|作者:曹则贤(中国科学院物理研究所)
本文选自《物理》2022年第1期
工欲善其事必先利其器。那你有啥器啊?
你知道该有啥器啊?你怎么才能有器呢?
——作者
( 接50卷第12期 )
在诸多物理学和物理学史文献中,黑体辐射大多会被从理论的角度加以探讨,人们喋喋不休地谈论的是什么普朗克的绝望行动(Akt der Verzweiflung.我就想不明白,普朗克忙活一个晚上就得到了正确的表达式,绝望从何说起?普朗克的绝望,应该是指他后来理解或者合理化自己的公式时的感觉吧。在如何学着玻尔兹曼将ε→0进行下去时,普朗克有了绝望的感觉。这是普朗克在30年后的一封信里自己说的),而普朗克公式建于其上的、黑体辐射谱得以精确确定所依赖的那些仪器制造和测量方法方向上的努力却鲜有人提及,可能是因为理解不了吧!实际上,黑体辐射研究是工业进步需求带来的课题,其数据的获得体现的是19世纪末德国优秀的实验家文化(Experimentierkultur),恰是这种文化为我们带来了近代物理。关于这一点,熟知近代物理史的人应该没有异议。
如上所述,1860年基尔霍夫确定了黑体辐射的强度只依赖于温度和波长的结论[Gustav Kirchhoff,Über das Verhältnis zwischen dem Emissionsvermögen und dem Absorptionsvermögen der Körper für Wärme und Licht,Annalen der Physik 185,275-301(1860)]。基尔霍夫写道(大意):“当一个等温物体围成的空间,没有辐射泄露出去,则在此空间内部的射线束从各方面来说可看作是由完全黑体发射的,只和温度有关。” 找出Kirchhoff’s universal function这个普适函数具有高度的重要性(es eine Aufgabe von hoher Wichtigkeit ist,diese Funktion zu finden)。只有这个问题解决了,那得到证明的基尔霍夫定律之富有成果才会展现出来(Erst wenn diese Aufgabe gelöst ist,wird die ganze Fruchtbarkeit des bewiesenen Satzes sich zeigen können)。基尔霍夫是大神,没有数据,也一样获得关于世界的深刻洞见!后来的发展完全证明了基尔霍夫的先知先觉。
要证明基尔霍夫的定理,做比说难多了。对黑体辐射的实验测量稍作思考,会发现如下几个条件可能是必需的:
(1)能长时间保持均匀温度的腔体;
(2)能在跨度很大的温度上长时间保持均匀温度的腔体;
(3)能在很大的温区内标定温度的温度计;
(4)能在大的波长范围内工作的辐射(流量、功率)计;
(5)具有好的波长分辨率的辐射计;
(6)具有弱信号响应能力的辐射计。
在现实中,上述几个条件没有一个是容易实现的(对于任何宣称只用一台仪器就获得了黑体辐射谱的说法,我都表示勉为其难的信任),甚至是客观上无法实现的,这也是黑体辐射测量为什么研究机构那么少,研究时间跨度那么长的原因。在1900年前后似乎只有柏林的帝国物理技术研究机构(简称PTR)有这些条件。同时期的帕邢(Friedrich Paschen,1865—1947)在汉诺威做了不多的测量工作。
关于对黑体辐射测量有重要贡献的一些人 物,由于他们几乎未在中文文献中出现过,故而对他们的姓名不作翻译。他们分别是维恩(Wilhelm Wien,1864—1928),Max Thiesen(1849—1936),此外还有德国的近代物理实验五杰(quintuple of contemporary German experimental physicists),包括帕邢,Otto Lummer (1860—1925), Ernst Pringsheim (1859—1917), Heinrich Rubens (1865—1922),Ferdinand Kurlbaum (1857—1927)。帕邢是在汉诺威开展研究的。这些人,除了维恩和帕邢(在介绍氢原子谱线时会提到帕邢线系)以外,几乎鲜有介绍,很多量子力学家甚至不知道是Ferdinand Kurlbaum第一个给出了普朗克常数值。其实这些人是对整个近代物理的开启做出了卓越贡献,故而被称为德国近代实验物理五杰的,但他们对近代物理的贡献没能得到公正的评价。这其中的缘由,愚以为是因为物理学家们一般都缺乏理解真正物理实验的能力——那可是一门需要天分、理论功底、技巧和奉献的行当。理论家可以对实验一窍不通,回到家连个灯泡都不会换,但合格的实验物理学家首先要有深厚的理论功底,好的实验家才有能力促进理论与实验的共生(symbiosis between theory and experiment)。仔细回顾一下黑体辐射研究的历史,看看基尔霍夫、维恩等实验物理学家的理论水平,当知愚所言不虚。
