821—1894),未来他会有个博士生叫艾伦菲斯特(Paul Ehrenfest,1880—1933),这构成了一个黑体辐射研究的学术链条。1884年,玻尔兹曼考察用光(气)作为工作介质的热机,又得到了这个关于辐射能力的公式[Ludwig Boltzmann,Über eine von Hrn. Bartoli entdeckte Beziehung der Wärmestrahlung zum zweiten Hauptsatze (论巴托利先生发现的热辐射同第二定律之间的关系),Annalen der Physik 22,31- 39(1884);Ludwig Boltzmann,Ableitung des Stefan'schen Gesetzes,betreffend die Abhängigkeit der Wärmestrahlung von der Temperatur aus der electromagnetischen Lichttheorie (关于由电磁的光理论出发得到的热辐射对温度依赖关系的斯特藩公式的推导), Annalen der Physik 22, 291- 294(1884)]。玻尔兹曼的热力学推导从热力学主方程dU = TdS-pdV出发,得,也即
,利用定义
,以及对于辐射气体的辐射压关系p = u/3,得到
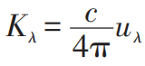
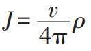
,故得解u ∝ T4,进而有J = uc = σT4,其中c是光速。{我都想说,不包含这个内容的热力学教科书都是不合格的} 在这篇文章中,玻尔兹曼指出,所谓空腔里的辐射处于平衡态即为穿过其中任意体积的闭合表面的流为零的状态,这其实是关于平衡态的一般判据。对于空腔辐射,由此得出4πK = uc,其中K是强度,而u是能量密度。因为黑体辐射的平衡对所有的波长或者频率是成立的,故有4πKλ = uλc,或者
。
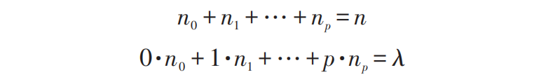
玻尔兹曼的公式是来自热力学的结果,它是对可能的谱分布函数之形式的强约束。斯特藩的公式是关于发射流的,J = σT4,玻尔兹曼的公式应该是关于空腔里的能量密度的,u ∝ T4,两者可当作是一回事儿,J = uc。玻尔兹曼的最大贡献,是为黑体辐射研究准备了量子的概念和统计的方法。1872年,为了得到麦克斯韦分布,玻尔兹曼假设分子的动能是量子化的,为ε,2ε,3ε,···,注意不是从0开始的[Ludwig Boltzmann,Weitere Studieren ber die Wärmegleichgewicht unter Gasmoleklen (气体分子热平衡的深入研究),Wiener Berichte,II 66,275-370(1872)]。1877年,玻尔兹曼为了得到麦克斯韦分布,他假设分子的动能是量子化的且计数从0开始。考察一个n个粒子的体系,每个粒子具有0,1,2,···p个能量单位的能量,则总能量一定的平衡态是什么样子?这就是在约束条件
下求分布数最大对应的分布,结果得np∝e-βp,此即麦克斯韦分布。
玻尔兹曼在这里对分子动能的计数从0开始,这个0能量具有特殊的地位。分子动能为0让我觉得不好理解。下文我们会看到在艾伦菲斯特1911年的论文中,谐振子的量子化能量也是从n=0开始的,并有关于n=0之必要性的讨论。这里的妙处,下文会仔细考虑。存在n=0是有费米—狄拉克统计的前提。
维恩这个名字因黑体辐射研究而闻名,他几乎是唯一的黑体辐射理论与实验双料研究者,于1911年因热辐射的研究获得诺贝尔物理学奖(图6)。维恩是我心目中大神级的物理学家。维恩是亥尔姆霍兹的博士生,1882年起念的是哥廷恩和柏林大学,1886年获得博士学位(那时候普鲁士的大学生四年获得博士学位好像是制度,相当于如今的硕士班毕业,待考。另外,普鲁士的大学生要读两个大学。普朗克大学读的分别是慕尼黑大学和柏林大学。)。维恩于1883—1885年间在亥尔姆霍兹的实验室工作,1890年到柏林帝国物理技术研究机构(Physikalisch-Technischen Reichsanstalt in Berlin,PTR)工作(黑体辐射就是在这里被实验+理论地研究清楚的),1893 年发现维恩位移定律 [W. Wien,Eine neue Beziehung der Strahlung schwarzer Körper zum zweiten Hauptsatz der Wärmetheorie (黑体辐射与热学第二定律之间的一个新关系),Sitzungberichte der KöniglichPreußischen Akademie der Wissenschaften (Berlin)1,55-62(1893)]。