|作者:张博1,† 赵勇1 白海洋1,2,††
(1 松山湖材料实验室)
(2 中国科学院物理研究所)
摘要 玻璃态材料自诞生以来一直受到自身稳定性的困扰。为了保障玻璃的服役安全性,人们一直努力提高玻璃的耐久性和稳定性。玻璃能否经年累月地保持长期稳定?影响其稳定性的物理机制和根源是什么?这些都是非晶态物理领域长期关注的重要难题。根据以往对非晶合金稳定性的研究结果,文章将简单介绍玻璃亚稳性的起源,然后介绍玻璃如何能够保持长期稳定,如何提高玻璃的热力学和动力学稳定性以制备出超稳玻璃,最后介绍影响玻璃稳定性的材料因素,用于指导有效地获得高稳定性玻璃。对玻璃稳定性的认识和理解,既能够保障玻璃材料服役过程中的安全性,又对认识过冷液体和玻璃转变等基本物理问题非常关键。
关键词 玻璃,长期稳定性,超稳玻璃,形核率
玻璃是一种非晶态的无定形固体,其最常见的制备方法是通过熔融液体的快速冷却避免结晶而形成。玻璃既具有晶体的机械刚性,又遗传了液体原子随机无序排列的结构特性。玻璃态(又称非晶态)物质在日常生活中无处不在,种类繁多,既包括自然界中天然的火山灰、树脂、琥珀等物质,也包括人工合成的氧化物、硫化物、卤化物、非晶态半导体、塑料、非晶态合金(金属玻璃)等新型非晶态物质[1]。玻璃因自身独特的无序原子结构而具有众多优异的力学、物理和化学特性,对经济和社会的发展起着举足轻重的作用,除了日常生活中大量使用的硅酸盐玻璃外,在高新技术领域,玻璃态物质已广泛用于光通讯、激光、航空、航天、军事、新型太阳能电池、高效磁性和输电材料等[2]。
由于具有无序原子排列结构,玻璃态物质相比平衡态下的晶体材料具有更高的吉布斯自由能,在能量上处于一种热力学亚稳态[3,4],导致弛豫和老化在玻璃中无时无处不在发生,它们是玻璃的本征特征。理论上玻璃态物质的结构和性能都会随着时间发生演化,随着时间的推移玻璃会发生结构弛豫、形核、结晶,最后长大成稳定的晶态物质。因此,玻璃的稳定性被定义为在使用或者加热过程中抵御通过形核和生长转变为晶态材料的能力。
不同种类的非晶态物质会呈现出截然不同的稳定性,如琥珀和火山玻璃能够在地表恶劣的物理、化学环境中稳定存在数亿年。琥珀能够把远古时代的动植物封存在其中,对蛋白质等生命物质起到良好的保存作用,可以把千百万年前的时空场景凝固住,并以无与伦比的稳定性保存至今,为当今了解古生物、远古时代的气候环境等提供重要的证据和化石[5]。火山玻璃能够凝固住几千万年前的大气成分,使得我们能够对最初火山爆发时的气体成分进行分析[6]。科学家们在月壤中发现了微米级玻璃球,它们是几千万年前火山爆发或者陨石撞击形成的,H2O、S、F、Cl等易挥发物质被包裹在其中保存至今[7]。以上玻璃态物质虽然能量上处于亚稳态,却具有无可比拟的稳定性,这种“矛盾”的属性吸引了科学家们的注意,甚至在考虑用天然玻璃材料来长时间封存核废料[8]。
还有很多非晶态物质表现出相对较差的热稳定性,如1960年首次发现的Au-Si金属玻璃在室温下3小时后就开始发生晶化,24小时后样品完全晶化[9]。这种较差的稳定性会使玻璃态物质在弛豫或老化过程中的物理和力学性能发生严重恶化,从而限制非晶态材料的长时间服役和大规模应用。因此,有关玻璃稳定性的研究被众多科技工作者长期关注。一方面,亟待探索提高玻璃稳定性的有效方法,特别是如何能够让玻璃长时间保持稳定,怎么才能获得超稳态玻璃?另一方面,其长时间稳定性的物理机制和根源是什么?这些都是凝聚态物理领域长期关注的重要问题。对玻璃稳定性的研究不仅有助于提高玻璃态物质的安全服役性能,也能进一步深化对非晶态材料弛豫基本规律和特征的认识。
