《物理》创刊于1972年,在特殊的年代里破土而出,蹒跚起步中经历了“科学的春天”,见证和记录了时代的前进步伐和中国物理学研究的繁荣历程。峥嵘岁月50载,《物理》在物理学界的广泛支持下,在作者们笔耕不息的勤勉奉献里,在读者们始终如一的热情关注中,经风历雨茁壮成长,众人用心血浇灌和滋养着《物理》以自己的姿态立于中国物理学发展之林。
2022逢《物理》刊庆50周年,我们精选了50篇文章,代表历年所有的作品,献给广大物理学工作者,以及正在学习物理学和对物理学感兴趣的朋友们。让我们重温品读,一起感悟物理科学的真谛,领略学科大家的风采。
|作者:翁羽翔(中国科学院物理研究所软物质物理实验室)
本文发表于《物理》2005年第4期
■推荐理由
美丽是可以表述的。作者用精密的尺度度量出鲜花与绿叶的美丽,介绍了自然界漫天飞舞的雪花、百花斗妍的花卉及绿叶在茎枝上奇妙的排列中展示的数理现象。此文激发起人们探索自然的热情,是一篇令读者印象深刻的文章。
在我们的生活中美是不可缺少的,也是无所不在的。她没有统一的标准,更无法精确地测定。不论是富丽还是平凡,繁复还是简单,完全取决于审美的一慧眼和爱美的心态,真可谓是“智者乐水,仁者乐山”。一般说来,美是一种对客观的体验,是一种谦卑的仰视。在飞驰的火车上我们感受不到骏马的奔腾,在腾云的飞机上我们无法体验雄鹰的矫健。那么就让我们在自然界中放慢脚步,注视一下身边寻常可见的冬天漫天飞舞的雪花、春天百花斗妍的姿态以及绿叶在茎枝上奇妙的排列,权且暂忘心中泛起的一番诗意,试一试能否用精密的尺度度量出鲜花与绿叶的美丽。
雪对生活在北方的人来说是冬天一道平常的风景,对江南的孩子们来说是一种企盼,而对生活在更南边的人则是一种奢望了。童年是在对雪的企盼中度过的。每当下雪的时候总是想着如何打雪仗,堆雪人,设弓陷捕觅食的饥鸟。总之,在这无声的热烈中竟从未认真观察过单片雪花是什么形状的。
这种情形持续到初二的那年冬天。有一天课间的时候外面飘起了鹅毛大雪,雪花大得竞然有五分钱的硬币那么大,接在手上第一次被她美丽的形貌所震惊了。细看手中的雪花,对称地长出六个晶枝,周边像蜘蛛结网似的围成了一圈圈的六边形,而在晶枝的顶部还有许多形如花边状的结构,再想细看的时候,掌中的雪花已经开始融化了。对自然界这种平常又极不平凡的美的发掘在心灵中产生了强烈的震撼,而对其美丽更是念念不忘。大一的时候还以此经历作咏雪诗一首:
定是琼阁春光尽,
方有凡尘冬花飞。
夜卧高枕听雪落,
却见嫦娥透窗窥。
到北京后,每到下雪天就忍不住去找出那样的雪花。然而北国的雪偏于细碎,尽管也能分辨出对称的图案,终究敌不过江南雪花的美丽,可见雪花的形态可能与形成过程中的湿度和温度相关。
也许是出于一种文化定势,历史上国人对雪的热情大多酝酿成了诗词歌赋,而对美丽的成因却探之甚少。可能你已经想到,在纷纷扬扬的雪花里,没有两片雪花的形貌是完全相同的。一位靠自学成才名叫本特利(Wilson Bentley,1865—1931)的美国农夫为此提供了佐证。本特利十分热爱显微照相术,1880年开始研究雪花的形貌。他发现在显微镜下,很难找到完全相同的两枚雪花。1931年他出版了一本名叫“雪花晶体”的书,书中收入了2500余幅雪花的显微照片。而历史上第一次试图解释雪花形态的研究工作是由提出行星运动三大定律的德国天文学家开普勒(Johannes Kepler,1571—1630)于1611年开展的。