维恩在 1894 年引入了电磁辐射熵的概念[Wilhelm Wien,Temperatur und Entropie der Strahlung (辐射体的温度与熵) ,Annalen der Physik 288 (5) ,132-165(1894)]4), 在文章中还瞎猜了黑体辐射可能的谱分布(图7)。维恩考察处于热平衡下内有辐射之空腔的绝热膨胀,空腔缓慢收缩时腔壁反射能量的变化和频率变化一致,从而得出 ν/T 是绝热不变量的结论,进一步地得到了所谓的维恩谱分布公式 [Wilhelm Wien,Über die Möglichkeit einer elektromagmetischen Begründung der Mechanik (论力学基于电磁学的可能性),Annalen der Physik ,501-513(1900)]。实验方面,维恩1895年制作了黑体辐射源,给出了建造黑体辐射源的原则[O. Lummer,W. Wien,Über die Energievertheilung im Emissionsspectrum eines schwarzen Körpers (论黑体辐射谱的能量分布),Annalen der Physik und Chemie. Neue Folge. Band 58,612-669(1896)]。更多细节见下文。在这个讨论过程中,腔体内壁不仅不是黑体,维恩甚至讨论腔壁是镜子的情形。这部分的详细讨论见于Wannier的教科书[G. H. Wannier,Statistical Physics,Dover Publications(1987)]。此外值得一提的是,1900年维恩假设所有的质量都有电磁起源,并给出了等价关系。更多关于质能关系的讨论见下文及拙著《相对论—少年版》
图7 维恩在1894年的文章中瞎猜的黑体辐射谱分布。这个瞎猜的谱分布和实际差不多。对于维恩这样的既亲手测量又懂物理还熟悉经典概率函数的人来说,这个结果好理解
必须承认,杜隆—珀替的实验以及斯特藩的数值拟合都很酷,维恩的文章我一时转不过来弯儿,其中有许多的旧概念我不熟悉,推导也生硬,等笔者将来认真研究后再另文介绍。更重要的、也令我非常惊讶的是,维恩在1894年就用了功量子(Arbeitsquantum,就是能量量子)这个词(图8)。实际上,在1900年维恩还用了das electrische und magnetische Quantum(电与磁的量子)这个词。老天,量子这个词在普朗克师1900年研究黑体辐射之前那段时间的文献中已经很普遍了,更别提黎曼(Bernhard Riemann,1826—1866)1859年的和玻尔兹曼1872和1877年的工作了。笔者愿意再次强调,量子的概念远早于普朗克的工作,正如质能关系远早于爱因斯坦的工作。
图8 维恩1894年论文中所含的Arbeitsquantum 字样。此篇文章署名为 Willy Wien,收录在维恩自己的 Wilhelm Wien,Das Wiensche Verschiebungsgesetz (维恩位移定律),Verone(1928)一书中
用不透明的物体围成一个封闭的空腔。处于热平衡态的空腔,其中的光也会达到一个稳衡分布。在空腔的壁上开一个小孔漏光,相当于这个位置吸收了所有从内部加于其上的辐射,故此处是完美黑体——从空腔壁上小孔漏出的光等价于黑体辐射,这是黑体辐射实验研究的理论基础,是当年基尔霍夫提出的。用什么物理量来描述黑体辐射呢,或者说如何描述空腔辐射和黑体辐射呢?为了照应后来的光的能量量子ε=hν 的概念,本文中坚持针对频率ν来展开关于黑体辐射的讨论。
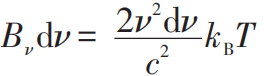
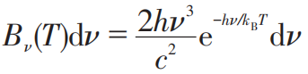
如果偏重于空腔辐射,热平衡时空腔里有稳定的光场分布,各向同性、均匀、无偏振,显然能量的体积密度是一个恰当的物理量,量纲应为J·m-3。如果关切不同频率的光对平衡时能量体积密度的贡献,可引入能量的谱密度(spectral energy density),ρν,ρνdν的量纲应是J·m-3。等到普朗克公式出来以后,其中的项是频率为ν的光子在温度T 下贡献的平均能量,则它前面的系数的量纲就该是m-3,看看普朗克公式
,前面的因子之量纲还真就是体积的倒数。我总以为,物理公式的图像要写对。图像清楚,公式的形式便一目了然。如
这个空腔辐射的普朗克谱分布公式,正确不正确的再说,乍看起来它没毛病,而且看起来挺舒服(图9)。其实,普朗克公式就是一个合适的开关函数的导数,不明白的同学请多学学法国的统计物理教材。{我负责任地说,英德法三种文本的物理教科书的风格、侧重点绝对不一样} 简单地说,统计的概率累积就是一个从0单调地增加到1的开关函数,分布函数必然是这个开关函数的导数。强调一遍,分布函数的共同特征是:它们是某个开关函数的导数!