玻璃态物质亚稳态的属性与其形成过程密切相关,液态快速降温被冻结成玻璃的过程可以看成是非晶态玻璃与结晶相之间的竞争过程。图1为玻璃形成过程中时间—温度—转变 (time—temperature—transformation,3T)示意图,在等温条件下液体的结晶存在一定的孕育时间,因此发生结晶的曲线形状如一个鼻尖,在鼻尖处孕育时间最短,最容易发生形核和长大。如图1中红色箭头所示,只有液体的冷却速率足够大,才可以避免形核与长大,从而形成完全非晶态的玻璃物质。当液体冷却至熔点附近未发生结晶时会进入过冷态,在过冷液相区的晶化机制不尽相同。在熔点Tm到鼻点温度Tn的浅过冷液相区,1%体积分数晶化所需时间和95%体积分数晶化所需时间几乎相等,这说明在该温区,成核速率很低,长大速率很高,一旦成核就很快长大结晶;而在Tn 至玻璃化转变温度Tg的深过冷液相区,1%体积分数晶化和95%体积分数晶化所需时间相差很大,表明此温区长大速率非常缓慢[1]。这个发现为探索玻璃体系热稳定性提供了至关重要的信息,通过控制晶体相形核和长大,可以有效地提高玻璃态物质的稳定性。也就是说,提高稳定性的必要条件是抑制晶核的形成和长大。具体形核机制此处不再赘述,可以参考Turnbull的经典形核理论[10,11]。通过形核率分析材料因素对玻璃稳定性能的影响将在本文第5部分给出。
图1 玻璃从熔融液体冷却到固体玻璃的时间—温度—转变示意图
亚稳态玻璃是通过液态物质快速冷却而来的,其结构和能量状态信息完全取决于它的热历史和制备方法。为了更直观地表示玻璃的能量状态,势垒图(potential energy landscape,PEL)被广泛用于描述玻璃的热力学和动力学行为[12,13]。如图2(a)所示,在一定的温度和压力下玻璃的能量状态存在众多的能量极点和谷点,极点代表着不同能量状态之间的势垒,而谷点对应的是能量极小态。高温下熔体的平均能量完全是温度的函数,液体中原子可以自由扩散,体系可以遍历到所有能谷。当温度从熔点降低到某一温度未发生晶化从而固结成玻璃时,这个温度被称为玻璃化转变温度(Tg)[1]。此时,体系的原子受到周围原子的强烈限制,不能像高温液体原子那样可以形成任意组态,只能被冻结在某一能谷中,能谷的高度和形状取决于体系的制备历史。根据能量势垒理论,作为温度函数的能量势垒谱可以同时描述玻璃系统的热力学和动力学稳定性。谷点位置的高度代表着体系能量状态的大小,实验中常常通过比热计算焓值的大小来比较不同能态玻璃之间的热力学稳定性的高低;峰点相对于谷点的高度差代表着体系到达另一个亚稳态所需要克服的势垒,也意味着该玻璃体系的动力学稳定性,实验中通过对比加热过程中玻璃化转变起始温度的大小来比较动力学稳定性的优劣,这是因为玻璃化转变起始温度越高,代表着破坏固体玻璃结构的阻挫越强。如图2(b)所示,随着冷却速率的降低,系统被固结在更低位置的能谷,表明体系的能量更低。在不发生形核结晶的前提下,降低冷却速率能够有效地提高体系的热力学稳定性。
图2 (a)玻璃的能量势垒示意图;(b)熔体通过冷却形成玻璃的示意图。图中Tm为熔化温度,Tx为晶化温度,Tg为降温过程中的玻璃化转变温度,Tf为虚化温度,TK是Kauzmann温度
值得注意的是,假设液体能够以极其缓慢的速率无限过冷,则在某一温度(非绝对零度)处液体的熵会一直降低到等于其晶体的熵,这个温度被称为Kauzmann温度(TK)[14]。如果继续降温,结构无序液体的熵会小于结构有序晶体的熵,意味着会出现负熵,这是违反热力学第三定律的,会出现熵危机。为了避免熵危机的发生,在TK以上的某个温度过冷液体会被冻结成玻璃,即发生玻璃化转变。TK是液体最低的玻璃化转变温度点,在TK处发生的玻璃化转变被认为是热力学上的理想化玻璃转变点,能够得到的非晶态物质是理想化玻璃。然而,目前实验中还没有直接观察到理想玻璃转变,这是因为通过极其缓慢的冷却速率使得液体一直过冷至低温十分困难。长期以来,对是否存在TK点一直争论不休,至今仍然没有定论。在实验中证实TK点是否存在非常重要,不仅可以指导我们获得最稳定的理想化玻璃,还能够阐述清楚长久以来人们对过冷液体的动力学发散现象的争议。