此公对现实世界中显示数学规律性的任何现象都抱有浓厚的兴趣,他将雪花的六边形对称性归因于原子结构,并为此写了一部精彩的著作,书名为“六角雪花”,作为新年礼物献给支持他从事科学研究的赞助人。在开普勒看来,雪花形态的基本特征是六边形的对称性。他的解释是∶如果冰是由一些微小的颗粒组成,并在平面上紧密堆积,按照几何规则,就会形成对称的六边形。现代晶体学的研究表明,冰的晶格是一种三维结构,每一个水分子通过氢键和周围的四个水分子相连,而且氧原子的排列是分层的,每一层都是一个平面,具有六边形的对称性。这种冰晶体中水分子排列的微观对称性可以用来解释雪花的宏观形态[1]。
典型的花是由花萼、花冠、雄蕊和雌蕊四部分组成的。花萼和花冠合称为花被,花各部分的固定数目称为花基数。花基数倾向于一固定的数目3,4和5,或者是3,4,5的倍数。一般说来,单子叶植物多为3或3的倍数;双子叶植物多为4、5,或者是4、5的倍数。梅花是我国人民极为喜爱的花,开于春寒料峭之际,长江流域的花期为12—3月份,有报春花的美誉。然而那种梅雪共春的和谐常常被解读成梅雪争春的惨烈,有诗为证:
梅雪争春未肯降,
骚人搁笔费评章。
梅须逊雪三分白,
雪却输梅一段香。
梅与雪在色和香上的差异是显然的,然而其对称性上的差异不知困惑了多少人。历史上对于生命问题的认识,梅花和其他花的五对称差一点成了有机界和无机界的分水岭。无机界的晶体是由原子、分子等微小单元堆积而成的,按照晶体学中平移对称性的要求,可严格证明5次,7次对称在无机晶体中是不存在的。然而5次对称在生命世界中似乎特别能搏得造物的钟爱,5个瓣的花在开花植物中特别普遍,如果将5对称稍做推广,变成5分叉,则动物中如虎的梅花蹄,人类的手脚都是5分叉的,这就使得自然界的数“5”披上了一层神秘的外衣。直到20世纪80年代,这种严格界限由于在晶体中发现了具有5次对称性的准晶才被打破。然而生命世界中“5”的寓意仍然保持着蒙娜丽莎般的微笑。
植物昭示于人的神秘数字莫过于斐波纳契数列。斐波纳契(Fibonacci)数列是这样的数字序列∶1,1,2,3,5,8,13,21,34,55,…,即序列中的每一个数都是前面两数之和。这一数列首先是在植物的叶序中被发现。所谓叶序是指植物叶片沿茎向生长方向的排列方式。大多数高等植物的叶子在茎向都是呈螺旋状排列的。如果以某一片叶子作为起点,沿着螺旋开始向上数叶片,将数到的第一片在茎向和起始叶片重叠的叶片作为终点,记录起始叶片和终点叶片间的螺旋线绕茎的周数(即叶序周数)及叶片的总数。将叶序周数作为分子,叶片总数作为分母,对于不同的植物就构成了下面的序列∶1/2,1/3,2/5,3/8,5/13,8/21,…。不难看出,植物的叶序周数和叶片总数均为斐波纳契数。
图2 松塔鳞片所表现出的菲波那契数,右螺旋为13,左螺旋为8,恰好是相邻的两个菲波那契数[2]
