|作者:曹则贤(中国科学院物理研究所)
本文选自《物理》2022年第3期
爱因斯坦首先是个实验物理学家。
——作者
( 接51卷第2期 )
图16 爱因斯坦
爱因斯坦(Albert Einstein,1879—1955)是相对论、量子力学和统计力学的奠基人(图16),其热力学功底深厚。关于热力学、统计力学与辐射问题{我恨不得想说统计力学和辐射问题是同一个小问题!},爱因斯坦也是当之无愧的最有识见者,他的研究导出了受激辐射、固体量子论和玻色—爱因斯坦凝聚等近代物理内容。爱因斯坦1905年爆发前共发表过5篇文章,其中1902年的两篇、1903年的一篇、1904年的一篇都是关于热力学的,由此可见爱因斯坦的基本功底所在。1905年的四篇论文,两篇是相对论的,一篇是关于布朗运动的,一篇是关于光的产生和转化的。这后两篇就是关于黑体辐射的,如果不放到黑体辐射研究的大框架中去看恐怕不易看出其价值。就从黑体辐射研究中获得研究成果之多与深刻而言,愚以为爱因斯坦要超过普朗克。直觉的火花和正确的揭示,是爱因斯坦研究的特点。爱因斯坦在1905—1927年间关于黑体辐射问题的研究,至少有如下22篇文章是值得关注的:
Albert Einstein, Kinetische Theorie des Wärmegleichgewichtes und des zweiten Hauptsatzes der Thermodynamik(热平衡及热力学第二定律的动力学理论), Annalen der Physik (ser. 4), 9, 417-433 (1902).
Albert Einstein, Eine Theorie der Grundlagen der Thermodynamik(热力学基础理论), Annalen der Physik (ser. 4), 11, 170-187 (1903).
Albert Einstein, Allgemeine molekulare Theorie der Wärme(热的一般分子理论), Annalen der Physik (ser. 4), 14, 354-362 (1904).
Albert Einstein, Über einen die Erzeugung und Verwandlung des Lichtes betreffenden heuristischen Gesichtspunkt(关于光的产生与转化的一个启发性观点), Annalen der Physik (ser. 4), 17, 132-148 (1905).
Albert Einstein, Über die von der molekularkinetischen Theorie der Wärme geforderte Bewegung von in ruhenden Flüssigkeiten suspendierten Teilchen(关于热的分子动力学所要求的静止液体中悬浮颗粒的的运动), Annalen der Physik (ser. 4), 17, 549-560 (1905).
Albert Einstein, Zur Theorie der Brownschen Bewegung(布朗运动理论)Annalen der Physik (ser. 4), 19, 371-381 (1906).
Albert Einstein, Theorie der Lichterzeugung und Lichtabsorption(光产生与光吸收的理论), Annalen der Physik (ser. 4), 20, 199-206(1906).
Albert Einstein, Plancksche Theorie der Strahlung und die Theorie der Spezifischen Wärme(辐射的普朗克理论与比热的理论), Annalen der Physik (ser. 4), 22, 180-190 (1907). Correktion an Seite 800.
Albert Einstein, Über die Entwicklung unserer Anschauungen über das Wesen und die Konstitution der Strahlung(我们关于光之本质和构成观念的演化), Deutsche physikalische Gesellschaft, Verhandlungen 7, 482-500 (1909); 也见于Phys. Zeitschrift 10, 817-825(1909).
Albert Einstein, Zum gegenwärtigen Stande des Strahlungsproblems(论辐射问题的现状), Physikalische Zeitschrift 10(6), 185-193(1909).
L. Kopf, Albert Einstein, Über einen Satz der Wahrscheinlichkeitsrechnung und seine Anwendung in der Strahlungstheorie(概率计算定律及其在辐射理论中的应用), Annalen der Physik (ser. 4), 33, 1096-1104(1910).
L. Kopf, Albert Einstein, Statistische Untersuchung der Bewegung eines Resonators in einem Strahlungsfeld(辐射场下振子运动的统计研究), Annalen der Physik (ser. 4), 33, 1105-1115 (1910).
Albert Einstein, Théorie des quantités lumineuses et la question de la localisation de l'énergie électromagnetique(量子化发光理论与电磁能量局域化问题), Archives des sciences physiques et naturelles (ser. 4), 29, 525-528 (1910).
