|作者:于渌 郝柏林
(中国科学院理论物理研究所)
本文发表于《物理》1980年第4期
■推荐理由
“文革”以来相当长一段时间内,国内物理界几乎与世隔绝,急需对国际物理学新进展有所了解。为系统介绍新的前沿和进展,《物理》1980年第4期新开了《讲座》栏目,于渌和郝柏林的《相变和临界现象》是这个栏目的开篇,他们的这个讲座连载了三期,内容和文字均堪称精彩。作者后来将之扩展成书——《相变和临界现象》(科学出版社,1984年),成为一本很受读者欢迎的高级科普读物。2005年科学出版社将此书修订再版(增加了作者陈晓松,是《物理改变世界》丛书的一种)。2007年该丛书获国家科技进步二等奖。
相变是普遍存在于自然界中的一类突变现象,是量变转化为质变这一辩证规律的典型表现之一。不算人类关于物质三态变化的早期观察,仅从1869年安德鲁斯发现临界乳光、1873年范德瓦尔斯提出非理想气体状态方程以来,对相变的实验和理论研究已经有一百多年的历史,积累了大量知识,形成统计物理L的重要篇章。就在这个古老的研究领域中,最近十多年有了实质性的进展。
长期以来,人们用“平均场”理论描述相变现象。它定性上大体正确,定量上却和日益精密的测量不符,形成比较突出的矛盾。在总结实验事实的基础上提出了“标度律”和“普适性”的概念,找到了相变点附近各种热力学特征量————“临界指数”之间的关系。1971年威尔逊(K. G. Wilson)将量子场论中的重正化群方法用到相变理论中来,论证了标度律与普适性,并发展了具体100计算临界指数的技术,得到了与实验一致的结果。这是统计物理近年来的一个重要进展。相变理论中引用和提出的一些概念和方法对整个理论物理也有普遍意义,对研究粒子物理、远离平衡的突变现象等有重要的影响。
本文试图从当前对相变的认识出发,先概述一些以往的成果,再介绍最近的研究进展,并指出若干尚待解决的问题。虽然相变理论的发展早已涉及现代数学的许多分支,我们将着重讨论物理概念和图像,只使用少量的数学推导。详细的总结有文献[1—3],并可参看文献[4—6]。为便于阅读,全文分Ⅰ、Ⅱ、Ⅲ三篇,公式、图表和引文均连续编号。
相变是有序和无序两种倾向矛盾斗争的表现。相互作用是有序的起因,热运动是无序的源泉。在缓慢降温的过程中,每当一种相互作用能量足以和热运动能量kT(k是玻耳兹曼常数,T是绝对温度)相比时,物质的宏观状态就可能发生突变。多种多样的相互作用导致丰富多彩的相变现象。气-液相变、合金有序化和液体混合物出现有限溶解度的转变等,都与经典的相互作用如分子间的范德瓦尔斯力有关。铁磁、反铁磁相变,本质上来自量子相互作用,但通常仍可用准经典方法描述。至于某些金属或合金突然失去电阻成为“超导”体,液氦突然失去黏滞性转入“超流”状态,则完全是宏观量子现象,不可能在经典物理的范围内得到解释。
尽管相变的现象和原因如此错综复杂,但各种物质在相变点附近的行为又极其相似。人们早就知道,千差万别的相变大体上可以分为两类。第一类相变有明显的体积变化和热量的吸放(潜热),有“过冷”或“过热”的亚稳状态和两相共存现象。第二类相变没有体积变化和潜热,不容许过冷、过热和两相共存;比热和其他一些物理量随温度的变化曲线上出现趋向无穷的尖峰。从热力学函数的性质看,第一类相变点不是奇异点,它只是对应两个相的函数的交点,交点两侧每个相都可能存在,通常是能量较低的那个相得以实现。第二类相变点则对应热力学函数的奇异点(它的奇异性质目前并不完全清楚),在相变点每侧只有一个相能够存在。图1给出两种相变热力学势的示意。为简单起见,只画出了温度变量。