鉴于非晶态材料的亚稳性特征,人们总是想方设法地增强玻璃的稳定性,这也是非晶领域的研究热点和难点。最传统的方法是通过在Tg点以下对玻璃进行退火或老化处理,在热力学驱动下玻璃会发生趋于平衡过冷液态的结构弛豫,以获得更高的致密度和热稳定性。如图2所示,退火能够使高能态玻璃在势垒图上越过峰点不断地往更低能态的谷点弛豫。类似地,通过降低过冷液体的冷却速率也可以等效地降低体系的能量状态,提高热稳定性。如图2(b)所示,在避免发生结晶的前提下,冷却速率越低,玻璃化转变过程会在越低的温度下发生,从而能够获得更低的玻璃化转变温度Tg和虚拟温度Tf。Tg是熔体在快速降温过程中从过冷液体被冻结成固体玻璃时的温度,且降温过程中Tg的数值与Tf相等[15],测量方法与Tf相同。Tf是由Tool首次提出来的[16],被定义为过冷液体冷却发生玻璃化转变被冻结时的温度,它是描述玻璃热历史的一个重要参数,代表着玻璃在势垒图上平均能态的高低,可以用来评判热力学稳定性的好坏。有多种方法可以计算Tf,根据其定义可以通过固态玻璃比体积或焓值的延长线与过冷液体的交叉点来确定;还可以通过Moynihan等人提出的面积匹配方法从比热数据进行评估[17]。
对于热稳定性较差的非晶态材料,尽可能地提高长时间服役过程中的稳定性是十分有必要的,能够有效地保障使用过程中的安全性。玻璃的稳定性和温度密切相关,温度越高稳定性越低。因此,研究玻璃的长时间稳定性,最有效的手段就是考察其在Tg附近的长期稳定性。然而,目前对稳定性差的非晶态材料的长期稳定性研究,尤其是在Tg附近长时间稳定性的研究几乎是空白。这是由于通常这类材料具有较高的Tg,使得在实验室中进行常年累月的超长时间高温退火实验十分困难和甚至不可能。但是,如果寻找到一种非晶态材料,其Tg在室温附近,利用自然时效(即室温退火)既可以获得显著的退火效应,又能够实现在Tg附近退火时间的无限延长,可以有效地研究玻璃长期稳定性的物理机制和起源。
中国科学院物理研究所汪卫华团队张博等人曾于2005年开发出了Ce-基大块非晶合金,由于其拥有较低的Tg(约67℃),在开水中就可以进行塑性加工,所以又被称为“金属塑料”[18]。低Tg的特性使得Ce-基金属塑料成为研究非晶合金超长时间稳定性的理想材料体系。较低的Tg使得室温老化效应对Ce-基非晶合金特别显著,室温下对Ce-基非晶合金的老化相当于其在0.85Tg下高温退火,这远远高于其他非晶合金体系在室温下的老化效应,如Zr-基非晶合金在室温下老化等于在0.45Tg下退火。理论上,Ce-基非晶合金室温下显著的老化效应可以允许其在合适的退火温度窗口内进行无限长时间的老化实验,这是其他高Tg的玻璃材料所不可能获得的。
图3 室温(0.85Tg )下老化17.7年的非晶态Ce70Al10Cu20合金样品的实物图片(a)和高分辨透射电镜照片(b);不同室温老化时间Ce70Al10Cu20金属玻璃的比热(c)和热焓(d)曲线
