|作者:于渌 郝柏林
(中国科学院理论物理研究所)
本文发表于《物理》1980年第5期
本文上篇[见《物理》1980年第9卷第4期,以下简称(I)]从相变现象的多样性和同一性出发,介绍了连续相变的平均场理论,指出统计模型的严格解,给出与平均场理论不一致的结果。实验技术的进步,更对平均场理论提出了挑战,于是出现了标度律、普适性、重正化群等新的概念。现在就继续讨论这些问题。文中公式、图表和参考文献均与上篇连续编号。
早在1945年就有人概括了氮、氧、一氧化碳及许多惰性气体的测量结果,认为在气-液临界点附近临界指数β≈1/3。但当时实验精度不高,未足置信。到了六十年代,实验技术大大提高,多次证实了以前的结论。对于磁介质,也测得类似结果。例如,对MnF2,测得β=0.335±0.005。这显然与平均场的结果β=1/2相差很远。
仔细分析实验数据,有两点特别引人注目∶一是各类体系差别虽然很大,但临界指数非常接近;二是临界指数虽然偏离平均场理论的结果,但相当好地满足一些关系式,如
![]()
平均场理论和统计模型的严格解及级数展开结果也都满足这些关系式(请读者利用表2的数值自行验证)。这是偶然的巧合吗?不是。正是在概括这两个基本实验事实的基础上,形成了现代相变理论中的两个重要概念∶标度律和普适性。近几年的主要进展就在于逐步深入地揭示了它们的物理实质。
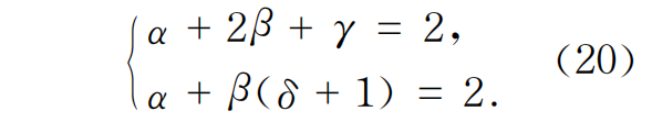
六十年代初,根据热力学稳定性条件和一些物理上合理的假定,证明了一批临界指数应满足的不等式(包括(20)式中将“=”换成“≥”所得关系)。1966年前后,许多作者从不同角度“推导”出了这些标度关系,实际上是把它们归结为物理上和数学上更为清楚的标度性假定。下面简单介绍一下卡丹诺夫[13],给出的论据,他提出的物理图像很清楚,是后来发展重正化群方法的物理基础。
为简单起见,考察一个d维的伊辛晶格。临界点附近的行为可以通过无纲温度 t=(T-Tc)/Tc和磁场h=μH/(kTc)两个参量描述。根据前面的讨论,临界点附近关联长度趋向无穷,体系应具有某种尺度变换下的不变性。我们可以讨论“元胞”问题,即将每个自旋看成一个元胞,也可以讨论“集团”问题,即对每边1个自旋的集团进行平均(图8对应d=2,l=3的情形)。假定元胞问题与集团问题等价,平均到每个格点上的自由能为
![]()
![]()
图8 集团模型示意
进一步假定集团问题的参量tl,hl与元胞问题的参量具有简单的比例关系:
![]()
这里x,y是待定幂次。根据磁矩定义,
![]()
若取h=h1=0,t1=-1,求得
![]()
用类似方法容易求得
![]()
由(23),(24)式消去x,y,即可求得标度律(20)式。同样,还可求得其他标度关系
![]()
![]()
因此,六个临界指数中只有两个是独立的。这一点实际上包含在原有的假定中,因为一开始我们就认为热力学函数只与t和h两个参量有关,只有x与y两个独立的标度参数。
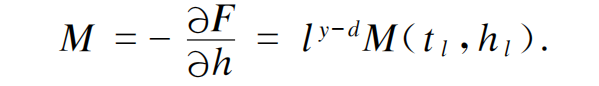
从数学角度看,这相当于将平均场理论中关于热力学函数是温度和序参量的解析函数的要求,代之以热力学量是相应变量的广义齐次函数的假定。利用(22)式可将(21)式改写成明显的广义齐次函数形式前面的讨论就是给予这种假定以直观的物理解释。若以温度和自发磁化为自变量,根据标度假定,磁场实际上只与一个自变量有关,即![]()
这里f(x)作为单个变量的函数在x=0附近是解析的。由(3)式看出,平均场理论的结果也可写成这种标度形式,其中![]()