为了开展黑体辐射实验研究,首先要做出满足黑体辐射问题所要求的热发射体。人们首先用金属板来实现黑体(腔体),其内表面通过氧化、喷涂等工艺变黑,但是结果都不是很理想。直到1895—1998年间,PTR的Otto Lummer和同事Ferdinand Kurlbaum,Ernst Pringsheim才往前取得了一小步的进步。1895年,Otto Lummer 和维恩认识到,既然黑体的辐射可以理解为热平衡的状态,这样处于均匀温度下的空腔自开孔处漏出的辐射就是黑体辐射了。黑体不是问题,热平衡才是大问题。为了接近完美的黑体辐射,必须找到实用的办法,让空腔处于均匀温度,允许其辐射通过一个小孔透出去。为此人们用金属,或者金属加陶瓷,内壁涂抹炭黑,或者氧化铀,来实现黑体[Wilhelm Wien und Otto Lummer, Methode zur Prüfung des Strahlungsgesetzes absolut schwarzer Körper (验证绝对黑体辐射定律的方法),Annalender Physik 56,451-456(1895)]。这样,Otto Lummer就和Ferdinand Kurlbaum一起找到了实现黑体的近似方案。Otto Lummer此人生于1860年,1884年在柏林的物理研究所给亥尔姆霍兹当助手,1889年转入PTR的。Otto Lummer 和Ferdinand Kurlbaum采用电发光黑体在1898年得到了1600 ℃下的黑体辐射。
注意一个背景,19世纪后半叶是电磁学和热力学蓬勃发展的时期,熵和电磁学的概念都是1860年代前后的产物。PTR的研究课题不只着眼于当时的工业需求,而且关注基础问题,因为它的创始人西门子 (Werner von Siemens,1816—1892)和亥尔姆霍兹认为“工业不该把科学降格为使女,而是应该擎之为指路女神 (Die Industrie die Wissenschaft nicht zu ihrer Magd degradieren dürfe sondern sie vielmehr zu ihrer Pfadpfinderin erheben müsse)”。5) PTR的黑体辐射研究(图11)动机除了要验证基尔霍夫定律,还是因为想拥有手持灯标 (Lichtnormal)。那时候刚有了气体放电灯和电灯。气体放电灯和电灯之间是竞争关系,跟后来的直流电机与交流电机之间的竞争类似。将黑体辐射作为标准,将光源的辐射同恒温黑体光源作比对,借助系统的辐射研究与发光物理基础的新知识可以优化光源设计。具体地,就是要回答如Otto Lummer所提的问题:“为什么此一光源比彼一光源发光多,为什么发光量随着温度增加而增加?”PTR不仅研究空腔辐射体,也研究热辐射探测器。实际上,没有辐射探测器的研制,就没有后来的黑体辐射理论研究。黑体辐射谱的确定需要高灵敏度、宽谱的探测器,为此特别要发展出红外光的探测方法。黑体辐射的实验研究在美国天体物理学家Samuel Pierpont Langley (1834—1906)于1880年引入了辐射计(bolometer. Bolo,本意是扔,与ball一词同源)以后迅速取得长足的进展。接下来对辐射计的改进,就其学术与技术意义而言,本身就值得大书特书。
图11 柏林帝国物理技术研究机构的辐射实验室
19世纪下半叶,工业发达的德国为现代物理的建立贡献了许多非常重要的实验。就黑体辐射而言,贡献者除了维恩之外,还有前述的德国近代物理实验五杰,即帕邢,Otto Lummer,Ernst Pringsheim,Heinrich Rubens,以及Ferdinand Kurlbaum。此外,还有Max Thiesen,其人在1899年提议修正维恩定律。Lummer和Kurlbaum于1892年对辐射计作了改进,后来Lummer 和Pringsheim又作了进一步的改进。至于黑体辐射源,基尔霍夫有关于完美辐射体(perfect radiator)的理论,建议带有小孔的空腔可用作黑体辐射的研究。维恩和Lummer于1895年实现了这样的黑体辐射源,Lummer和Kurlbaum于1898年制作的电加热黑体辐射源,规格为ϕ 4 × 40 cm×cm。有了辐射源和辐射计(图12)之后,维恩和 Lummer先验证的是Stefan—Boltzmann公式。自1895年起,帕邢经过努力,获得了从400 K到1400 K的温度下波长在1 µm到8 µm之间的辐射谱分布,验证了维恩位移定律。更长波长区域的测量还得等20多年后才由很多人,特别是Rubens,努力完成的。