此后,在植物的花序及果实排列中也发现了另一种表现方式的斐波纳契数。松果、菠萝及向日葵等的鳞片及籽实的分布是按螺旋方式排列的,同样的一组分布图案,我们可以给它人为地划分成顺时针和逆时针的两组螺旋。令人称奇的是,这两组螺旋的数目分别为斐波纳契数列中相邻的两个数。如向日葵花盘中籽实排列的两组螺旋数往往是34和55,55和89,或者是89和144。菠萝鳞片的排列的螺旋数为8和13,落叶松松塔鳞片的排列为8和5,见图2。图2所示松塔鳞片排列的螺旋数分别是13和8。植物是如何知道这个序列的奥秘的呢?科学家为此苦苦思索了几个世纪。1837年左右,晶体学之父奥古斯特·布喇菲(Auguste Bravais,1811—1863)和他的兄弟植物学家鲁易斯·布喇菲(Louis Bravais)对叶序理论做出了重大贡献,并首次提出轮生叶片间的发散角是一个无理数,近似为137°30'28"(360°/τ2)。其中τ 为黄金比例,等于1.618。而斐波纳契数序列中相邻两数的比例(后项比前项)趋近于黄金比例。1972年,沃格尔(H. Vogel)以圆点代表种子,在二维圆盘中对向日葵花盘的种子进行计算机模拟,其规则是在保证发散角为一常数的前提下,尽可能紧密地将圆点挤压在一起。结果表明,当发散角小于黄金角,花盘中就会出现间隙,并只能看到一簇螺旋线。同样如果当发散角大于黄金角,花盘中也会出现间隙,并只能看到另一簇螺旋线。因此黄金角是种子不留间隙排列的惟一角度。可见斐波纳契数列使花朵顶端的种子最多,反映了植物在演化过程中是朝尽可能多的结种子方向进化的[1,3]。对叶序中斐波纳契数形成迄今为止最为精湛的物理模拟实验是由法国巴黎高等师范大学的斯特凡尼·杜阿迪(S. Douady)和伊夫·库代(Y. Couder)于1992年完成的。他们依据前人的实验和思想归纳了植物叶片生长的三个特点∶(1)叶片的产生是有一固定时间间隔的,当叶片从分生组织萌发后,须经过一段时间才会萌发下一片叶子;(2)先长出的叶片对后续的叶片有排斥作用;(3)叶片在垂直于茎轴的平面内离开轴心的速度与轴心间距呈指数关系递增。他们通过精巧的实验设计,利用磁场的梯度及磁偶极的斥力,模拟了叶片的生长过程。具体的方法是,将一个中心凸起的培养皿置于强度分布呈开口向上的抛物面形磁场中,且培养皿的中心和抛物面的中心相重合。培养皿中盛有浅浅的一层硅油,将磁性流体置于滴管内,按一定的时间间隔垂直滴入培养皿的凸起处。磁液滴在凸起处获得径向运动的初速度,并在磁场中形成磁偶极。当更多的磁液滴滴入培养皿后,由于磁偶极的排斥作用,液滴在培养皿中形成的平衡分布如同种子在向日葵花盘中的分布,形成左旋和右旋两簇螺旋线,其螺旋线数分别为菲波那契数列中的相邻两数。该结果首次从实验上揭示了力学过程在植物形态形成过程中的重要性[4](图3)。
图3 植物叶序形成菲波那契数的物理实验模拟:等间歇滴入的磁性液滴在梯度磁场的作用下悬浮于硅油中形成的螺旋线,黑点为磁性液滴,图(a)、(b)和(c)为不同时刻的照片,图(c)中实线和虚线清楚地表明液滴按螺旋线的排列方式,其中右螺旋数为5,做螺旋数为3
植物形态如花卉的图案不仅仅展现的是大自然千姿百态的美丽,同时也昭示造物的数学精密性。对花卉轮廓线的数学描述可追朔至18世纪,应用简单的极坐标方程,可以给出和花卉相对应的轮廓线。迄今,在数学上该类曲线仍然以花的名字命名,被称做笛卡尔玫瑰线.这方面的工作在过去的三个世纪内几乎不再有什么进展,直至2003年荷兰科学家Gielis发表了一个如下形式的数学公式∶
,通过改变公式中的几个参数值,不仅可描绘形状各异的花卉图案,也可用于形成各种对称的几何多边形(见图4),由此该公式也被作者称为超级公式(superformula)[5]。文章发表以后Nature杂志的Science update为此发表专文评论,称该项工作是令人激动的进展[6]。然而,单纯的数学描述尚未接触到生物形态发生的本质,也无法给出一个基本的物理图像。