Albert Einstein, Otto Stern, Einige Argumente für die Annahme einer molekularen Agitation beim absoluten Nullpunkt(关于绝对温度下分子激发假设的一个论证), Annalen der Physik (ser. 4), 40, 551-560(1913).
Albert Einstein, Quantentheorie der Strahlung(辐射的量子理论), Mitteilungen der Physikalischen Gesellschaft, Zürich 16, 47-62 (1916). P. Ehrenfest, Albert Einstein, Zur Quantentheorie der Strahlung, Physikalische Zeitschrift 18, 121-128 (1917). 这是同一篇。
Albert Einstein, Strahlungs-emission und -absorption nach der Quantentheorie (量子理论下的辐射发射与吸收), Verhandlungen der Deutschen Physikalischen Gesellschaft 18, 318-323(1916).
Albert Einstein, and Paul Ehrenfest, Quantentheorie des Strahlungsgleichgewicht (辐射平衡的量子理论), Zeitschrift für Physik 19, 301-30 (1923).
Albert Einstein, Quantentheorie des einatomigen idealen Gases(单原子理想气体的量子理论), Sitzungsberichte der Preussischen Akademie der Wissenschaften, Physikalisch-mathematische Klasse, 261-267 (1924).
Albert Einstein, Quantentheorie des einatomigen idealen Gases,2. Abhandlung (单原子理想气体的量子理论,第二部分), Sitzungsberichte der Preussischen Akademie der Wissenschaften (Berlin), Physikalisch-mathematische Klasse, 3-14 (1925).
Albert Einstein, Quantentheorie des idealen Gases(理想气体的量子理论), Sitzungsberichte der Preussischen Akademie der Wissenschaften (Berlin), Physikalisch-mathematische Klasse, 18-25(1925).
Albert Einstein, Vorschlag zu einem die Natur des elementaren Strahlungs-emissions-prozesses betreffenden Experiment(针对基本辐射过程本质的实验建议), Naturwissenschaften, 14, 300-301(1926).
Albert Einstein, Theoretisches und Experimentelles zur Frage der Lichtentstehung(关于光产生问题的理论与实验探讨), Zeitschrift für angewandte Chemie 40, 546 (1927).
关于爱因斯坦其人及其成就的分析,派斯所著爱因斯坦传记最有参考价值,见Abraham Pais, Subtle is the Lord, Oxford University Press (2005). Subtle is the Lord 是对Raffiniert ist der Herr Gott 的英译,出自爱因斯坦的“Raffiniert ist der Herr Gott, aber boshaft ist er nicht”,意思是“上苍心思缜密,但它不怀恶意”。参透这句话的人,可能会鼓起勇气去探索宇宙的奥秘。
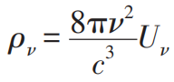
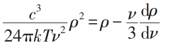