松山湖材料实验室张博课题组等研究了Ce-基金属塑料在0.85Tg下长达17.7年的超长时间室温老化样品的稳定性问题[19],如此接近Tg点的高温长时间老化实验在以往对非晶合金的研究中还从未被报道过。图3(a)给出了经过17.7年室温老化后的Ce70Al10Cu20非晶合金,表面只是出现了薄薄的氧化层,打磨后的表面如当初刚吸铸出来一样富有金属光泽[18]。图3(b)中的高清透射电镜照片和衍射图谱证明17.7年老化后的样品依旧保持着完好的非晶态结构,表现出极强的抗晶化能力,打破了传统对非晶合金稳定性差的认识。如图3(c),(d)所示,通过热力学数据表征了室温老化后样品的动力学和热力学稳定性的变化。老化后Ce70Al10Cu20金属玻璃样品的玻璃化转变起始点升高了27 K,虚化温度Tf下降了46 K,这说明动力学稳定性和热力学稳定性同时得到了显著的提升,通过长时间老化使其进入一种低能量的超稳态。进一步通过参数来表征玻璃的能量状态与理想玻璃之间的距离,从而能够评判玻璃热力学稳定性的优劣。如图4(a)所示,17.7年室温老化后的超稳Ce-基非晶合金的热力学稳定性优于大多数通过气相沉积制备的超稳玻璃薄膜,甚至能够与上亿年老化后的琥珀相媲美[20—28]。
图4 (a)通过 θ 参数来比较镀膜和老化获得的超稳态有机玻璃(琥珀[20]、聚苯乙烯(PS)[21,22]、吲哚美辛(IMC)[23]、萘基苯(TNB)[23]、甲苯(TL)[24]、乙苯(EB)[25,26]、特四氟乙烯[27,28] )、金属玻璃(Ce70Al10Cu20、PdCuNiP、AuCuAgPdSi)的热力学稳定性;(b) Ce70Al10Cu20金属玻璃和其他 Cu-基、Zr-基金属玻璃体系形核率的比较[19]
Ce-基非晶合金的长期稳定性是如何实现的呢?分析发现,Ce-基超稳非晶合金的获得与它的强脆性特性密切相关,Ce-基非晶合金的动力性脆性值m在20—30之间,是一种典型的强液体玻璃体系[29]。通常,强液体的能量势垒图存在一个大的能谷而弱液体的能量势垒图是由多个不同的大能谷组成,这意味着强液体的微观动力学是相对均匀的[12,13,30]。强液体特性使得Ce-基非晶合金在老化过程中能够持续快速地通过临近小能谷间的跃迁最终到达较低的能量状态。图4(a)中脆性有机玻璃吲哚美辛(m~82.8)和聚苯乙烯(m~116)的弛豫速率显著小于强Ce-基非晶合金(m~28),验证了强玻璃体系能够有效快速弛豫的推断[19]。
强脆性特征能够保障Ce-基非晶合金的快速弛豫接近理想玻璃态。但是,超稳性的获得还需要高的抗晶化能力,即能够阻碍弛豫过程中形核、结晶行为的发生。根据经典形核理论[10,11],我们比较了Ce-基非晶合金与其他合金体系的形核率大小[19]。发现强的液体特征和较大的Trg值促使Ce-基非晶合金拥有极低的形核率(图4(b)),表现出一种可以与琥珀媲美的强抗形核能力。所以,玻璃体系想要长时间保持稳定,一方面要拥有较强的脆性,能够持续快速地往超稳低能态弛豫;另一方面,要有较低的形核率,避免玻璃在弛豫过程中发生形核、结晶长大。
由于非晶态物质处于更高能量状态的亚稳态,其结构会随着时间和温度变化发生弛豫或者形核结晶,因此在服役过程中玻璃的性能存在很多不稳定因素。近年来,具有更高热力学和动力学稳定性的超稳玻璃材料吸引了人们的注意。超稳定玻璃具有优异的性能,如高强度、高硬度、高弹性模量、优良的耐磨和耐蚀性能、更高的发光效率和使用寿命等,从而在基础研究和工程应用方面引起研究者的广泛关注。
