|作者:于渌 郝柏林
(中国科学院理论物理研究所)
本文发表于《物理》1980年第6期
为什么伊辛模型在一维无相变?为什么海森堡模型和其他模型在二维以下没有长程序?为什么在四维以上空间中平均场理论才是“唯一正确”的?这主要是因为空间维数不同时,涨落起的作用不同。
设想一个一维的铁磁链,绝对零度时磁矩按同一方向排列。当T>0 K时,允许有一些反向排列的段落。假定N个磁矩中有n个这种倒向的“界面”,每个界面能量是e。由于界面可处在不同位置,体系的熵增加到
这样我们就看到,人类生活的三维空间巧妙地夹在两个“边界维数”之间,恰好容许有丰富多彩的相变现象和远非平庸的理论解释。然而,这并不是说,更低维和更高维的空间没有现实的物理意义。许多物理系统具有在一维或二维为主的相互作用,作者之一在多年前就讨论过这种一维或二维“发达“的系统[18]。低维系统的物理学是一个方兴未艾的领域,而四维时空中的相变问题涉及基本粒子理论的某些根本问题,它们都超出了本文的范围。
顺便指出,实际计算前面写出的两类积分时,还会遇到k→∞时的“紫外”发散问题。不过在研究关联长度发散的相变现象时,完全可以忽略晶格常数a尺度上的运动,自然地把积分在一处截断。如何处理这些发散积分,得出与截断无关的物理结果,这正是“重正化“的原旨。前两个积分与所谓“质量重正化”和“电荷重正化”有关系。相变的物理图像赋予重正化手续以直观的解释。
空间维数d和内部自由度数目n都等于2的情况有些特殊。早在1966年就严格证明,连续对称即n≥2的情形下,d=2时没有自发破缺。但几乎同时有人从级数展开中看到存在相变的迹象。这究竟是什么状态呢?原来这是一方面没有长程序,另一方面又发生相变的特殊情形。这时,除原有的元激发外,还有一类总体性(或称拓扑性)的激发态。设想一个平面铁磁体,自旋按同心圆排列。这类状态的能量和熵都有对数奇异性。Tc以下,左旋和右旋的两种“漩涡”可以处于互相束缚的状态,能量是有限的,Tc以上才离解。由于自旋的平均值是零,所以没有长程序,然而由自旋波决定的关联长度却趋于无穷。关联函数
中的临界指数η与温度有关。仔细的理论分析表明η(Tc)= 1/4。这是一种比普通二类相变更弱的相变,不仅没有体积变化和潜热,比热也是连续的。有奇异性的是更高阶的导数[19]。
客观世界中有没有这类系统?有!非常薄的液氦和液晶膜、平面各向异性很强的铁磁体和某些层状化合物都具有接近这类模型的特性。不久前在液氦薄膜的研究中,证实超流部分的密度在Tc有一跃变[20],这与理论预言一致。这类弱相变的实验和理论研究当前很活跃。
涨落和维数的关系,从一个侧面说明了空间维数在相变和临界现象中的重要作用。为什么对连续对称模型存在自发破缺的“边界维数”正好是2,而平均场理论成立的“边界维数”正好是4,还可以有一些“几何”解释。怎样理解从四维往下降的ε=4-d展开或者从二维往上升的ε=d-2展开看来我们对于空间维数的认识应当深化,还需要有连续变化的空间维数。
其实,数学已经为我们准备了必要的概念。维数和测度有密切关系∶用半径为R的小圆来覆盖一块面积S,所需小圆的数目比例于S/R2;同样,用半径为R的小球来覆盖一块体积V,所需球数比例于V/R3。一般情形下,用高维球来覆盖一个d维对象A,所需球数大致是N∝A/Rd。如果保持R不变,把A的线度增大L倍成为Al,则Al作为d维对象可能比原来大k倍∶Al=kA。为了覆盖Al,所需球数为N∝Al/Rd=kA/Rd。另一方面,如果保持A不变,把球的半径缩小l倍,所需球数自然也是Nl∝A/(R/I)d=ldA/Rd。比较这两个式子,得到重要关系式
它可以作为空间维数的新定义∶如果一个对象的线度放大l倍,它本身就成为原来的k倍,而且ld=k,则这个对象的维数就是d。对于普通的点、线、面、体,这样定出的维数仍是0,1,2,3。我们也可以构造具有“自相似”的内部层次的几何对象。例如,把(0,1)区间三等分舍去中段,剩下的两段各自三等分舍去中段,如此无穷分割下去。取(0,1/3)的一段为对象A,放大l=3倍,它又充满(0,1)区间,其中(0,1/3)和(2/3,1)是与原来完全相同的两套对象。于是3d=2,d=log32=0.6309…。这就是1919年豪斯道夫引入的维数概念[21],它不必取整数值1)。本节中的d都是指这种豪斯道夫维数,空间维数用D代表。读者可能已经注意到,这类“自相似”的变换手续,和前面提到的自旋集团的归并有共同之处。