爱因斯坦在1905的“关于光的产生与转换的一个启发性观点”一文中考虑的是黑体辐射、荧光、紫外光产生阴极射线(即俗话说的光电效应)等涉及光的产生和应用的场景。若假设光的能量在空间分立分布(die Energie des Lichtes diskontinuierlich im Raume verteilt sei),这些现象就容易理解。从点光源发出去的光的能量,不是在空间中连续地摊稀薄了{我突然觉得这个图像本身其实不科学。详细讨论见下},而是表现为有限个局域化的能量量子(lokalisierten Energiequanten)在空间中的运动。考察一个由完全反射的壁所构成的腔体,里面有气体分子和电子,在此情形下物质与辐射的平衡态问题,这可以用来讨论普朗克分布问题。爱因斯坦明确指出,Wir nennen die an Raumpunkte geketteten Elektronen “Resonatoren”(把空间点上被拴住的电子称为(普朗克的)振子)。这篇文章中的辐射谱分布公式,可写成,uν是平均能量,前面的因子已经变成8了。爱因斯坦要表明,能量量子同普朗克的黑体辐射理论一定程度上是独立的。在远离黑体辐射的场景一样有对能量量子化的需求,比如阴极射线轰击下的X射线的产生过程。
这篇文章因为接受了能量量子化的观点,解释了光电效应,因此后人提起的时候一般只提解释光电效应对建立起能量量子概念的重要性那部分,而忽视了前面的关于辐射的热力学内容。如下一些内容对黑体辐射的理解非常有必要:所有不同频率的辐射是可分的;反射壁之间的辐射经绝热压缩,熵不变;单位体积熵谱密度φ是能量谱密度ρ的函数,∂φ/∂ρ=1/T。就后一点而言,一般文献里用的都是∂S/∂u=1/T形式的表达。
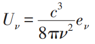
爱因斯坦一直喜欢把振子平均能量写成能量谱密度的函数,,怪事。参见爱因斯坦1905年和1916年的文章。
在爱因斯坦1905年的文章中,还有一篇是关于布朗运动的。其实,爱因斯坦还投了另一篇专门关于布朗运动的,不过是到1906年才发表出来。这篇文章里提到了黑体辐射。黑体辐射和布朗运动之间有什么关系?笔者此前没注意过。现在我知道布朗运动关切的是液体与悬浮粒子的体系,那里有热能与机械能的平衡;关于黑体辐射,若设想辐射场中有分子(空腔中有任何物体都不影响黑体辐射分布律),那就是一个辐射与分子构成的体系,那里有辐射能与分子内能之间的平衡问题。在1906年这篇文章中,爱因斯坦假设稀薄气体中有电荷,能发射电波(elektrische Welle)也从环境中接受辐射,从而中介了气体同辐射之间的能量交换。根据布朗运动的推导,可以得到在长波长、高温极限下的分布定律。对于波数ν,辐射密度为(原文照抄。此处L是光速)。写成
,这是维恩位移定律要求的形式。洛伦兹在1908年也得到了这样的金斯公式 [H. A. Lorentz, Zur Strahlungtheorie, Physikalische Zeitschrift 9, 562-563 (1908)]。爱因斯坦写道:“Die Tatsache, daß man auf dem angedeuteten Wege nicht zu dem wahren Gesetz der Strahlung, sondern nur zu einem Grenzgesetz gelangt, scheint mir in einer elementaren Unvollkommentheit unserer physikalischen Anschauungen ihren Grund zu haben(依据前述路径未能得到辐射的正确分布而只是得到了其极限情形的事实,让我觉得有理由相信我们的物理观在基础层面是不完备的)”。Unvollkommentheit,不完备性,这是爱因斯坦这个量子力学奠基人后来对量子力学一直挑剔的地方,而量子力学的这个弱点也一直没有改观。介绍这一段,是想让大家看到爱因斯坦在1905年前的一段时间里对物理学就是有通盘考虑的。爱因斯坦关于黑体辐射的考虑,那个时刻没有得到正确的普朗克分布,但是爱因斯坦没有放下这个问题。当爱因斯坦十年后再回到这个问题时,突破性进展就来到了。所谓“念念不忘,必有回响”,信夫!爱因斯坦总能做出重要的工作,几无失误,也是奇迹。