虽然退火或老化是一种有效的增强玻璃热稳定性的方法,但玻璃在老化过程中发生局域结构重排的时间尺度特别长,如亿万年的琥珀和17.7年室温老化的Ce70Al10Cu20大块金属玻璃,每朝着超稳态接近一步,发生下一步重排的势垒将变得更高,所需要的时间将更长,达到超稳态的时间以指数的方式增长。为了缩短玻璃获得超稳态的时间,美国威斯康星麦迪逊大学的Ediger教授于2007年[31]发现,通过调整物理气相沉积(PVD)实验中的衬底温度和沉积速率可以极快地加速玻璃弛豫到超稳态的过程,制备出具有超高稳定性和致密度的超稳定有机玻璃薄膜。通过较高的衬底温度和较慢的沉积速率获得的薄膜样品比传统退火样品拥有更高的升温玻璃转变温度、更低的热焓和虚拟温度。这是因为玻璃表面的分子或者原子的动力学比其内部要快几个数量级[32—34],加上高温衬底使得表层原子在被下一层原子覆盖之前,有足够的时间窗口发生重排获得密堆积状态,最终将得到超稳态玻璃。如果采用传统退火或者老化的处理方法,要获得相似性能的超稳玻璃需要成千上万年[22],采用气相沉积方法制备超稳玻璃仅仅需要数个小时,大大地提高了超稳玻璃的制备效率。
在过去15年间,人们通过PVD方法制备出了更多种类的超稳玻璃,包括超稳金属玻璃[35—38]、有机物玻璃[24,25,31,39]、聚合物[26—28]和硫化物[40,41]玻璃等。在以往这些工作中,人们形成了一个共识,认为在气相沉积过程中衬底温度是关键的控制参量,超稳玻璃的形成需要衬底温度保持在0.8Tg至0.9Tg附近,较高的衬底温度有助于玻璃表面原子运动能力的提升,从而有效进行结构重排达到更稳定的构型,形成超稳态玻璃。然而,近期中国科学院物理研究所汪卫华课题组罗鹏博士等人发现[36],即使在远低于Tg(0.43Tg)的室温衬底上,通过降低沉积速率,也能够制备出稳定性显著提高的超稳定金属玻璃。如图5所示,与传统快速冷却制备的普通玻璃相比,冷衬底上制备的超稳玻璃Tg提高达60 K,拥有更高的抗晶化稳定性。这是因为低温下金属玻璃表面弛豫动力学要比预期的快。
图5 (a)普通玻璃和不同速率沉积的Zr46Cu46Al8金属玻璃薄膜的升温DSC曲线;(b)沉积速率对玻璃化转变温度Tg和晶化温度Tx的影响[36]
在通过PVD制备超稳金属玻璃的研究中,令人感到惊讶的是,通过控制衬底温度和沉积速率两个参量获得的结果大相径庭。Yu等人[35]通过磁控溅射在0.8Tg衬底温度下得到的Zr65Cu27.5Al7.5超稳金属玻璃,获得了更高的动力学稳定性,但其热力学稳定性变差。Magagnosc等人[42]在高温衬底下获得的PdCuSi金属玻璃,具有更高的弹性模量和硬度,从而认为其具备更高的热稳定性。Liu等人[43]获得的ZrCuNiAlHfTi超稳玻璃具有更高的弹性模量、密度和更低的热焓,但其动力学稳定性有所下降。Chu等人[44]发现ZrCuNiAl薄膜随着衬底温度的升高其力学性能有所提升,但动力学稳定性几乎没有变化。Luo[36]和Liu[37]等人发现在室温冷衬底上也能获得动力学稳定性增强的超稳Zr-基金属玻璃,但是它们的热力学稳定性有所变差。通过以上工作可以发现,衬底温度和沉积速率对不同成分的金属玻璃调控机制有所不同;此外,大多数超稳金属玻璃薄膜与普通金属玻璃相比,只具备更高的玻璃化起始温度,即只具有更优异的动力学稳定性,但其热焓比普通金属玻璃更高,说明超稳态金属玻璃薄膜处于一种高能态,热力学稳定性反而更差,这其中的物理机制目前还未被完全理解,值得进一步探究,期望未来能够获得兼具热力学和动力学稳定性的超稳态金属玻璃。
由于玻璃是通过过冷液体快速冷却而来的,那么其稳定性可以被理解为过冷液体抵御晶化能力的强弱。临界冷却速率(Rc)是表征玻璃稳定性最直接、最有效的参量之一,如图1所示,Rc代表的是过冷液体冷却形成完全非晶态玻璃所需要的最低冷却速率。Rc越小,则过冷液体在更宽的时间窗口不会发生晶化,拥有更高的热稳定性。但是Rc难以在实验中准确测量,因此,人们不得不采用玻璃的几个热力学特征温度来表征玻璃稳定性的优劣,包括玻璃化转变起始温度Tg、晶化起始温度Tx、晶化峰值温度Tp、熔化起始温度Tm以及液相温度Tl等,由这些特征温度总结出来的经验参数可以对玻璃稳定性进行简单、快速的评估。