包含随机因素的几何对象,可能具有更高一些的豪斯道夫维数。例如,考虑一个完全随机的无规行走粒子。从布朗运动的初等理论知道∶每步长R,行走N步后首尾距离的平方均值是。
可以看作是无规行走的尺寸,而覆盖数目是
。由此看出无规行走的豪斯道夫维数是dRW=2,即两倍于力学运动轨迹的维数。
在D维空间中考察两个几何对象A和B的相交部分A∩B的维数,数学公式
的正确性可用一些直观的例子检验∶D=3维空间中面与面交于线,面与线交于点,线与线基本上不相交。如果把(42)式用于无规行走,立刻得到两个不等式。首先,要求两个无规行走至少相交于点,即
其次,相交部分的维数不应比单个无规行走更高,即
由此得到
这里恰好出现了两个“边界维数”∶二维以下空间容纳不了相交的无规行走,而四维以上空间中无规行走基本上不相交,即不发生相互作用。
把(41)式写成
与文章(Ⅱ)中(35)式比较,可见临界指数v的倒数可以看成某种豪斯道夫维数。平均场理论中v=1/2,恰好与纯无规行走的维数dRW 一致。因此它在四维以上空间中才是准确的。重正化群方法和实验测量都给出v>1/2,乃是有记忆效应的无规行走。这个类比在高分子溶液的统计理论中有直接的物理意义,那里每个高分子链就是一个无规行走的轨迹。如果计入分子本身占据的空间,排除无规行走的自交,就是一种记忆效应,于是v获得大于1/2的正确数值。
到目前为止,我们只讨论了临界点附近的热力学平衡性质,没有涉及系统随时间的演化。实际上临界点附近各种非平衡性质也有许多异常,而且比静态现象更为丰富。这里研究的对象包括扩散、热导、黏滞流等输运过程,系统对随时间变化的外场的响应,外界扰动除去后趋向平衡的弛豫过程等。与平衡性质不同,这些物理量不仅与体系在某一时刻的状态有关,而且依赖于它的时间演化。但是,它们大多可以直接测量,例如用超声吸收和核磁共振测弛豫时间,用光或中子的非弹性散射测动态结构因子——时间关联函数的傅里叶变换,还可间接地定出输运系数。
动态现象中最有代表性的事实是所谓临界慢化,即逼近临界点时序参量和其他“慢模”的弛豫时间趋向无穷。基于文章(I)中介绍的物理图像,很容易理解这一点。在临界点附近关联长度趋向无穷,出现许多大尺度的涨落或“花斑”,趋向平衡的时间必然很长。在气液临界实验中往往要花几天或几个月的时间才能达到新的平衡状态。
在动态临界现象的描述中,相应于平均场理论的是所谓“常规”理论。它假定序参量趋向平衡的速度比例于自由能(或有效哈密顿量)对序参量的导数。还是以自旋系统为例,准到二次项的自由能写成
(44)
这里Mk是序参量的傅氏分量,t是约化温度,a>0。序参量随时间的变化用唯象方程
描述。弛豫时间是
临界点上t=0,对于k→0的长波涨落,只要输运系数Γ是有限量,就会趋向无穷大。根据文章(Ⅰ)中第(6)式,弛豫时间还可通过磁化率表示,即
这说明弛豫时间和磁化率的发散是由同一原因引起的。表示“恢复力”的大小,
-1→0表明几乎没有恢复力。与平均场理论类似,这种常规理论能定性地解释临
界慢化现象,但定量上与实验不符。这里假定输运系数与温度无关,实际上由于不同运动模式间的非线性耦合,它和不同尺度的涨落有关,因而要随温度变化。
近十多年来,动态临界现象的研究也有很大进展。重正化群方法出现以前,主要有两方面∶一是模-模耦合理论,一是关于动态标度律和普适性的假定。前者主要是考虑不同运动模式之间的非耗散型耦合,能够相当好地描述一部分输运系数的反常。动态标度律是静态标度律的自然推广,对于时间演化过程多引入一个标度参数,假定弛豫时间是
这里ξ是关联长度,对于常规理论,由(46)式知
(49)
动态标度律假定,只要将长度、时间、磁场、磁矩等作相应的标度,临界点附近的广义磁化率就不再显含约化温度 t,由此可以推出一些动态临界指数间的关系。
七十年代以来,重正化群方法也被推广到研究动态临界现象,不仅论证了动态标度律,重复了模-模耦合理论的结果,而且可以分析后者所不能处理的耗散型耦合,动态临界现象也有普适类,但比静态普适类分得更细。动态临界指数不仅与(d,n)有关,还取决于体系有哪些守恒量,不同模式之间的耦合类型等等。因此,同一个静态普适类的物理系统可能分属不同的动态普适类。
总的说来,动态临界现象的研究还处于发展过程中。现有的理论分析主要是借助于一些模型,用比较唯象的方式描述。较为完整的微观理论还有待建立,不少实验现象也还没有得到解释,详情可参阅文献[22]。