顺便提一句。布朗运动问题应该是练习物理学研究基本功的样本之一。荷兰人福克(Adriaan Daniël Fokker,1887—1972)1913年在洛伦兹指导下获得博士学位,其博士论文研究辐射场中电子的布朗运动,其中有个方程就是后来的Fokker—Planck方程。布朗运动的重要意义在于提示,关于平衡态分布的动力学问题,研究对象必然是涨落,那也是非平衡态统计要关注的。某些所谓的统计物理教程,随便来两句平衡态下物理量的计算就算糊弄过去了,涨落是提都不提。至于布朗运动,一般介绍给人留下的印象也就是显微镜下花粉颗粒在液面上的无规运动而不涉及任何的数学物理。恶俗科普的危害,布朗运动为一显例。
爱因斯坦1907年的“辐射的普朗克理论与比热的理论”一文将黑体辐射与比热理论联系起来,这是固体量子论的源头。兹概述如下。在概率论的意义上,黑体辐射分布律的研究引向对光的发射—吸收的新认识。尽管普朗克的理论还不完备,但让对一些规律的理解变得容易了。可以藉此在固体的热学和光学性质之间建立起一些联系。考察一个体系的状态,按照分子动力学理论,其由变量P1,P2⋯Pn表征。分子过程由方程决定,此方程右侧的函数满足
(意思是保守函数)。考察一个子系统,只由变量P1,P2⋯Pm表征,其能量与总系统相比只是个无穷小量。按照经典统计理论,子系统的变量落在区域(dP1dP2⋯dPm)内的几率为dW =Ce-E/kTdP1dP2⋯dPm,改写成dW=Ce-E/kTω(E)dE的形式,其中ω(E)是态密度函数。根据分子动力学理论,ω(E)=const.,由此得到能量均分的结果,即平均能量
。爱因斯坦发现,如果ω(E)只在E=0,ε,2ε⋯才取值,且要求
,则平均能量为
,进而可得到普朗克谱分布公式。这篇文章算是消解了经典物理关于能量等分的悖论,导致了接下来固体比热的德拜模型。能量量子不是黑体辐射的特性,而是一般性的物理规律(general law of physics)。当然,关于能量传递(Energieübertragung)的机制,即物质如何从一个能量状态到另一个能量状态、辐射如何从一个频率到另一个频率的问题,一直没有得到解释。物质与辐射之间的能量转移叫能量交换(Energieaustausch)。
爱因斯坦接着计算普朗克分布对应的固体比热,这里他假设普朗克分布不只是对辐射成立,结果的函数形式为。显然,特征频率不同的振动起作用的温度不同。考虑到固体中原子振动(低频)与电子振动(高频)的不同,可以定性地解释固体比热随温度的变化。这篇文章可说是固体量子论的发源。
愚以为,爱因斯坦这篇文章的一个未被充分肯定的亮点是引入了点状的态密度函数ω(E),其只在一个无穷小邻域内才不为零,且积分值为常数。这其实就是δ-函数,后来以狄拉克delta function而闻名。庞加莱1912年的能量量子假设关于黑体辐射的充要性证明就是顺着这个路子(见下)。1907年的狄拉克才5岁。后来狄拉克用δ-函数处理一些态矢量的归一化问题,还引入了δ-函数序列,称为狄拉克梳(dirac comb),其实就是爱因斯坦这里用到的ω(E)函数的样子。杨振宁先生(1922— )自1967年起有多个关于狄拉克函数排斥势的工作。
研读这些历史文献,笔者的值得一提的一个收获是,点源向空间的传播必然要求量子化。这是个朴素的思想,但是符合逻辑。详细讨论见下。
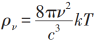
爱因斯坦在1909年关于黑体辐射的论文有两篇。在“论辐射问题的现状”一文中,爱因斯坦先指出电动力学里的延迟势和超前势对应辐射问题所关切的发射和吸收过程。根据麦克斯韦电磁理论,一个离子 {看,普朗克的振子这下子有了具象},当其平均振动能Eν和辐射密度ρν之间满足关系时,才是平衡的。而离子,若其也和某个分子交换能量,根据分子理论,Eν=kT 时,气体分子才不会通过振子向辐射空间(Strahlungsraum)平均来说净传递了能量。这样就得到了金斯公式
。可这个公式不对啊,和黑体辐射不符。那么,是
不对呢,还是Eν=kT不对,还是两者全不对?问题到了这里,就知道下一步该怎么走了——这是分析方法的胜利。也许不引入普朗克理论的假设一样能得到普朗克分布公式。Wäre es nicht denkbar, daß zwar die von Planck gegebene Strahlungsformel richtig wäre, daß aber eine Ableitung derselben gegeben werden konnte, die nicht auf einer so ungeheuerlich erscheinenden Annahme beruht wie die Plancksche Theorie (尽管普朗克公式是正确的,难道有一个给出同样结果但不涉及普朗克理论里的可怕假设的推导,是不可想象的吗)?你看,在1909年爱因斯坦给黑体辐射谱分布公式的研究方式定调了!