图4 通过改变参数,超级公式所描述的各种几何形态,其中一些和植物形态相似
历史上对于生物形态的发生的物理基础的探索大致可以分成两个主要流派。20世纪初以Church和D' Arcy(D' Arcy Wentworth Thompson,1860—1948)为代表的一派认为生物的形态发生源于在细胞和组织层次上的力学作用[7]。值得一提的是达西本人是苏格兰圣安德鲁斯大学运动学教授,据说是20世纪最博学的人。他的不朽巨著《生长和形态》是一部对生命现象进行纯粹的数学和物理探索的书,似乎根本没有受到分子遗传学的影响。也正因为如此,愈显其思想新颖独特。而且全书文笔典雅,在欧美广为流传,影响深远。另一流派以Turing为代表,在分子运动变化的层次上,将非线性化学反应与扩散作用相互耦合的过程视为生物及化学形态发生的基础[8]。该学说由于在非线性化学反应动力学斑图形成理论及实验方面的成功,已成为生物及化学形态发生理论领域中的臬圭。然而用基于分子反应基础上的Turing理论描述宏观生物形态,其缺陷也是显而易见的。第一,构成生命活动的基本单元是生物细胞,越过细胞这一重要环节而在分子水平上研究生物形态对于大部分研究对象而言,在目前阶段是不适宜的;其二,Turing方程没有考虑生物力学作用对形态的影响,而近来不断有实验证明生物力学恰恰是影响植物形态的重要因素。尽管Church和D' Arcy的学术思想经历了近半个多世纪的冷落,终究被Green为代表的研究小组所复活,其学术影响也日趋深远[9]。
生物力学涉及生物形态发生的方方面面,其中的一个基本问题是,植物能够克服重力向上生长的动力是什么美国科学家最近研究了美国加州汉伯特国家红杉森林公园(Humboldt Redwood State Park,California)的数棵世界上长得最高的红杉树(约112.7米),其目的是想通过对不同高度采集的叶片的渗透压的研究,揭示水到底能够被植物输运到离地面多高的距离,也就是植物到底能够长多高。研究结果表明,红杉树叶细胞的渗透压是随着其所处位置的升高而减小的,而叶片的大小也是在树的基部大,树的顶部小,结论是渗透压是植物生长的驱动力[10]。
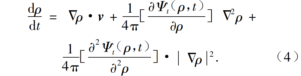
在分子生物学几乎能够将所有的生物特性归结于基因的今天,描述生物的宏观形态问题的难度似乎并没有降低。我们在掌握了生物形态发生从微观分子水平到宏观数学精密性等各种素材之后,反而难于找到恰当的切入点,特别是在生物界中存在植物界和动物界的天然差异。尽管构成植物和动物的基本单元都是细胞,然而动物细胞和植物细胞之间有很大的差异。不同于动物细胞,植物细胞有一层坚韧的细胞壁,并且细胞内有一个囊泡,对于一个成熟的植物细胞,其囊泡可占细胞总体积的95%。通过对囊泡内可溶物质浓度的调节,产生渗透压的变化,导致细胞膨压的变化。有关水在植物活体细胞内的输运及平衡的热力学基础早在20世纪40年代就由我国植物学家汤佩松先生和理论物理学家王竹溪先生的交叉学科合作研究中作出[11],并在国际学术刊物上发表,由于种种原因,该研究结果直到20世纪80年代才被国际植物学界重新发现,其中的曲折刘寄星教授的文章已经给出了详细的经过和评论[12,13]。