对称破缺和突变不是平衡态附近特有的现象,它更广泛地存在于远离平衡的体系中,一般地说,平衡态附近的体系以趋向平衡为主要倾向,远离平衡后却可能趋向新的更有序的定态。当然,这种状态要靠外部的能量或质量流来支持。自然界中这类现象不胜枚举。研究得很早的一个例子是流体力学的不稳定性[23]。取两块导热平板,中间有静止液体。如果下板的温度高于上板,且温度趋于临界值,就出现美丽的对流花纹(图11)。激光、半导体器件中的电流不稳定性、质量欠佳的日光灯管在一定条件下的辉纹放电、带有周期性时空结构的自催化反应、具有非线性输运性质的生物膜等等,都是远离平衡突变现象的例子。
图11 对流图案
长期以来,这些现象都是分别进行研究的。平衡态相变理论的进展,对各种相变的普适描述,启发人们在远离平衡的现象中也作类似的尝试。果然,各有千秋的突变现象确实具有深刻的相似之处。平衡态相变的一些概念很容易推广到非平衡突变的情形。这里主要指平均场理论的结果,重正化群方法所考虑的效应在大多数情况下并不重要。
在非平衡相变中也可以引入序参量和对称破缺的概念。序参量η通常是指失稳运动模式的幅度。在流体不稳定性中,对流的速度是序参量;在激光中,受激发射模的振幅是序参量。与连续相变类似,只有当相应的外参量λ超过阈值λc时才会出现新的有序状态,而且
即临界指数β也等于1/2。在流体不稳定性中,破缺的是空间平移对称。激光现象中破缺的是定态本身的时间平移对称,复数序参量η取了一个特定的相位。后一点不可能发生在平衡相变中,因为周期运动伴随着能量的耗散。
与平衡态相变类似,这里也有恢复对称的运动模式。如果取了热力学极限,它们就是通常的流体力学模。对于有限的体系,这是序参量的一种扩散型运动。经历各种可能的状态后,序参量的平均值趋向于零。体系越大,达到这种状态所需的时间越长,因此,仍可在每个时刻用瞬时的序参量描述。这是与平衡态相变不同的特点。
在阈值附近,序参量的涨落反常增大,同时出现“临界慢化”。相应的临界指数也与平衡态一样,即
(51)
造成这一现象的原因,也在于失稳点附近恢复力趋近于零。
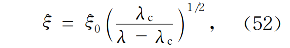
在临界点附近,关联长度反常增大。按平均场理论,
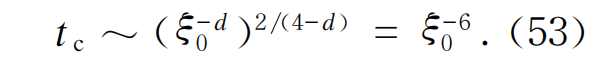
然而现在ξ0是一个宏观尺度的量。这是因为在非平衡定态中序参量靠外源支持,直接与宏观变量耦合,通常存在一个宏观的特征长度。根据平均场理论的适用范围(金兹堡判据),对于三维情形,
由于ξ0是宏观大小的量,总有tc→0,即平均场理论永远成立。从物理上考虑,这是因为关联长度超过ξ0之后,就谈不上标度不变性了。最近有人对流体失稳现象作了精密的测量,发现各种临界指数确实与平均场理论的预言一致。
远离平衡的突变现象与平衡态相变之间如此深刻的类比绝不是偶然的。虽然失稳现象中没有平衡分布的概念,但只要有细致平衡,就可以在相当普遍的前提下证明存在定态分布,引入相应的势函数,其作用与自由能类似。换言之,细致平衡是共性的原因。
上面主要讲了与平衡相变相似的一面。其实,矛盾的特殊性才使我们对事物有更深刻的认识。远离平衡的突变现象必然伴随着耗散,与体系的尺寸和历史有密切关系。这些都与平衡态相变完全不同。尺寸效应可能使远离平衡的现象中不会有真正的“连续相变”。
平衡态附近的相变研究已经初具轮廓,远离平衡突变现象的研究方兴未艾,不同的流派从各自的角度进行探索,取了各种名称。有的叫“耗散结构”[24],有的叫“协同学”[25]有的叫“突变论”[26],实际研究的都是同类现象(还可参阅文献[27])。
连续相变研究的进展是理论与实验相互促进的过程。统计模型的严格解证明了理论的潜力,在平均场理论的天地里打开了缺口,大量使用计算机的级数展开揭示了更多的矛盾,但决定性的因素还是精密的实验测量。它充分暴露了平均场理论的弱点,把尖锐的矛盾提到理论面前。标度律和普适性的概念在促成现代相变理论的过程中起了很重要的作用。建立了正确的物理图像,形成了反映客观的概念,豁然贯通的最后一击来自统计物理与量子场论在概念和方法上的相互交流。
《物理》50年精选文章
为答谢广大读者长期以来的关爱和支持,《物理》编辑部特推出优惠订阅活动:向编辑部连续订阅2年《物理》杂志,将获赠《岁月留痕—<物理>四十年集萃》一本。该书收录了1972年到2012年《物理》发表的40篇文章,476页精美印刷,定价68元,值得收藏。
详情请联系编辑部:
(010)82649029,82649277
physics@iphy.ac.cn
6.清华大学物理系复系40年以来粒子、核与天体物理方向的发展