因此,平均场给出的临界指数自然满足标度律(20)式。值得注意的是,只有空间维数d=4时,平均场理论才满足显含维数d的“强“标度律(25)式。只有在重正化群理论的框架中才能进一步理解这一事实的含义。还可以指出一件有趣的事情。既然六个临界指数中存在四个标度关系,只要根据现有实验和理论的“经验”【参看文章(I)中的表2】,强令“小”指数α=η=0,就可以为三维情况求得γ=4/3,v=2/3,β=1/3,δ=5。这些数值显然偏离平均场理论,而与实验颇为一致。现有实验精度还很难给出“小”指数α和η的确切值。前面已经讲过,由于关联长度趋向无穷,临界点附近不同体系的共性掩盖了个性的差异。历史上早就知道各种气体在临界点的同一性表现为熟知的对应态定律,即只要把温度、压强、体积换成以其临界点的数值为单位的无纲量,范德瓦尔斯状态方程就变为不含物质参数的普适方程。六十年代后期,在总结实验事实的基础上进一步提出了关于普适性的假定∶各种物理系统按若干特征分为不同的普适类,同一类的体系具有相同的临界指数和临界行为。区分普适类的主要特征是空间维数d,内部自由度的数目n和力程的长短。实际上三维以上d起主要作用,二维以下n才更为重要。按这种假定,气-液临界点与单轴各向异性的铁磁或反铁磁体,液氦超流相变与平面铁磁体分别具有相同的临界指数。临界行为与晶体的对称、相互作用的性质等因素都没有关系。从上述意义说,平均场理论是过分普适的理论,因为它的结果与d,n及力程长短均无关,甚至在不存在相变的情况下它也预言同样的结果。这显然与实验不符。实验上可以清楚地区分出不同的普适类。以临界指数β为例,对于MnF2(n=1)为0.335,对于液氦超流相变(n=2)为0.354,对于CrBr3(n=3)为0.368[6]。它们之间的差异已超过实验误差的范围。应当指出,普适性和标度律是在一定范围内成立的实验事实,理论上也有一些论证,但仍有不少未解决的问题。三维伊辛模型的级数解明确地偏离强标度律(25)式[14]。某些二维统计模型(如八顶角模型[15]])的临界指数随相互作用强度连续变化,似乎破坏了普适性假定。这是目前仍在继续研究的两个例子。
相变的理论研究大体上经历了三个阶段。最早的、沿用最久的描述方式是平均场理论。从上一世纪的范德瓦尔斯状态方程开始,逐步推广到各式各样的物理体系。它提供了一种直观的、定性上基本正确的物理图像。但是统计模型的严格解和级数展开,特别是精密的实验测量,表明它的定量结论不对。从六十年代开始,在总结实验事实的基础上提出了标度律和普适性的概念。这是建立唯象理论的第二阶段。能不能从微观角度论证这两个基本假定?能不能用理论方法具体推算出临界指数,直接与实验比较?这是从七十年代初开始的第三阶段要解决的问题。这一阶段的主要成就是重正化群方法的引入和发展。从一定意义上说,这是由于从另一个极限出发考虑问题才做到的。我们在前面说过,相变理论的困难在于它是一个“真正”的多体问题。这句话的确切含义是什么统计物理的研究对象本来就是具有大量(实际上接近无穷多)自由度的物理体系,当然都是多体问题。但是,大多数情况下可以将多体问题归结为二体、三体等少量自由度的问题。著名的维里展开就是这样∶为了求得第N阶维里系数,只要解N体问题。连续相变却不能这样处理。由于关联长度趋向无穷,必须同时考虑关联长度内所有粒子的相互作用,包括从微观到宏观的一切尺度。正像物理学中经常遇到的情况一样,在“山重水复疑无路”的时候,换一个角度,改变问题的提法,就可能“柳暗花明又一村”。既然在临界点上关联长度为无穷,体系就应当具有标度不变性,即不管用什么尺子量,关联长度都是无穷。偏离临界点不远时,也还应当存在近似的标度不变性。形象地说,以不同分辨率的“显微镜”观察处于临界点附近的物理系统,看到的图像都很类似,只是所忽略掉的细节尺度不同。这里原来有三个尺度∶反映物质微观结构的晶格常数a,反映多体作用范围的关联长度ξ和“显微镜”的分辨率或者说理论描述的精致程度r,对于靠近临界点的宏观系统,这三者的关系是![]()
由于a≪r,可以把微观尺度上的运动完全平均掉,进行宏观描述。一旦到达临界点![]()
r就有了无限的活动范围。不论取多大的r 进行平均,只要a≪r,所得结果都是一样的。为了把标度不变性的概念讲清楚,我们回到二维伊辛模型的例子。假定原来最近邻相互作用的耦合常数是J,温度因子(kT)-1也包括在J里面。当J趋向临界值Jc时,关联长度趋向无穷的方式是![]()