从1896年开始,Lummer和Pringsheim很快就得到了从600 K到~1650 K温度下波长在1 µm到8.3 µm之间的谱分布,测量结果和维恩谱分布公式之间的误差变得明显起来。后来,他们又把测量的波长范围延伸到12—18 µm,得出结论维恩公式在高温下以及长波长处有问题。Rubens和Ferdinand Kurlbaum于1900年更是将波长扩展到了51.2 µm,温度范围扩展为从85 K到1773 K。然后温度被升到了1600℃。将温度在1600℃上稳定下来,技术上这是一个巨大的进步。在自然课课堂上做过实验的人都知道,在1000℃以上实现稳衡、均匀的温度场,不是一件容易的事儿。
关于这一部分历史的内容,如下的参考文献会有帮助:
(1)Claes Johnson,Mathematical Physics of Blackbody Radiation,Icarus iDucation (2012);
(2)H. Kangro,Vorgeschichte des Planckschen Strahlungsgesetzes (普朗克辐射定律前史),Wiesbaden (1970);
(3)Dieter Hoffmann,Schwarze Körper im Labor(黑体的实验室研究), Physikalische Blätter 56(12),43-47 (2000);
(4)Sean M. Steward, R. Barry Johnson,Blackbody Radiation: a history of thermal radiation computational aids and numerical methods, CRC Press (2016).
柏林帝国物理技术研究机构1887—1900年间发表的关于黑体辐射研究论文见于目录Verzeichnis der Veröffentlichungen aus der Physikalische-Technischen Reichsanstalt: 1887—1900, Springer(1901),极具参考价值。
行文至此,加几句感慨。子曾经曰过:“工欲善其事,必先利其器。”这句话两千年来被敷衍潦草地解释为工匠要想做好事情,必须把工具准备利落了,说得好像手里已经有工具了似的。须知,就自然科学实验研究而言,工具常常出现在对问题有了认识之后,而工具本身可能是理论认知的结果,实验研究过程也是theory-laden的。你如何知道问题需要什么样的工具呢?工具运行的原理又是什么呢?这些问题是要有人(通过实践)回答的。一个好的理论物理学家心里是装着物理现实的(请注意,爱因斯坦在ETH的教授职位是实验物理教授,他老人家自己选的),一个好的实验物理学家应是通晓理论物理的。就黑体辐射研究者而言,维恩是其中贡献最杰出的。
基尔霍夫定律和Stefan—Boltzmann公式是理性思维的结果。关于Stefan—Boltzmann公式,即总出射功率(total radiant exitance)关于温度四次方的依赖关系,针对一些不那么完美的黑体由August Schleiermacher (1857—1953)等人粗略证实过[August Schleiermacher,Über die Abhängigkeit der Wärmestrahlung von der Temperatur und das Stefan’sche Gesetz (热辐射对温度的依赖以及斯特藩定律),Annalen der Physik 262,287-308(1885)]。后来的维恩分布公式是根据实验结果的模型研究结果,有凑的成分。
1895年以后,因为有了好的黑体辐射源和长波段的辐射仪,黑体辐射谱分布的测量范围更宽且数据更加可靠一些。Rubens 和 Kurlbaum 1900年的测量结果严重偏离维恩公式(so gravierende Abweichungen von der Wienschen Strahlungsformel),这提醒人们维恩的分布公式可能是错的。找出更加显得正确的谱分布公式提上了日程。
与维恩公式齐名甚至被同等对待的有瑞利—金斯公式。笔者此前从各种书籍中读到的印象是,维恩公式在高频部分同实验符合得很好,瑞利—金斯公式在低频部分同实验符合得很好,但高频端会发散,出现所谓的“紫外灾难”。普朗克公式一出(感觉是通过对上述两个公式的拟合),就和实验曲线fit very well了,此过程中普朗克引入了能量量子化的思想,于是这成了量子力学的滥觞。我希望这只是我一个人得到的错误印象,且错误在于我的阅读理解能力太差。实际情况完全不是这么回事儿。普朗克不是1900年才研究黑体辐射谱分布的,1900年他也没提出能量量子化(量子的概念在1859年就有了。见下),瑞利—金斯公式中金斯爵士 (Sir Jeans)到 1910 年才认输,而普朗克要到1913年才不为能量量子化的概念继续挣扎。