我们工作的出发点是在植物细胞和组织的水平上将细胞的渗透压视为植物生长的驱动力,并将生长体系作为流体系统,提出了在二维空间中描述植物生长的微分方程,并在一定条件下获得了能够表达花卉形态的解析解[14]。生物学的实验证明,植物的生长如绿豆的发芽过程符合流体的运动规律。生物生长系统是一个开放系统,因此须考虑物质的输运过程。由流体的连续性性方程可得出
其中ρ为系统的总密度,v 为物质输运速度场或生长速度场。由于植物细胞的膨压或渗透压可以高达十多个大气压,并且生物体是一可压缩流体系统,因此必须考虑密度在压力场中的变化。在电磁学中我们十分熟悉麦克斯韦有关电荷密度和电势的关系式,事实上他是通过质量和势函数间关系的类比而引入电荷密度和势函数这一关系的。他在《电磁学通论》中论述到∶“我们可以把一个物质体系的势设想成通过某种按场中各物体的质量求积分的一种过程而求得的一个函数,或者,我们也可以假设质量本身除了的体积分外并无别的数学意义,此处
是势”[15]。因此,如果在质量体系中,能够求得相应的压力场势函数,就能够得到下列关系∶
在二维均匀分布的多细胞边界约束系统中,可以推导出质量分布或者是压力分布满足上述麦克斯韦关系,由压力引起的密度随时间变化量为
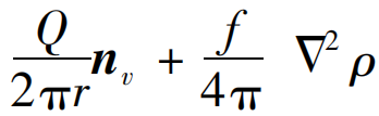
将(3)式代入(1)式,通过矢量场的变换运算,(1)式可写成
为使该方程可解,必须先求出生长速度场及其压力势函数对时间的微分。考虑一个由中心向外均匀生长的圆对称系统,在等通量条件下,生长速度可表示为∶
dr/dt=±Q/2πr,
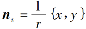
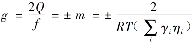
其中±号分别对应于系统的膨胀和压缩过程,Q为物质输运通量。植物系统中总密度(ρ)包含两部分的贡献,即可溶性物质(ρ-ρ0)和不溶性物质(ρ0)。可溶性物质主要是无机盐类及可溶性蛋白,不溶性物质包含细胞壁等。系统的渗透压或膨压为∶,其中γi为第i组份可溶性物质的活度系数,ηi为该组份的摩尔分数。可求得势函数的表示式为
,其对时间的微分为
。势函数的物理意义是∶其梯度为压力,散度为压强。将生长速度场和势函数对时同的导数代入(4)式,微分方程可简化为
,其中
为生长速度方向矢量,
。在稳态条件下,方程进一步可简化为下式
其中,
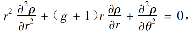
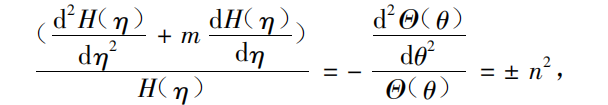
引入欧拉变换η = ln r及变量分离,将微分方程写成径向和角相部分:
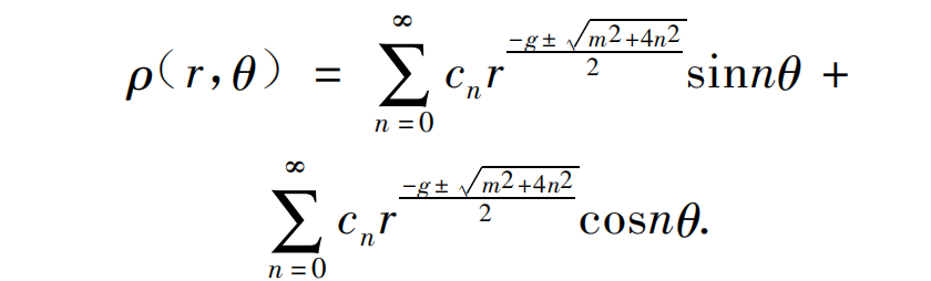
其中n为任意参数.若等式的右边取-n2,则解的形式为对应于左旋和右旋的对数螺旋线簇,如果能够进一步解决螺旋线簇的分布,则有可能会给出叶序中的斐波纳契数,对于这一分支的深入研究,尚待进行。我们考虑等式右边为+n2的情形时,可得通解的形式为和
及
。
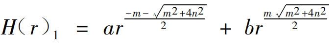