现在进行一次“粗粒”平均,把每l×l个自旋组成的集团看成一个新的有效自旋(参看图8)。这些有效自旋之间也只保留最近邻相互作用,新的有效耦合常数J1是原来耦合常数J的函数∶![]()
f通常是一个非线性函数,它的具体形式原则上可以计算出来。由于尺子变长了l倍,有效的关联长度就缩短了l 倍:![]()
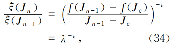
再把l×l个集团合并起来,得出新的有效自旋和有效耦合常数。这个过程可以多次重复下去。第n次归并后得到
(30)
函数f 还是原来那一个。这时的观察尺度或分辨率已是r =al n,它远远大于晶格常数a。变换(30)式能否无限制地重复下去,要细致地区分两种情况。如果系统正好处于临界点上,变换前后关联长度都是无穷大,r < ∞总是成立的。只要假定函数ξ(J)仅在一个点Jc趋向无穷,就只能有Jn-1⇒Jn⇒Jc,或从(30)式有
![]()
我们说,Jc是这一套自旋归并的“重正化变换”的不动点。变换(30)式一直做下去,系统处于Jc点不动,只是r≫a成立得更好。
如果系统并未准确处在临界点上,ξ仍是一个有限的长度,而且每次变换后还不断缩小,这相当于逐渐偏离临界点。这种情形下只能从相当靠近临界点的状态开始作变换,在还能够满足条件 al n≪ξ时,把第n次变换后的新耦合常数Jn在Jc附近展开:
![]()
而关联长度的发散仍然是
![]()
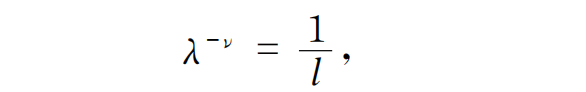
![]()
另一方面从(30)式知道这个比值应等于1/l,结果得到![]()
![]()
式中λ就是函数f的导数值f ′(Jc),它除了决定于重正化变换本身的性质,还具体依赖每次归并的倍数l。重要的是仔细进行计算时,(35)式中的ln l会自动消去,使得临界指数v完全由重正化变换的性质来决定。上面的讨论当然是过分简化了的。实际上,经过自旋归并后,耦合常数的数目要增加。即使原来只有最近邻相互作用,变换后还会有次近邻相互作用等等。但是这个讨论反映了重正化群方法的基本思想∶把关联长度发散的临界点与非线性变换的不动点联系起来。这样就在统计物理中开辟了另一条分析途径∶不是直接计算配分函数,而是研究保持配分函数不变的变换性质。连续相变的研究归结为分析这种非线性变换的不动点和在不动点附近线性化以后的本征值λ [见(32)式],由它计算临界指数v。
“重正化群”的概念是在量子场,论中首先发展起来的。最初讨论的问题是量子电动力学中“重正化电荷”如何随动量截断而变化。后来有人研究了这类变换的群性质,称之为重正化群。1971年威尔逊把重正化群方法和相变理论中卡丹诺夫提出的集团图像结合起来,使临界现象理论有了实质性的进展[1-3]。物理体系通常用哈密顿量描述,哈密顿量本身又由一些参数刻画(如前节中的耦合常数J)。重正化群作用的对象就是这个哈密顿量的参数所构成的空间。重正化群变换实际上包括两步∶第一步是进行粗粒平均,降低“分辨率“,如前节中用l×l的自旋集团来代替单个自旋;第二步是将长度和自旋重新标度,使哈密顿量又回到原来的形式,只是参数变了。这些变换的总体构成一个非线性半群。叫它“半群“,是因为没有逆变换。从物理上看原因很清楚∶只能“粗化”,不能“细化”,或者更确切地说,“细化”要求引入没有包含在原来哈密顿量中的信息,因此不是可以单值地定义的操作。许多根据具体的物理模型导出的哈密顿量,经过一系列重正化变换后确实达到不动点,物理上它就对应临界点(我们不在这里讨论这两者之间的细微差别)。在变换过程中,各个参数的行为不同,有的参数的作用越来越放大,通常叫“有关参数”,有的参数的作用越来越缩小,称为“无关参数”。用比较准确的语言讲,重正化群变换在不动点附近可以线性化,有关参数对应大于1的本征值,无关参数对应小于1的本征值。对于通常的不动点,只有两个有关参数,就是约化温度t和无纲磁场h。上一节的简化讨论中,只用到一个有关参数J(即t),没有无关参数,因此对重正化群变换的描述并不完整。重正化群的整个讨论就是对标度律假定的论证,因为不动点的存在和只有两个有关参数等都不再是假定,而是理论推演的结果。
