|作者:程斌1,† 缪峰2,††
(1 南京理工大学理学院 )
(2 南京大学物理学院 )
本文选自《物理》2022年第10期
强关联体系中巨大的电子库仑相互作用能够诱导产生丰富奇异的量子多体物态,包括非常规超导、莫特绝缘体、维格纳晶体态、非费米液体、量子自旋液体等。对这些关联物态的探索和深入理解,是过去几十年推动凝聚态物理领域发展的重要推力之一。其中,在关联诱导的量子相变[1]附近,多种能量尺度可比拟,并且量子涨落显著,为发现新物态和新物理提供了理想平台。特别是当体系涉及多个物理自由度时,不同序参量的量子涨落竞争加剧,可能导致超越朗道相变范式的新型量子临界相和临界行为。为了抓住关联作用中的核心物理,物理学家们从多体体系中抽象出若干模型,其中最著名的就是哈伯德模型(Hubbard model)。在该模型中,当同一个格点位置占据两个电子时,会产生额外的库仑排斥势能U。当U远大于格点间的跃迁能t时,体系能带在半满填充时会打开一个关联带隙,形成莫特绝缘态。如果在这个格点模型中引入长程库仑势V,我们还可以得到扩展哈伯德模型。虽然这些强关联模型已经是对实际物理系统的简化,但是在理论上求解这些模型仍然存在巨大的挑战。尤其是当具有多自由度的强关联电子体系处于量子临界区域附近时,巨大的序参量量子涨落和多种可比拟的能量尺度,使得问题异常难以求解。近年来,各类量子模拟器的兴起,为解决这类问题提供了新的实验手段和平台。特别是,如果能够在单一量子模拟器中通过原位调控参量的方式,实现不同类型的量子相变和量子临界行为,并研究它们之间的可控演化,将为强关联物理领域的发展提供前所未有的机会。最近我们通过“原子乐高”的方式,搭建了基于转角石墨烯莫尔超晶格体系的SU(4)同位旋——扩展哈伯德模型量子模拟器,首次观测到钉扎在莫尔超晶格上的一种特殊的电子晶体态:广义同位旋维格纳晶体态(generalized isospin Wigner crystal)。在实验中,我们施加垂直电场,通过对电子关联强度的原位调节,实现了该电子晶体的量子融化,并首次观测到“量子两步临界性”。基于该体系中解耦的能谷自由度和自旋自由度,进一步通过对水平磁场的原位调节,实现了该扩展哈伯德模型量子模拟器的内禀自由度从SU(4)到SU(2)的连续演化,并在高磁场下首次观测到“量子赝临界性”。![]()
图1 转角双层—双层石墨烯中的维格纳晶体态 (a)在填充数为
(灰色虚线标识)处出现的绝缘态电阻峰;(b)1/3空穴填充维格纳晶体态的空间电荷分布(图中黄色球体代表空穴)
我们首先设计并制备了一种新型的“原子乐高”量子模拟器:基于手性堆叠的转角双层—双层石墨烯(转角0.75°)。该体系具有多条较平的能带,带宽小于10 meV。随着垂直电场的施加,该体系形成陈数为零的孤立平带,并且拥有简并的能谷—自旋自由度,是SU(4)同位旋—扩展哈伯德模型的理想固态量子模拟器。实验上,在该体系的第二个导带平带中,我们观察到了在填充数为
处的新奇绝缘态电阻峰,该填充数对应第二个莫尔能带中每3个超晶格上占据1个空穴(图1)。这些绝缘态具有显著的非线性电流—电压曲线,同时电阻随着温度的变化关系满足Efros—Shklovskii型的变程跃迁模型,并且电阻随着水平磁场的施加而急剧增大20倍并最终在高磁场下饱和。上述实验结果说明,该关联绝缘态在零磁场和高水平磁场下分别为自旋非极化和自旋极化的维格纳晶体态。![]()
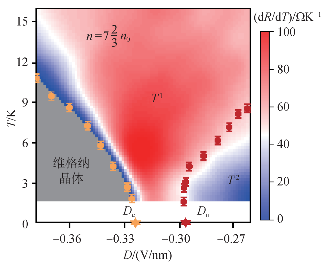
图2 量子两步临界行为。dR/dT的电场—温度相图,展示出清晰的维格纳晶体态、费米液体(T2区域)和量子临界区域(T1区域),并展示出两个量子临界点(Dc和Dn)我们发现,在该量子模拟器中,通过改变垂直电场可以连续精准地调控体系中的电子关联强度,从而实现了维格纳晶体态的量子融化。与常规的量子相变不同,这类量子融化具有两个不同的量子临界点,其对应的量子标度行为临界指数也不同(图2)。同时,两个临界点之间的量子临界区域表现为奇异金属行为,且可以持续到最低温,表明临界中间态的存在。随着水平磁场的施加,维格纳晶体态区域变大,量子临界区域变小,两个量子临界点逐渐靠近并且交换位置,形成一个费米液体和维格纳晶体态的重叠区域。该重叠区域从最低温一直延续到T *≈5.6 K,展现出电阻不随温度变化的特性,说明此时关联长度是不随温度变化的常量,这导致量子临界标度行为的失效。当温度升高至5.6 K以上时,体系中的奇异金属行为和量子临界标度性恢复,从而展现出一种新型的量子临界行为:量子赝临界性[2,3](图3)。![]()