将径向部分的解进行指数项反对称项组合∶
及
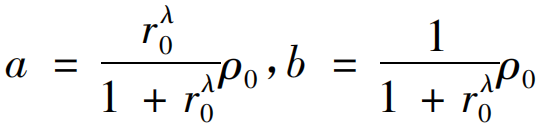
,其中参数a和b由边界条件确定。对于花卉形态而言,电镜实验表明,其发育初期是由数十个细胞组成的细胞群,形态类似于椭圆,空间尺度约100 μm。进一步长大后发生对称性破缺,由椭圆对称变成近似的五边形对称,随后发育成花萼、花瓣及其他器官[6]。可见对称性破缺之前,通解应当包含角相所有n的组合,即
然而,一旦发生对称性破缺,n只能够取某一整数。植物的形态应当是对称性发生破缺以后的情形。在上述反对称组合解中,令,则径向解的形式可简化为
。我们可由对称性破缺的条件定出参数a和b。令圆对称的初始细胞群的半径为r0,一直长到半径为R(令R=1)才发生对称性破缺。边界条件为等密度生长条件;
,可得
。将径向和角相部分解进行组合后可得到等密度或等压线构成的能够描述各种花卉形态的解析解∶
世上没有两瓣雪花是一样的,也许我们也可以做这样的推论,世上也没有两朵花是完全相同的。数学表达的美妙之处是在相同的形式下包容了千变万化的差异性。图5(a)中所示的花为金丝桃科的黄海棠(hypericum,ascyron Linn.)[17],其形态特点是单个花瓣是不对称的,整花具有C5旋转对称性。图5(b)是给定参数条件下由方程解所确定的等密度线,可见等密度轮廓线能够很好地描述黄海棠花的形态。图6(a)为春兰花[cymbidium goeringii(Rchb. f.) ][17],整花具有C3v对称,另外在花瓣的尖端轮廓线的一阶导数是不连续的。图6(b)是对兰花形态的数学描述,可见能够很好地反应出兰花的形态特征。图7(a)是由数学解给出的放射状轮廓线,并且在植物世界中找到了它所对应的实体。图7(b)为延龄草科的球药隔重楼花,萼片呈叶状,花瓣为线状,这种线状花在日常生活中较为罕见[17]。
图5(3)金丝桃科的黄海棠花(hypericum,ascyron Linn.);(b)由方程解式(5)的“-”分支所描述的等密度或等压线,参数条件为n=5,λ=1,r0=1
图6(a)兰花的形态;(b)由方程解式(7)“-”分支所描绘的等密度线,参数条件为n=3,λ=5,r0=1
图7 (a)由方程解式(6)“+ ”分支所确定的放射状花的轮廓线;(b)药隔重楼花线状花瓣
更为有趣的是,方程的解具有下列特性,即可以在保持其他参数不变的前提下,通过调节对称性破缺的边界条件,就能够改变花瓣的形态,具体地说,可以通过改变边界条件选择圆瓣花或尖瓣花的形态,如图8(a),(b)所示。原则上,对称性破缺发生得越早,即r0值越趋近于1,花瓣的形态越趋于尖顶形;反之,起始圆对称形态扩张到一定程度后再发生自发对称性破缺,即r0越小,花瓣的形态倾向于圆顶形。
图8 由方程解式(6)“-”分支所预期的,因对称性破缺条件不同所导致的花卉形态的差异.参数条件∶(a)n=4,λ=4,r0=1;(b)n=4,λ=4,r0=0.1;(c)头状四照花同一枝干上的两种不同形状的花