图13 Lord Rayleigh (左) 与 Sir Jeans (右)
维恩公式之后另一个常会提到的黑体辐射公式是瑞利—金斯公式。Lord Rayleigh是英国物理学家John William Strutt (1842—1919) 的爵位名(图13 左图)。瑞利爵士(Lord Rayleigh)作为物理学家那是理论与实验全能,对光学、流体力学等领域有全面的贡献,1904年因“研究最重要气体的密度以及发现元素氩” 获诺贝尔物理奖。瑞利爵士曾被誉为当代最伟大的科学家,是一个引用圣经的句子会被误解的人物 (英文的Lord 在圣经的语境中指上帝)。英国物理学家金斯(Sir James Jeans, 1877—1946) 则是个天才人物(图13右图),1901年在24 岁上即成为剑桥三一学院的fellow,1904年任普林斯顿大学数学物理教授。金斯有名的著作包括The dynamical theory of gases(1904),Theoretical mechanics(1906),Mathematical theory of electricity and magnetism(1908),Physics and philosophy(1943) 等,此外还有许多普及性的书籍。瑞利爵士1900年给出了没有系数数值的黑体辐射谱分布公式版本,还包括指数函数试图同λT很小时的实验数据吻合[Lord Rayleigh,Remarks upon the law of complete radiation,Philosophical Magazine 49,539-540(1900)], 1905年提出了该公式后来常见的带比例因子的版本但没提供常系数的数值(那时候黑体辐射谱实验结果已经相当齐全了),缺个因子8 [Lord Rayleigh,The Dynamical Theory of Gases and Radiation,Nature 72,55 (1905)]。1905年,金斯为该公式加上了正确的系数,是作为文章“James Jeans,On the Partition of Energy between Matter and Aether,Philosophical Magazine 10,91-98 (1905)”的后记出现的。同年的文章还有James Jeans,On the application of statistical mechanics to the general dynamics of matter and ether,Proceedings of theroyal society of Lond A,76,296-311(1905);James Jeans,On the laws of radiation,Proceedings of theroyal society of Lond A,76,545- 552(1905). 注意,1900年底普朗克提出了黑体辐射的正确公式,到1905 年爱因斯坦都用光量子概念解释光电效应了。1900 年有好几个候选的黑体辐射谱分布公式6),但瑞利—金斯公式这个错误存活下来了是因为它和能量均分原理有关,所谓的有扎实的经典物理基础(its solid classical physics foundation)。在一般物理文献的表述中,好像瑞利—金斯公式比普朗克公式还早似的。尤其过分的是,瑞利—金斯公式总是被当作同普朗克公式对比用的靶子(图14),弄得跟这两位物理学大家不会研究物理似的。
图14 维恩分布、瑞利—金斯分布和普朗克分布的对照。瑞利—金斯分布只在频率接近0的很小范围内同现实相符
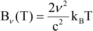
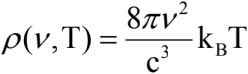
瑞利-金斯公式表示的空腔能量谱密度为,或者黑体的谱发射强度为
,在低频处和测量数值符合得较好{曹:Jeans never accepted the idea that his formula was only a limit law, 是有原因的。见下}。瑞利-金斯公式和实验数据在高频处不吻合在1910年被艾伦菲斯特称为紫外灾难。换成用波长表示,
对应
;
对应
,故一些文献中会有λ-4-或者λ-5-依赖关系的说法。此处容笔者感慨一句,数学等价的物理公式不一定是物理正确的。物理正确的公式对应实际的物理图像,它的一个优点是提供往前发现更多物理的可能,而写成数学等价的、但是物理图像不正确的物理公式可能就丧失这个能力了。一个物理表达者如果眼中没有物理公式的正确形式,那他的著作很可能是到云里雾里的直通车。