爱因斯坦指出,普朗克本人的表述逻辑不完备,普朗克的辐射公式同他赖以开始的理论基础不相容。玻尔兹曼的熵是S=k logW+S0,普朗克的熵是S=k logW,他们都只是形式上说W是状态的complexion数目(number of complexions, Anzahl der Komplexionen,状态的等价排列组合数目)。在辐射的振子理论中普朗克没有选择complexions的自由。笔者忽然明白了,此时爱因斯坦认可的几率还是状态出现的时间占比。等后来同相空间占比等价了,就是所谓的系综理论吧。
爱因斯坦从涨落的角度看辐射问题。坦白地说,推导过程笔者没看懂,容抽空从头来过。爱因斯坦指出,不只是发射和吸收过程,而是辐射的空间分布以及辐射压之涨落也表明辐射是由量子组成的。没有普朗克公式也会有光量子公式,有对应维恩公式的那部分物理(对应大的ν/T)就够了。此外,爱因斯坦还提醒注意斯托克斯效应的例外情形。如果是双光子吸收造成的,则几率应该正比于激发光强度的平方。再者,在麦克斯韦—洛伦兹的电动力学中,基本电量子e(即基本电荷)还是个陌生概念,但是它和光量子常数h有联系。爱因斯坦这里实际上是得到了精细结构常数。修订的理论包含基本量子e作为其结果,也必然包含辐射的量子结构作为结果{容笔者感叹,天啊,这是要预言U(1)规范理论吗?我相信那句话,如果给物理学家分类,爱因斯坦自成一类!}。麦克斯韦波动方程要被包含e作为系数的方程所代替,还必须是洛伦兹变换不变的?值得注意的是,爱因斯坦在这篇文章里引用了意大利数学家列维-齐维塔(Tullio Levi-Civita,1873—1941)的Sur le mouvement etc.(论运动及其它)一文,四年后,列维-齐维塔经爱因斯坦的朋友格罗斯曼(Marcel Grossmann,1878—1936)介绍开始教爱因斯坦构造引力相对论理论所需要的数学。冥冥中其有天意乎?
普朗克理论的基础该如何改变呢?接下来爱因斯坦用布朗运动做类比得到了辐射场能量的涨落,含两项,一项更多是粒子性的,一项更多是波动性的,此乃波粒二象性{愚以为,关于光,波与粒子的特质一直是同时存在和表现的。在任何时刻任何情景下,都不可能两者只有其一。这才是波粒二象性的本义。坊间的光既是波又是粒子的说法是赝专业物理学家的解读}。关键的是,爱因斯坦在此处倒用了公式S=k logW,他用的是W=eS/k的形式。后来我们知道,薛定谔(Erwin Schrödinger,1887—1961)会把W=eS/k 改造成W=eS/iℏ 的形式,得到薛定谔方程。这么干,薛定谔不是头一回儿,他1922年对外尔(Hermann Weyl,1885—1955)在1918年的论文中引入的尺度变换因子有类似的复化操作,复活了规范场论,此处不论(参阅拙著《云端脚下》)。
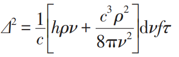
在1909的Anschauung一文中,爱因斯坦考察一个在辐射场中其可反射的频率处于ν→ν+dν范围内的小薄片(eine Platte),其运动的涨落用量Δ表示,得出结果为,其中τ是时间,而f 应该是薄片的面积。爱因斯坦指出,第一项是量子性(粒子性)的,在频率稍大的、维恩公式成立的频率范围它总是居于主导地位,第二项则来自波动性。这两个性质(Undulationsstruktur und Quantenstruktur)皆存在于普朗克公式中,因此不可以当作彼此不可统一的看待(nicht als miteinander unvereinbar anzusehen sind)。
更多爱因斯坦关于涨落的研究应该放到一起考察,待补充。
爱因斯坦1910年的一篇论文{少见的与他人合作的论文。这不是爱因斯坦的风格}谈论辐射场中振子的运动,就是探讨黑体辐射。一通推导猛如虎{我一直认为,当年普鲁士物理学家一通乱推导的精髓我们没学会啊,不,没人教啊},爱因斯坦得到了方程(估计以前普朗克也得到过),进一步得到了
,这就是金斯公式。经典理论总是得到金斯的结果。能量均分此处只应用到振子上。这篇文章中爱因斯坦注意到了另一种方式的动量起伏(Impulsschwankungen anderer Art),不过语焉不详?