图1 热力学函数示意图 (a) 第一类相变; (b)第二类相变
发生二类相变的体系有许多共同的特征。早在1895年,皮埃尔·居里就发现镍的磁化强度随温度的变化与二氧化碳在临界点附近的密度-温度变化曲线极其相似。正是根据这种类比,1907年韦斯(Weiss)参照范德瓦尔斯的状态方程提出了著名的“分子场理论”。直到二十年代末,铁磁相变点都还叫做临界点。遗憾的是,这个类比又被遗忘了几十年,以致某些统计物理教科书把二类相变和临界点作为两个独立的问题来叙述,认为临界点是相图上相界线的结束点,对应一类特殊的状态变化。其实只要把气-液相变的压力和密度分别对应单轴各向异性铁磁相变的磁场和磁化强度,就可以看出前者的临界点与后者的居里点乃是一回事(图2,图3)。铁磁相图上T≤Tc的一段温度轴也是一条相界线,以Tc为结束点;在Tc以上两相没有差别,可以连续地从一个相转变到另一个相。现在习惯于将这类现象统称为连续相变或临界现象。
图2 气液与铁磁相变比较
(a) 气液相变点; (b)铁磁居里点
早年曾经按热力学函数及其导数的连续性进行过相变分类∶凡是第K-1阶以内导数连续,而第K阶导数出现不连续的状态突变,称为第K类相变。除了本文后面将要讲到的二维体系外,自然界中只看到了第一、二类(包括临界点)相变。理想玻色气体的凝聚,理论上是第三类相变,现实的玻色系统(如4He)仍表现为二类相变。我们只区分一类相变和连续相变,并以后者为讨论重点,有时就简称为相变。
图3 状态方程的等温线
(a) 液体; (b)铁磁体
范德瓦尔斯的状态方程和韦斯的分子场理论是最早的平均场理论。朗道曾用一种非常普遍的形式加以概括。1957年巴丁-库珀-施里弗提出的超导微观理论可以看成是平均场思想的光辉成果。从现代临界现象理论的观点来看,平均场理论乃是零级近似。虽然它的结果定量上与大多数物理体系的实验不符,但定性上基本正确,物理图像清楚,仍是讨论相变的良好出发点。以下我们以单轴各向异性的铁磁体为例进行讨论,实际上对任何连续相变都是适用的。
图4 自由能随序参量的变化
临界点Tc以下,铁磁体处于有序状态,用序参量———自发磁化M来描述1)。平均场理论的基本假定有两条:
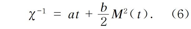
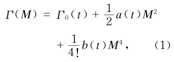
(1)临界点附近,序参量M是小量,自由能密度是它的解析函数,可以展开为
由于对称原因,不出现奇次项。
(2)系数a,b是温度的函数。我们以后采用无纲的约化温度t=(T-Tc)/Tc,写成
其中a>0,b>0。
根据热力学关系式,磁场由下式表示:
如果外磁场H=0,由方程(3)可以定出对应自由能极小的M平衡值。Tc以上,t>0,M 的平衡值为零;Tc以下有自发磁化
其中临界指数β=1/2, 系数
在临界点上t=0,等温线是
临界指数δ=3,系数c=b/6。
根据磁化率的定义,,由(3)求出
因此,在相变点附近 | t | → 0时,磁化率是发散的∶
而且γ=1。
根据平均场理论,很容易求出相变点上的比热跃变为
一般情况下,比热的奇异性也用幂次律表示为
跃变或对数奇异均相当于α=0。图5给出了液氦在气-液临界点Tc和超流相变点Tλ的比热奇异性。
图5 液体4He的比热实验曲线[7]
最初的平均场理论不考虑涨落,但只要涨落效应不十分显著,仍可在平均场的理论框架内进行讨论。为了考虑涨落引起的不均匀性,假定M可能与坐标r有关,在自由能密度公式(1)中加上梯度项。借助这一项,可以讨论涨落和关联的效应。关联函数的定义是