依照现行的生物学观点,植物形态的差异来源于基因的变化,那么有没有植物形态的差异仅仅是因为外界条件的不同,比如是由于自发对称性破缺的边界条件不同而引起的呢?目前尚无分子生物学以及人为控制边界条件导致形态差异的实验证据,然而对植物形态的初步观察结果却相当令人振奋。图8(c)是山茱萸科的头状四照花[dendrobenthamia capitata(Wall.)Hutch][17],其独特之处是在同一枝干上开出了两种形态各异的花,正好是我们所预期的圆顶形和尖顶形花。如果我们认为同一枝干上的花其遗传基因相同的话,那么两种不同形态的头状四照花为我们的理论预测提供了佐证,尽管严格的证明还有待于进一步的分子生物学实验验证。
细心的读者也许已经发现,斐波纳契数出现在具有螺旋排列的植物形态中,而花基数3,4和5出现在轮生的植物形态中。尽管3,5属于斐波纳契数,而4显然不属于斐波纳契数。那么花基数和斐波纳契数之间是有真正的内在联系还是出于某种巧合呢?至少目前分子生物学的实验已经证明,植物是按轮生还是以螺旋状形态生长是由基因控制的[16]。斐波纳契数的出现是植物朝着对自身生存和繁衍有利方向演化的结果。对叶片排列而言,按斐波纳契数螺旋式排列能够使植物最大限度地利用太阳光;而花盘中种子的斐波纳契数排列使植物获得了最多的种子。然而花以3,4,5为基数,这种好处到底在哪呢?至少在目前还无法将花基数和植物演化的目的明确地关联起来。
在我们描述植物花卉形态的数学解中,共有3个参数λ,n和r0,其中n确定花瓣的分叉数,r0描述了外界条件对形态的影响,而λ则在其他两个参数固定的情况下,确定花瓣的宽窄。可见λ和n具有内禀参量的特点。λ,n和另一内禀参量m满足下列条件∶λ2±mλ=n2。该关系意味着3个参数中有两个独立变量,如果不考虑演化作用,本质上花的瓣数是不固定的,花瓣的宽窄也处于不断的变化之中。然而,现实的植物世界并非如此,对开花植物的花卉进行统计表明,花基数为3,4,5的植物占总量的80%左右。这种显著的倾向特征可以从演化过程中找到答案,在此我们将λ2±mλ=n2作为植物形态演化的约束条件。如果演化是按照两个独立变量的方式进行,则花卉的形态不论是在同一代的个体中还是在子代中都没有固定的形态,这种演化途径称之为无规演化。与无规演化相对立的是相关进化或共进化。共进化现象普遍存在于自然界中,地球上的各种生物之间有着直接或间接的关系,彼此互相影响,相互制约,形成有规律的组合。物种之间的复杂关系,不仅影响着物种的生存,同样影响着物种的进化。一群体的进化与其他群体的进化相互影响,这种变化发展过程叫共进化。共进化现象不仅存在于猎物和被猎物之间,也存在于开花植物和为其传播花粉的小昆虫之间。而且目前在分子生物学中已经发现了不少基因和蛋白间的共进化现象。因此在共进化条件下,要求约束条件中的3个参数中只能有一个独立变量。在数学上我们知道,如果λ2,mλ和n2分别是整数的平方项,则3个数可用毕达哥拉斯关系式表示∶,其中k一为奇数。可见毕达哥拉斯数可以成为花卉形态相关进化的约束条件。以任意一组毕达哥拉斯数(3,4,5除外)作为进化的起始状态,进化方向有两个,即朝着更大或更小的毕达哥拉斯数组方向进化,而朝着更小方向进化的过程是收敛的,最终收敛于3,4,5数。可见毕达哥拉斯数3,4,5恰如一个漏斗的底部,只要基因变化足够频繁(相当于统计力学中的各态历经过程),演化时间足够长,大多数花将呈花基数状态。可见植物的花基数仅仅是演化方向上的一个概率问题,并没有象斐波纳契数那样会给植物带来好处。这种自然进化的方向也可以通过人为的干扰使之逆过来。如人工栽培蔷薇科的牡丹和碧桃,它们的花瓣数是不确定的,而野生态蔷薇科种属的花大多是5瓣的。可见毕达哥拉斯数是植物进化过程中的另一套神秘数,3和5出现在斐波纳契数中不过只是一种巧合罢了。