爱因斯坦和斯特恩(Otto Stern,1888—1869,即Stern—Gerlach实验中的那位,1943年度的诺贝尔物理奖得主)1913年的黑体辐射论文,讨论的是普朗克1912年文章的零点能问题,即振子的平均能量由变成了
(原公式照抄)。爱因斯坦与斯特恩发现,
,而
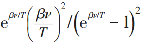
,也就是说没有零点能时高温的平均能量比能量均分的kT要小,而有零点能(不符合经典图像)时高温的平均能量才是经典物理里的能量均分定理所要求的kT。零点能是必须的?太神奇了,太令人惊讶了{中文统计教科书里,好像连王竹溪先生的教程,都没提过这个事情吧}。
转动分子可能提供一个频率随温度变化而热运动对应一个固定频率的图像。这个体系可以用来验证零点能存在的合理性。将前述平均辐射能量用到具有两个自由度的分子的转动上。对于给定的温度,转动能量同转动频率,J 是分子的转动惯量。爱因斯坦和斯特恩接着用关系式
和
和
来讨论比热,发现根据A. Eucken测量的氢分子比热数据来看,有零点能的结果更可能是对的。
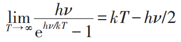
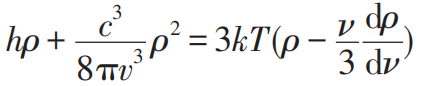
接下来他们要从存在零点能出发,以非强制性的、虽说不那么严谨的方式,不用不连续性的假设,导出普朗克公式来。{天,咋想的?}考察绑定在一个分子上的振子,处于无规的辐射场中。平衡时,分子从辐射场获得的平均动能等于通过碰撞同其它分子获得的动能(原文如此)。这样就能获得辐射密度同分子平均动能(也即温度)之间的关系。此前这样得到的是瑞利—金斯分布{和普朗克分布就差个零点能?}。现在假设辐射有零点(我强调一下,零点指的是温度T=0,不是振子能级n=0)能。直线振子遭遇来自辐射的摩擦,假设速度够小时,K=-Pv。振子动量的涨落用表示,
,假设在时间段τ 内速度没有明显变化,其中根据爱因斯坦1910年的推导,
。爱因斯坦一通推导猛如虎,得出的结果令人欢欣鼓舞,那是一个分布函数ρ的微分方程
,其解为
,对应的振子能量为
(右边第二项少个1/2因子,原公式照抄)。
爱因斯坦推导出这个方程那些操作,套用现在的流行语,是神操作。从前,看电动力学的书,尤其是关于加速电荷辐射以及切伦科夫辐射之类的内容,我是实在弄不懂他们在推导什么,这造成了我不敢讲电动力学课的后果。然而,感谢爱因斯坦,他在这篇文章的559页上加了个脚注(图17),道出了这些科学巨擘做物理的事情。爱因斯坦曰:“Es braucht kaum betont zu werden, daß diese Art des Vorgehens sich nur durch unsere Unkenntnis der tätschlichen Resonatorgesetze rechtfertigen läßt(无需强调就该知道,这种做法只有因为我们对真实的振子规律一无所知才干得出来)”。真扎心啊,合着他们是一通瞎推导的,可是这才是真正的物理研究啊。最前沿的知识本来就是不完备的,一通瞎搞,再去追求自洽,这是做学问的正确方式。爱因斯坦不装大尾巴狼,这是我格外佩服他的另一原因。
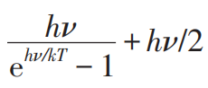
文章最后,爱因斯坦总结了两条:(1)氢气比热结果使得量为hν/2的零点能的存在更加有可能(mach die Existenz einer Nullpunktenergie von Betrag hν/2 wahrscheinlich);(2)零点能使得不借助任何不连续假设就能得出普朗克公式。当然,能量不连续性假设自有其道理。看看爱因斯坦的用词,machen wahrscheinlich,没有一点儿吹牛的意思。