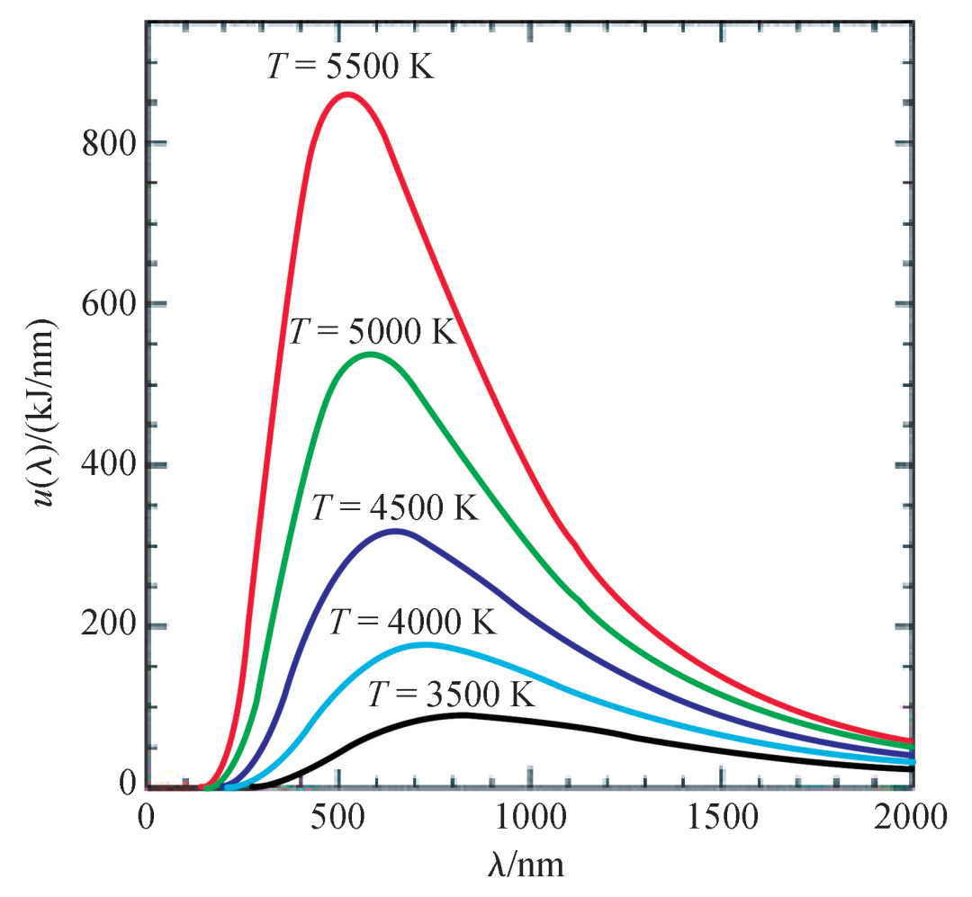
图9 许多文献中出现的黑体辐射曲线。这一看就是没有实验感觉的人拿函数画的图。地球上的固体物质,熔点最高的要数炭,但也不过 4000 ℃ 左右(不好确定其熔点哦。想想为什么)。5500 K下的黑体辐射曲线,肯定不是基于实验测量值
如果要描述某个黑体表面的辐射,那是个动态的图像,发射能力(反过来是辐照度)是个合适的物理量,即从辐射体的单位面积上、在单位时间内、向空间的单位立体角内(或者向整个半空间内)辐射的能量,其量纲应该是J·m-2s-1,如果关切不同频率的光对发射能力或辐照度的贡献,可引入谱发射强度(spectral radiance),Bν,则Bνdν的量纲应该是J·m-2s-1。比如,瑞利—金斯公式(Rayleigh—Jeans formula)可写为的形式。经典统计物理指出,气体的粒子数密度ρ同其撞击壁的流强度J 存在关系
,v是速率。将光设想成由某种粒子组成的气体,考察单一频率的情形,粒子数和能量成正比,则辐射的能量谱密度ρν同谱发射强度Bν之间的关系为
。黑体辐射研究中会经常用到这个关系。
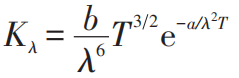
自黑体辐射的问题被摆上桌面以来,许多人从阶段性研究中就获得了一些有意义的成果。1887年,俄国人迈克耳孙(Владимир Александрович Михельсон,1860—1927)结合Stefan—Boltzmann公式和一个关于辐射发射的统计假设,得出了辐射公式[Опыт теоретического объяснения распределения энергии в спектре твердого тела (固体辐射谱中能量分布的理论解释), СПб.(1887)]。 韦伯(Heinrich Friedrich Weber, 1843—1912)在1888年批评了迈克耳孙推导的理论基础,同时给出了自己的公式
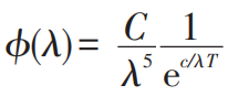
[ Heinrich Friedrich Weber,Untersuchungen über die Strahlung fester Körper (关于固体辐射的研究),Berl. Ber. 933-957(1888)],但这个公式因形式就失去了正确的可能性。维恩谱分布公式是1896年得到的[Wilhelm Wien,On the division of energy in the emission-spectrum of a black body,Philosophical Magazine,Series 5,43(262),214-220(1897)]。维恩研究的是光作为工作气体的圆柱状热机,一端可以移动活塞以改变体积,被移动的活塞反射的光因为多普勒效应而波长变长。维恩首先得到的位移定理,指的是谱线的整体位移(当然有变形),谓ν/T是个绝热不变量。用频率表示,就是平衡态时能量密度谱分布为uν=ν-3ϕ(ν/T)。这样,从前寻找一个关于频率和温度两个变量的普适函数的任务变成了寻找一个单一变量的普适函数。在维恩的原文中,谱分布公式的形式为
,是空腔中能量体积密度的谱分布。维恩的黑体辐射谱发射强度,根据如今的普朗克常数,我愿意写成如下形式,
。维恩公式是基于他自己测量得到的数据,他是有感觉的。维恩公式满足维恩位移定律和Stefan—Boltzmann定律。改写公式
成
的形式,进一步地有
,这样就能看到,若ν/T是不变量(即满足维恩位移定律),则有关系