这里表示取统计平均,S是自旋,磁化强度
。这时从自由能表达式可以得到一个微分方程,它很像一个屏蔽库仑势的方程,它的解为
其中引入了一个重要的物理量——关联长度ξ,它与t的经验关系为
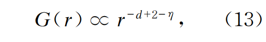
(在平均场理论中,临界指数ν=1/2。)当T→Tc时,关联长度趋向无穷大。在临界点上,即T=Tc时,关联函数不是按指数律,而是按幂次律衰减,即
这里d是空间维数,临界指数在平均场理论中是零。
至此,我们引入了α,β,γ,δ,ν,η 等六个“临界指数”来描述各种热力学量和关联函数在临界点附近的特征行为。有时还分别定义Tc上、下的α,γ和ν指数。由于迄今一切理论计算和绝大多数实验测量都表明,它们在Tc上、下的数值相等,我们在本文中不作这种区分。这些临界指数是近年来相变实验和理论研究的主要对象。
关联函数(11)的傅里叶变换称为结构因子
它可以用光散射或中子散射的办法测量。图6是结构因子倒数随波矢的变化。时,纵轴截距趋向于零,说明关联长度趋向无穷。利用关联函数还可求出一定体积内的涨落,它在临界点也是发散的。临界乳光、涨落增强、磁化率(压缩率)发散等都是关联长度发散的后果。正是由于关联长度大,从微观到宏观的各个尺度范围都起作用,构成了一个“真正”的多体问题。这既使常规的理论分析变得十分困难,却又提供了从另一个极限建立理论的可能性。这是我们在本文中要反复强调的观点。
图6 ( |t1| > |t2| > |t3| )
现在,我们可以描绘出连续相变的基本物理图像。绝对零度时,磁矩都按一个方向排列,有序度最高,随着温度升高,逐渐出现一些磁矩反向的区域,可以叫做“液滴“或“花斑”(参看图7)。然而它们不同于第一类相变时在旧相中形成的新相的“晶核”。晶核有比较确定的位置和边界,在条件适当时逐渐长大,因此新旧两相可以共存,系统内逐渐产生宏观尺度上的不均匀。连续相变的“花斑”若隐若现,跃跃欲变,在均匀的物体中此起彼伏。空间任何一点都有同等的概率成为“花斑”的中心,关联长度就是“花斑”的平均尺寸。代表各种磁矩取向的花斑,“你中有我,我中有你”。随着温度趋近相变点,关联长度愈来愈大,终于达到宏观尺度;空间各点一致动作,转入新相。因此,相变前后整个系统始终是宏观均匀的,不会出现两相共存。“花斑“所造成的不均匀只有用光或中子散射、超声波吸收等“微观”手段才能反映出来。
图6 “花斑”示意图
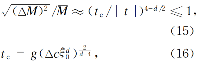
不能严格地处理涨落的效应是平均场理论的根本弱点。根据序参量的平均涨落不应超过序参量本身这一要求,可以利用平均场理论估计出它自己的适用范围(文献中有时称为金兹堡判据,可参看[12])∶
这里Δc是临界点比热跃变,ξ0是外推到绝对零度时的关联长度,g是数值系数。
对于不同的体系,平均场理论的适用范围很不相同。一般铁磁体tc~10-2,而对超导体tc~10-10。这说明,在目前能控制的温度范围内(t =10-3~10-6),平均场理论对于铁磁体已不适用,但对超导体仍能给出很好的描述。如果空间维数d > 4,不等式(15)在时永远满足,这说明平均场理论在四维以上空间中总是有效的,这一点我们在后面还要谈到。