1916年初,爱因斯坦为之忙活了8年的广义相对论终告完成,闲来无事他又回头思考黑体辐射。爱因斯坦在1916年(1917年重发)的文章“辐射的量子理论”中表明,普朗克的假设E=hν可以从速率方程得到。在“量子理论下的辐射发射与吸收”一文中,爱因斯坦引入了受激辐射的概念,以及爱因斯坦系数A和B。此外,爱因斯坦在文中还认识到(老)量子力学11)会牵扯到概率以及因果律失效的问题。爱因斯坦现在针对这个公式,即普朗克基于电磁—力学分析得到的
,仔细分析后的结论是这个公式的电磁—力学分析与量子理论的基本思想不相容(mit der Grundidee der Quantentheorie nicht vereinbar ist)。重塑普朗克理论的努力到那时一直都在进行中。
物理学在1916年的情形跟1900年完全不一样了,此时黑体辐射问题被很多人关注过,1913年玻尔也提出了发光过程的跃迁概念。从量子角度考虑辐射—物质间的相互作用成为可能。爱因斯坦把1916年发表的“量子理论下的辐射发射与吸收”扩展成了“辐射的量子理论”。爱因斯坦考察物质粒子和辐射之间的相互作用,采用的模型为光与分子组成的体系。若知道物质粒子的能量分布规律,则可以由交换能量的静态条件获得黑体辐射的分布规律。笔者提醒各位注意,爱因斯坦谈论这个量子力学问题时用的是经典概率而不是概率幅,这再再告诉我们量子力学骨子里头根本就是经典力学!我们自己以为的量子力学都是在谈论概率幅(波函数)的观念是没理由的。爱因斯坦太伟大了,但凡读懂一篇他的文章,你就能体会到爱因斯坦不同常人的伟大。{笔者认识到读爱因斯坦的论文不可遗漏一字。漏一字都可能错过点儿闪光的思想!}爱因斯坦在这篇文章中给出的推导有没有道理,对不对?不好说!但是,到了1960年,基于爱因斯坦的受激辐射概念人类确实制造出了激光。我时常想,物理真需要是对的吗?或者说,能引导出新的事物,不也是物理学理论正确的最好证明。这些年笔者仔细回顾那些伟大的物理理论,发现其实几乎没有对的。但是,但是,这并不重要。重要的是我们人类的认识,以及借助认识获得的能力,进步了。
1916年“辐射的量子理论”这篇文章报道了一个与维恩思路有关的普朗克公式推导方法,提供了对辐射之发射—吸收的认识。爱因斯坦指出,当基于分子的吸收—发射能得到普朗克谱分布公式时,也能获得更多的关于相关过程的认识。分子在吸收和发射辐射时有动量hν/c的转移,那这光能量量子hν 按说就该伴随有动量单元hν/c。在此过程中,分子会获得一个速度分布,跟通过分子间碰撞得到的同样的分布,这与分子具体是什么样的分子无关。从分子经过碰撞会达到平衡出发,分子有动量是现成的知识,爱因斯坦指出普朗克公式如果要成立,光量子也该有动量,且是量子化的动量{又是一个大发现},此前的黑体辐射推导只基于能量交换。分子发射一个光能量量子ε,会有反冲动量ε/c个,故发射的不能是球面波(球对称的情形就不用管动量了)。对辐射谱分布问题,这个动量是无足轻重的,但是对于分子满足热理论则是必须的。理论要完备!光量子之还有动量后来在1923年被康普顿 (Arthur Holly Compton,1892—1962)的散射实验,即固体里的电子散射X射线的实验,证实了。康普顿的计算是把光完全当作具有能量(能量全部是动能)和动量的经典小球处理的。笔者再强调一遍,至少到薛定谔用薛定谔方程解出氢原子能级的1926年,所谓量子力学用到的所有物理100%都是经典物理!