长期以来,人们总结出了过冷液相区宽度ΔTx[45,46]、约化玻璃转变温度Trg[11]、γ[47]、Hr[48]、H ′[49]、S[49]等参数,其中,ΔTx=Tx-Tg,Trg=Tg/Tl,γ=Tx/(Tg+Tl),Hr=(Tx-Tg)/(Tm-Tp),H ′=(Tx-Tg)/Tg,S=(Tp-Tx)/(Tx-Tg)。然而,以上热力学经验参数只是对某些特定玻璃体系稳定性的表征有效,在表征玻璃稳定性时的普适性较差,这是因为以上经验参数往往只简单地考虑了玻璃形核和晶化时的热力学条件,忽略了过程中的动力学因素。因此,为了能够有效地提高对玻璃稳定性描述的准确性和普适性,需要同时考虑热力学和动力学因素对玻璃稳定性带来的影响。
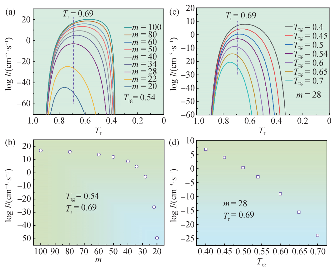
为了提高玻璃长时间服役或者过冷液体的稳定性,最有效的方法是阻碍玻璃体系发生形核,降低形核率。我们曾综合考虑热力学参数Trg和动力学脆性m对金属玻璃体系形核率的作用机制。根据经典形核理论[11]以及脆性与粘度之间的关系[4],我们可以得到形核率I的表达式为
其中kn,b 和η0为常数,α 和β 为无量纲参数,Tr=T/Tl为约化温度,mmin是脆性的极小值。因此,形核率I可以被看作为脆性m 和Trg参数的函数,I 的详细计算过程可以参考文献[19,29]。根据公式(1),我们考察了热力学参数Trg与动力学脆性m对形核率I 的作用机制(图6)。如图6(b)所示,当m 从100降低到40时,形核率logI 随着m 数值的减小大致呈线性下降的规律;然而,当m 低于35左右时,logI急剧下降。作为对比,当Trg从0.4增加到0.7时,log I 在全范围内都随着Trg参数的增加以线性方式下降,如图6(d)所示。因此,对于m 值小于35的强金属玻璃体系,m 对形核率的贡献远大于Trg参数。总结来说,Trg参数较大的强玻璃体系的形核率较小,从而会拥有更高的抵御形核保持自身热稳定性的能力。
图6 比较热力学参数Trg和动力学脆性参数m对玻璃形核率I的贡献[19] (a)Trg固定为0.54时,不同m值对形核率的影响规律;(b)选取Tr为0.69,Trg为0.54时,m对形核率的影响;(c)m固定为28时,不同Trg对形核率的影响规律;(d)选取Tr为0.69,m为28时,Trg对形核率的影响[19,29]
玻璃在日常生活和工业生产中无处不在,以其优异性能发挥着不可替代的作用。但玻璃是一种微观结构无序的非晶态材料,处于非平衡亚稳态,内部的原子始终发生着趋向于平衡态甚至晶态转变的结构弛豫,导致玻璃材料在服役过程中发生结构和性能变化,存在老化和稳定性问题。因此,玻璃稳定性的提高是人们期望对玻璃性能改善的最重要指标之一,对玻璃材料稳定性的优化能够有效地提高玻璃在长期服役过程中的安全性,但一直以来都十分具有挑战性,不断地吸引着更多的科研和技术人员加入到这个领域中来。另一方面,近年来超稳态玻璃的发现带来了一些极限的物理性能,为研究玻璃态物理中的重要基础科学问题如过冷液体和理想玻璃转变等重要基础科学问题提供了新的契机,最新的实验结果颠覆了原有的认识和理论,开创了新的科学分支。希望未来有更多的有志者加入到玻璃态物理领域中来,共同解决玻璃的稳定性差和揭示玻璃态的本质等世纪难题。
致 谢 感谢中国科学院物理研究所汪卫华院士对研究内容的指导和分析,感谢松山湖材料实验室柯海波研究员、尚宝双研究员在非晶合金热稳定性及物理起源等方面的讨论。
玻璃专题:
《物理》在淘宝店和微店上线,扫码即可购买过刊和现刊。