连续相变没有体积变化和潜热,这说明不需要消耗有限的能量,无穷小的变化就能引起突变。仔细思考一下,就可以看出,这只能是对称性质的增减。设想一个立方晶格,它有48个点对称操作,如果在降温过程中有一个方向的收缩率变得与其他两个方向不同,无穷小的形变就使它突然成为四方晶格,只剩下16个对称操作。又如前面提到的各向异性铁磁体,临界点以上没有自发磁化,上、下是对称的,临界点以下自发磁化或者向上,或者向下,破坏了上、下的对称。这种对称性质的突然减少,称为对称的破缺。
物理参数的无穷小的变化引起对称的破缺,这反映了连续相变的本质。通常低温相是具有低对称的有序相,高温相是具有高对称的无序相。破缺的可以是离散的对称,也可以是连续的对称。前面提到的两个例子都是离散的对称。现在考虑一个各向同性的铁磁体。居里点以上,它是各个方向都等价的顺磁体,具有三维正交群O(3)的对称。居里点以下自发磁化M指向一个特定的方向,破坏了原来的O(3)对称。如果降温前加一个外磁场H,磁矩必然平行H方向,这叫对称的诱导破缺。如果不加外磁场,Tc以下出现M≠0,使这一个方向成为特殊的,这叫做对称的自发破缺。
从高温高对称相到低温低对称相的转变必须通过破坏对称的运动模式来实现。如果各种模式都有同样贡献,则对称不可能被破坏。但如果只有特定的模式被激发,对称就会被破坏,序参量就是这种特定模式的“凝聚”。在前面举的立方晶体例子中,如果对应某一波矢K的声波能量突然降低(现代固体理论中又称为出现“软模”),就可能产生在这个软模上的“凝聚”,由立方对称变到四方对称。
另一方面,只要有序相不处于绝对零度,就会存在一种破坏有序状态的元激发。破坏有序和恢复原来高温相所具有的对称有同一趋势。在铁磁体中,这就是偏离自发磁化方向的磁矩转动,它的传播模式就是自旋波。对于离散对称和连续对称两种不同情形,这种恢复对称的模式有很大的差别。要出现对称破缺,必须有能量简并。图4中±M自都对应自由能极小。为了从一个极值跳到另一个极值,必须克服有限的位垒。如果被破坏的是连续对称O(2),可以设想将图4的曲线绕纵轴转一圈,极小值的位置是半径为M自的圆。自发破缺相当于选出一个特定的方向。由于不同极值间没有位垒,只要无穷小的能量就可能产生恢复对称的元激发,其能隙为零。量子场论中真空自发破缺后出现的零质量戈德斯通(Gold-stone)玻色子也是这种元激发。
连续相变时比热有奇异性,说明涉及大量自由度;涨落很大,说明激发这些自由度只需要无穷小的能量。前面的分析表明,在高温相,这些自由度就是破坏对称的元激发,在低温相就是恢复对称的元激发。虽然对于不同的体系,它们的性质有很大的差别,但却有一个共同的特点,就是在临界点附近,它们必须“软化”,也就是说激发能趋向于零。
以上所述虽以铁磁体为例,却具有普遍意义。序参量反映系统的内部状态,只要它具有无穷小的非零值,就意味着改变了对称性质。序参量往往对应一定的“对偶场”,例如磁矩对应外磁场。对偶场通常可以从外部控制。对偶场为零时,序参量在临界点自发出现,使对称破缺。在表1中我们列举不同体系的序参量、相应的对偶场、被破缺的对称以及恢复对称的模式。
表1 几种连续相变的类比
抓住客观事物的主要矛盾,形成比较容易处理的模型,得出可以与实验及普遍理论对比的结论,这是物理学认识过程中重要的一环。平衡态统计物理的基本方法是使用像这样很好的解析函数作权重求平均值,又怎么能得出热力学函数的奇异性呢?为了理解相变的本质,检验统计物理的基本原则能否解释相变这类突变现象,曾经提出过不少统计模型。