由辐射与分子间的热平衡,可以推测分子的量子行为。若量子理论要求的分子内能分布通过辐射的吸收与发射被确立了的话,辐射的普朗克分布公式就自动成立。{从前我读速率方程,一直以为平衡是指物质的状态数,没想到也是辐射场的平衡!}辐射场中单频率振子的行为可以用布朗运动理论里的方式加以处理。爱因斯坦从辐射与分子之间的能量交换出发,考虑到振子的能量(或状态)变化有两个原因,一是自发辐射,Δ1E=-AEτ;第二个源自辐射场,与辐射密度成正比,{此时没有细节!} <Δ2E>=-Bρτ。足够长时间内的平均能量应与时间无关,故,结果得到
。这就是振子平均能和辐射密度之间线性关系说法的来源!注意,在普朗克的公式中,平均能量和辐射密度之间的系数是由辐射的性质决定的,而在这里B/A似乎只是物质的性质。接下来考虑量子理论与辐射。考虑全同分子气体,处于热平衡。设分子状态对应的能量为ε1,ε2,⋯,εn⋯,相应的概率为Wn=pnexp(-εn/kT),这里爱因斯坦引入了一个统计权重因子pn,是状态的特征,但与温度T 无关。{统计权重因子pn 就是后来的所谓状态简并度,即拥有相同能量的状态的数目。爱因斯坦不经意间又引入了一个新概念。这个属于旧量子力学,不是1926年薛定谔用他的方程解出来氢原子能级后清晰表达了的简并}这个表达式是对麦克斯韦理论的深远推广。考察两状态Zm和Zn,自发跃迁会造成能量量子为εm-εn的辐射,单位时间里这样的辐射数目为Am→nNm,辐射场引起的变化表现为吸收和(受激)发射,速率为Bm→nρNm和Bn→mρNn,故平衡条件为Am→nNm+Bm→nρNm=Bn→mρNn。进一步地,
,得
。如果认定随着T的增加谱密度ρ趋于无穷大的话,则必然要求-Bm→npm+Bn→mpn=0 {这就是传说中的Reciprocality relation. 这里让我惊讶的是,爱因斯坦是怎么想到要通过ρ的极限行为来确定-Bm→npm+Bn→mpn=0的?},于是有普朗克公式
。{由此看来,所谓玻色—爱因斯坦统计,爱因斯坦应该在前吧,当然这个公式里还没有引入化学势。见下} 注意,
,这个推导过程指向在这里公式分母中的“-1”来自受激辐射项。若系数Bm→n=0就没有“-1”这一项了。此外,受激辐射同自发辐射概率之比为
。如果要求维恩位移公式成立,则对于能级差为εm-εn=hν的两个能级,要求有
。这些是激光理论的基础。1960年,人类造出了第一台激光器。
行文至此,笔者想到了关于二能级体系与辐射场平衡的抽象思考。能量一高一低的两个能级,是不对称的。而所谓的辐射场下的平衡,就是用辐射建立起这两个能级之间某种意义上的对称,那个平衡只能是动态的,且那个过程必须是(形式上)不对称的。一非对称作用于另一非对称上,才有动态平衡这种对称。外围没有辐射场时,即ρ→0的情形,只有高能级向低能级的跃迁。如今引入了辐射场,ν=νnm。如果只有吸收过程,没有受激辐射,这似乎和此辐射是事关两个能级的事实缺乏形式上的对称,辐射不该只刺激低能级而不刺激高能级。而只要接受存在自高能级的受激辐射的想法,则两能级间平衡的机制就是自发跃迁+受激辐射vs.吸收,而平衡态时就一定是普朗克分布。
爱因斯坦1905年首先给出了light quanta的概念,1909年用光场的涨落分析得到了黑体辐射。涨落包括particle-like项,其指向维恩分布,和wave-like项,指向瑞利—金斯分布。1917年的推导引入受激辐射的概念最终导致了激光的出现。然而值得注意的是,黑体辐射讨论中是不涉及相位的,或者说采用随机相位近似,但激光恰是相位相关联的体系。这里面应该还有不少值得探讨的内容。此外,光趋于高频更像粒子时,其相位信息会丢失的。这让笔者想到了复数的多种表示问题。容易想到,复数的幅角—模表示和矩阵表示分别对应波动力学和矩阵力学吗?分别对应粒子—波的二象性(duality)吗?复数确实就是个dual object!
加个小插曲。爱因斯坦1907年申请私俸讲师的论文(Habilitationsschrift),就是关于黑体辐射的,根据派斯的爱因斯坦传记Subtle is the Lord,185页,题目(英译)为“Consequences for the Constitution of Radiation of the Energy Distribution Law of Blackbody Radiation”,但是我找不到原文。
(未完待续)
注:
11)我觉得老量子力学和新量子力学的说法比较好。旧量子力学的说法会让人误以为它过时了。
物理学史钩沉
《物理》在淘宝店和微店上线,扫码即可购买过刊和现刊。
2.对于麦克斯韦方程组,洛伦兹变换的低速极限是伽利略变换吗?