瑞利—金斯公式是不可积的。随着频率的增大谱密度单调地增加,这当然与现实不符。1910年艾伦菲斯特把瑞利-金斯公式在高频部分的失效称为紫外灾难,这都是普朗克给出正确表达式10年以后的事儿了——紫外灾难的说法对黑体辐射研究连一毛钱的价值都没有。这个说法是遗腹子型的,1910年时瑞利-金斯公式早因普朗克的工作而过时了(…was fixed posthumously, because by 1910 the Raleigh–Jeans formula had long been rendered obsolete by Planck’s work)。有趣的是,在此后的许多书本里紫外灾难仍被津津乐道,愚以为除了人们热衷怪力乱神的心理因素以外(同样泛滥的还有薛定谔的猫,海森堡不确定性原理),一个可能的原因是以后理论物理中还源源不断地涌现各种在变量足够大时发散的无脑理论。宇宙没有无穷,宇宙也没有矛盾。我们在物理理论中看到的无穷与自相矛盾都是人构造物理时遭遇的无奈。
1905年,金斯在文章指出以太和物质不可能达到热平衡(Jeans published a paper in the Philosophical Magazine which showed the impossibility of the ether reaching thermal equilibrium with matter)实际是经典理论的无力 [James Jeans, A Comparison between Two Theories of Radiation, Nature 72, 293-294(1905)]。金斯在反对能量量子化多年后,于1910年成了量子不连续性的拥趸 [James Jeans, On Non-Newtonian Mechanical Systems, and Planck's Theory of Radiation, Philosophical Magazine 20, 943-954 (1910)]。金斯不放弃这个公式有他的道理,那时候整个物理学界对普朗克的公式还没理解(its full significance not appreciated)。这方面的科学史研究可参见Rob Hudson, James Jeans and radiation theory,Studies in History and Philosophy of Science, part A, 20(1), 57-76 (1989)。又,爱因斯坦的传记作者Abraham Pais建议把称为Rayleigh–Einstein–Jeans law (Abraham Pais, Subtle is the Lord, Oxford University Press (1982) p.403)。
接下来的故事许多人耳熟能详。Rubens在德国物理学会报告其测量结果之前,于1900年10月7日到普朗克家串门,和普朗克进行了交流(Als am Sonntag, dem 7. Oktober 1900 Rubens mit seiner Frau bei Planck einen Besuch machte, kam das Gespräch auch auf die Messungen, mit denen Rubens beschätigt war),说谱分布的长波部分和瑞利公式符合,当晚普朗克就给出了那个幸运地猜到的公式。1900年10月19日,普朗克在Kurhbaum之后报道了他的理论工作,即关于黑体辐射谱分布函数及其推导。1900年10月25日,Rubens和Kurlbaum详细报道了他们完整的实验数据,接着由Thiesen,Wien,Rayleigh,Lummer & Jahnke, 以及Planck分别报告了五家各自提出的谱分布函数。Rubens和Kurlbaum认为普朗克的分布函数和实验结果符合得最好,Kurlbaum 还给出了初步的普朗克常数值h~6.55×10-34 J·s [H. Rubens, F. Kurlbaum, Über die Emission langwelliger wärmestrahlen durch den schwarzen Körper bei verschiedenen Temperaturen (不同温度下黑体热辐射长波的发射), Sitz. d. k. Akad. d. Wiss. zu Berlin, 929-931 (1900)]。Lummer和Pringsheim 基于他们的测量结果也持同样的观点。这样,到了1901年底,普朗克公式(形式上)胜出。持续四十年的找寻关于黑体辐射的基尔霍夫普适函数一事算是尘埃落地了。然而,一场物理学的大戏,才算刚刚拉开了大幕。
任何一个事件的完美结局,必然是更微妙事件的揭幕。
(未完待续)
注:
物理学史钩沉
《物理》在淘宝店和微店上线,扫码即可购买过刊和现刊。