在这个理论框架中,普适性也变得十分自然。不动点可以不止一个。不同的不动点对应不同的临界行为。整个参数空间可以分成若干区,每个区内的代表点经过重正化群变换后趋向该区的不动点。不同的普适类就对应不同的区。因此,同一个区的点所对应的物理系统都具有相同的临界指数。
重正化群方法的成功,不仅在于给出了连续相变的正确描述,论证了标度律和普适性,还在于能计算出临界指数的精确数值,直接与实验和统计模型的结果比较。要具体计算必须找到小参量。临界现象理论中的小参量有点不寻常。在文章(I)中已经提到,空间维数大于或等于4时,平均场理论是正确的。很自然地想到维数稍低于4时,差别应不大,可将ε=4-d看成小参量,在四维附近作微扰展开。实际的物理体系是三维的,对应并不小的ε=1,展开还能用吗?计算结果与实验符合得相当好,说明这种近似方法抓住了本质。
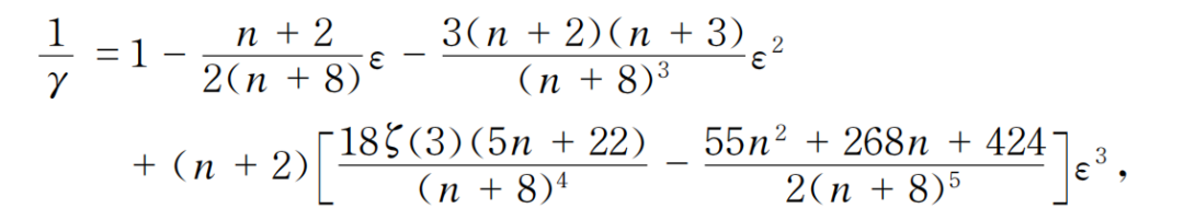
威尔逊的突破引起了大量的理论研究,形成浩如烟海的文献。最初他采用的形式与标准的场论方法有差别,但物理意义明显。后来有人[16]把它纳入了标准的场论框架,计算起来更为有效。除了ε=4-d展开外,还发展了对d-2和1/n的展开。作为例子,我们只给出临界指数γ的倒数直到ε3项的计算结果
![]()
其中ζ(3)=1.202057。这个式子是用和文献[16]不同的“骨架图展开”求得的[4]。这类公式中只出现空间维数d和内部自由度数目n,这是普适性的具体表现。一般情形下,可按(d,n)和力程长短区分普适类。
这里对“内部自由度数目”再作一点解释。其实,这就是序参量的分量数目。伊辛模型中只有一个特定的方向,平均磁矩只能改变数值的大小,是一个标量,于是 n =1。超导体的能隙和超流体的波函数起着序参量的作用,它们都是复数,因而 n =2。海森堡模型中平均磁矩是三维空间中的矢量,因此 n = 3。还有一些很特殊的情况,例如高分子溶液相当于 n =0,超流3He的序参量是一个复张量,n =18等等,要作专门论证,才能理解。
最近,有人直接在三维作微扰论计算到六、七阶,再参照微扰论高阶项的行为用处理发散级数的办法加以改造,求出迄今最精确的数值结果[11]。对于三维伊辛模型,临界指数γ和v的数值曾经与级数展开的结果有微小而明确的差异。最近重新分析级数展开的结果[10],说明γ可能差别不大,而少的数值仍不一致。这些不足百分之一的差异是目前仍在争论的问题之一1),因为它可能表示理论中仍有某种原则问题。这同时说明当前研究深入的程度。
目前,实验与理论也符合得很好。有趣的是,研究得最早的气-液临界点长期以来似乎不能纳入现代相变理论的轨道。最近的实验表明,这是由过去的实验误差引起的。由于在临界点附近重力场的作用特别显著,必须采取特别的措施。有些实验工作者对自己测量的精度充满信心,要在重正化群和级数展开解之间涉及小数点后第三位的争论中投票赞成前者[17]。
注: 1) 可参看文章(Ⅰ)中表2所引数值及文献。
[13] L. P. Kadanoff, Physics, 2(1966), 263.[14] G. A. Baker Jr.,Phys. Rev. B,15 (1977),1552.[15] R. J. Baxter, Ann. Phys. (N.Y.),70(1972),193.[16] 见文献[2]第6卷中E.Brézin等人的总结文章所引文献.[17] A. L. Sengers, R. Hocken, J. V. Sengers,Physics Today, December,(1977), 42.
为答谢广大读者长期以来的关爱和支持,《物理》编辑部特推出优惠订阅活动:向编辑部连续订阅2年《物理》杂志,将获赠《岁月留痕—<物理>四十年集萃》一本。该书收录了1972年到2012年《物理》发表的40篇文章,476页精美印刷,定价68元,值得收藏。
详情请联系编辑部:
(010)82649029,82649277
physics@iphy.ac.cn
![]()