最简单的铁磁模型是1920—1925年楞次和伊辛(Ising)提出来的∶每个格点i上有一个“自旋”σi,它可以取上(σi = 1)、下(σi = -1)两种值。只考虑最近邻相互作用,“自旋”平行时能量低(-J),反平行时能量高(J)。于是,对于晶格上一种具体的σ值分布,能量就是
对一切可能的状态{σ}求和,就得到统计配分函数
现在知道,伊辛模型的理论和实际意义远远超出了当年提出者的认识。它能相当好地描述各向异性很强的磁性晶体(如镝铝石榴石)。对于理解量子场论的一些根本问题,它也颇有教益。
这个模型虽很简单,求解却极为困难。伊辛本人证明,在空间维数d=1时,它没有相变,即温度不为零时没有长程序。他还错误地推测,d≥2时也没有相变。1944年昂萨格(L. Onsager)发表了二维情形下的伊辛模型严格解,并证明有相变。这是统计物理中的一个重要结果,它表明在统计物理已有的理论框架内可以解释相变现象,同时对平均场理论的准确性首次提出了怀疑。昂萨格求得的比热奇异性不是有限跃变,而是对数发散。他和杨振宁后来还求得临界指数β=1/8,吴大峻等人近来又求得γ=7/4,这都是与平均场理论不一致的。二维伊辛模型的严格解,是后来昂萨格获得诺贝尔奖金的原因之一。至于三维伊辛模型的严格解,许多人做过尝试,至今还没有成功(可参看[8])。
1928年海森伯建议了另一个描述铁磁体的模型,其哈密顿量是
其中,同一格点上自旋的不同分量遵从量子对易关系SxSy-SySx=iSx等。早就知道,d=1时海森伯模型没有相变,但是它的基态能量等严格结果直到1966年才由杨振宁兄弟算出。这一进展导致了另一类二维模型的突破,这就是平面冰熵、八顶角等模型的严格解。
在相变点附近统计涨落起主导作用,量子涨落退居次要地位,因此经常讨论“经典”的海森伯模型,即认为S是有n个分量的经典矢量。n=1对应伊辛模型;n=2叫平面海森伯模型,或X-Y模型;n=3是狭义的海森伯模型;n→∞对应“球模型”。
统计模型的严格解得之不易,堪称是理论物理中的一类精巧手工艺品。从现在的观点看,这种严格解的意义比原来理解的要广泛,它作为某一类物理对象的代表,能够提供很有益的精确信息。
统计模型研究的另一个重要方面是借助大型电子计算机求得各种热力学量在高温、低温等极限的展开级数。这种展开实际上归结为计算晶格上某类图形的个数,我们不可能详细介绍,但要指出,级数解的每一个系数原则上都是精确的,任何封闭严格解的正确性,以及不同近似方法的优劣,都可以在展开后与级数解比较而作出判断。级数解的“妙用”在于可以借助帕德(Padé)变换等处理方法,从有限个系数相当精确地定出临界点的位置,估出临界指数的数值。
表2 临界指数的理论值*
*关于这些数字有大量文献,级数解可参看文献[9],括号中的数是最近有人重新计算的值[10],重正化群可参看文献[1],[11]。
在表2中我们列出了一些得自伊辛模型严格解或级数展开的临界指数,同时给出用平均场理论和重正化群方法(详见本文第Ⅱ篇)定出的数值。
注: 1) 序参量可能是标量、矢量或更复杂的量,我们不详加区分,只用一个普通字母表示。
《物理》50年精选文章
为答谢广大读者长期以来的关爱和支持,《物理》编辑部特推出优惠订阅活动:向编辑部连续订阅2年《物理》杂志,将获赠《岁月留痕—<物理>四十年集萃》一本。该书收录了1972年到2012年《物理》发表的40篇文章,476页精美印刷,定价68元,值得收藏。
详情请联系编辑部:
(010)82649029,82649277
physics@iphy.ac.cn
6.清华大学物理系复系40年以来粒子、核与天体物理方向的发展