。维恩分布和未来的普朗克分布在低温高频情形下重合,这一点是维恩公式的亮点,也是未来哪怕是量子论被提出来以后它依然不断被用来做物理的基础。
维恩公式基于绝热不变量(adiabatic invariance)的概念。愚以为,这就有深意了。这里暗合时间和温度的内在关系,或与量子多体理论中T+it 的表达式之思想基础同。维恩分布函数得自分子动力学的考虑,是建立在“辐射是如何从振动分子发射出来的”此一相当随意的假设基础上的,因此受到了瑞利爵士的强烈批判,认为其假设不过是猜测而已。后来,普朗克也不得不做了一些假设(Planck had also been compelled to make assumptions that were somewhat arbitrary),也招致了维恩受到的类似批评。这里有用局部实验数据同函数的吻合来导出理论的凑合行为,但不是问题的全部。关于黑体辐射的理论研究,其中涉及随意假设的内在需求,这也是我们学习黑体辐射理论的难点,下文会格外着墨。
到了1896年,黑体辐射有了基尔霍夫定律,Stefan—Boltzmann公式,维恩位移公式和维恩谱分布,这些内容成了后来的黑体辐射研究的起点和指导原则。一般黑体辐射教科书就是从这里开始讲故事的。实际上,黑体辐射研究吸引了很多物理学家的注意。1895年帕邢(Friedrich Paschen,1865—1947)也想获得黑体辐射谱函数,在此过程中他证实了维恩位移定律,确定了其中的常数。1896年他还提出了自己的经验公式,几乎与维恩的相同。据说,居里先生(Pierre Curie,1859—1906)在大学期间也对黑体辐射作了初步研究(mene une des premieres études derayonnement du corps noir),但未见细节描述。顺带说一句,黑的事物本身是非常有趣的研究课题。勒庞(Gustave Le Bon,1841—1931),那位写了《乌合之众》的先生,其实是一位医生、多才多能的科学家,他的《力的演化》一书就讨论过黑光(black light),有apparatus for the study of black light等小节[Gustave Le Bon,The evolution of forces,D. Appleton and Company(1908)]。参见拙著《磅礴为一》。
图10 在大气层以上测量到的太阳照度随波长或者光子能量的分布,大约对应温度为5800 K的黑体辐射谱
黑体辐射的普朗克公式确定以后,黑体辐射反过来可以作为辐射标准,黑色发射体可以作为辐射参照物,故德语里有Schwarzer Körper(黑体)和Normkörper(标准物)之说——确立辐射标准本就是黑体辐射研究的原意。一个具体的发射体,其发射谱可以用黑体辐射谱近似,从而计算出一个温度来。图10是太阳的发射谱,其和普朗克公式只能说勉强符合,由此得到的太阳表面的温度约在5800 K。作为温度估计,这是很好的结果了。据说宇宙背景接近完美的黑体辐射,温度为2.728 K。我对此的态度是呵呵,你懂的。至于那种进一步延伸的技术应用,比如红外体温计,说是也依据黑体辐射的性质,具体细节我就不清楚了。不过,我可以给大家分享我的体验,就是这种所谓的红外体温计经常是对着我时没有数字输出,弄得测温的人一脸迷茫。1988年前后有对某区域天体的辐射测量,忽而就不是完美的普朗克辐射体了,忽而又是完美的普朗克辐射体啦,是和不是都产生了一堆论文。你如果知道得到一个普朗克辐射体谱密度分布实验曲线有多难,大概对这些所谓的研究会一笑置之。
(未完待续)
注:
《物理》在淘宝店和微店上线,扫码即可购买过刊和现刊。