图3 量子赝临界行为。dR/dT的电场—温度相图,量子临界区域(T1区域)只在临界温度(黄色五角星标识)之上出现。在临界温度之下时,自旋自由度被“冻结”,量子临界性失效量子临界区域中出现的奇异金属行为在魔角双层石墨烯体系中已有报道[4],并被归因于能谷自由度的量子涨落效应[5]。但在我们的工作中,奇异金属区域随着平行磁场下自旋的极化而收缩,表明自旋量子涨落在奇异金属态的形成中起主导作用。临界中间态区域亦随着水平磁场变小,说明该量子基态是自旋非极化的。而在高平行磁场下量子赝临界现象的出现,表明此时广义维格纳晶体和费米液体之间的金属—绝缘体转变是一种介于连续量子相变和一阶量子相变之间的弱一阶量子相变[2,3]。当温度在高磁场诱导的自旋塞曼能标T *之下时,自旋自由度被有效“冻结”,导致临界标度行为的失效;而当温度大于T *时,热激活能将冻结的自旋“融化”,系统又恢复量子临界性。值得注意的是,量子赝临界性和弱一阶量子相变已经在量子自旋液体的相变理论中得到了广泛的讨论[6],并在最近被引入到SU(2)广义维格纳晶体的量子融化理论中[7]。这项研究有望促进对包括弱一阶量子相变在内的多种量子相变机制之间竞争的深入理解。![]()
图4 垂直电场和水平磁场可调的扩展哈伯德模型量子模拟器,展现出广义维格纳晶体态和费米液体之间的连续可调的奇异量子相变行为,成功模拟了从高对称SU(4)强关联电子系统中具有临界中间相的量子相变到低对称SU(2)电子系统中弱一阶量子相变的原位演化这项研究成果最近在Nature上发表[8]。该研究不但构造了一个高度可调的扩展哈伯德模型量子模拟器,成功模拟了从高对称SU(4)强关联电子系统中具有临界中间相的量子相变到低对称SU(2)电子系统中弱一阶量子相变的原位演化(图4),让模拟实现和深入理解具有可调内禀自由度的强关联电子系统成为可能,也为未来开发可高密度集成、高度可调和易于读取的固态量子模拟器迈出重要一步。
[1] Si Q,Rabello S,Ingersent K et al. Nature,2001,413:804
[2] Wang C,Ma R. Physical Review B,2020,102:020407
[3] Continentino M A,Ferreira A S. Journal of Magnetism and Magnetic Materials,2007,310:828
[4] Cao Y et al. Phys. Rev. Lett.,2020,124:076801
[5] Varma C M. Rev. Mod. Phys.,2020,92:031001
[6] Nahum A,Metlitski M A,Xu C et al. Physical Review X,2017,7:031051
[7] Musser S,Senthil T,Chowdhury D. Theory of a Continuous Bandwidth-tuned Wigner-Mott Transition. 2021,arXiv:2111.09894
[8] Li Q et al. Nature,2022,609:479
《物理》在淘宝店和微店上线,扫码即可购买过刊和现刊。
1.布朗运动理论及其在复杂气候系统研究中的应用
2.浅谈计算凝聚态物理
3.强相互作用诺贝尔奖漫谈
4.拓扑量子材料简介
5.镍氧化物超导研究——非常规高温超导研究的重要启示
6.量子系统哈密顿量的必要条件
7.用量子纠缠编织时空
8.用里德伯超原子控制单光子
10.随着时间的流逝