美丽是可以表述的,这项工作只是揭开造物之数学美的冰山一角,自然界所昭示的神秘数字可以是有目的性,也可以是无目的性的,而数学上的法则也可以成为进化过程中的一把选择尺度。在我看来,生命的形态是由基因策划的,在数学和物理划定的舞台上上演的一出绚丽的芭蕾舞。在这项工作的长期探索和思考过程中,得到了许多同仁的帮助,特别要感谢的是中国科学院植物研究所的谭克辉研究员,中国科学院物理研究所的尹华为博士和中国科学院理论物理研究所的刘寄星研究员。
补 记
《美丽是可以表述的》一文是对自然界对称之美的一种深切感动,也是献给自然的一首小诗。这种感动是如此热烈和持久,以致那些悲喜、沮丧、震撼、艰辛的经历和感受至今还历历在目,恍如昨日。感谢《物理》的包容,给了我一方能够倾心相诉的天地,并得益于《物理》以往刊载的文章,使我有机会结识刘寄星先生,并引为知己,得到他的支持和鼓励。
最初的想法始于初中学到的对称性知识,对花瓣有了数学上的感性认识。后来偶然得到一本《袖珍数学手册》,见到了笛卡儿的三叶玫瑰线,自然而然地产生了花的形态可以用数学来表达的念头。然而对该问题真正在科学意义上的探索一直到研究生阶段才开始。
当初的设想是从非平衡态化学反应角度入手。化学反应速率方程中的浓度是空间均匀的,对于非平衡态,必须考虑到物质交换和浓度空间不均匀性,对于空间某一点化学反应会导致在该处物质浓度的增加或减少,如果用物理的语言描述就等价于一个物质的源和汇,可以通过构造一个势函数来描述非均匀系统的化学反应,并得到了一些初步结果。
在经历一些挫折后,直到1999年回所工作才有机会重新审视这一问题,并得益于周围一些数理功底深厚的同事和朋友,包括所里的汪力、王鹏业研究员以及尹华伟博士给出批评和建议,美国的汤超教授(现在北大物理系),台北中研院的陈志强教授先后指出先前工作最大的毛病在于人为构造的势函数没有明确的物理意义!
什么是势函数物理意义?在被势函数问题的折磨过程中,有一天突然问自己,为什么该方程描述的结构和植物的形态最接近,植物的细胞与动物的细胞有什么区别这一问竟然抓到了问题的突破口,原来动物细胞膜只含有一层软的半透膜,而植物细胞除半透膜外还有一层细胞壁,具有很强的机械性能和耐压能力。植物生长的动力来自于渗透势(水势),并由此查到了刘寄星老师写的、关于20世纪40年代物理学家王竹溪和植物学家汤佩松教授合作在国外发表渗透势研究工作的那段历史。至此,降回路转,势函数对于植物细胞而言就是渗透势,所受到的压力是渗透压产生的膨胀力,植物的形态是在膨胀力作用下发生对称性破缺的结果.
科学研究活动的第一要义是求真,美次之,然而对于许多伟大的成果,真和美能够做到完美的统一。数学家魏尔(H. WeyI)说过∶“我的工作总是尽力把真和美统一起来但当我必须在两者之中挑选一个时,我通常选择美。“对我自己而言,只能聊以自慰地说,对于科学中的美,曾经义务反顾地追求过,希望还有机会。
翁羽翔
2012年3月9日
《物理》50年精选文章
我对吴有训、叶企孙、萨本栋先生的点滴回忆 | 《物理》50年精选文章
国立西南联合大学物理系——抗日战争时期中国物理学界的一支奇葩(Ⅰ) | 《物理》50年精选文章
国立西南联合大学物理系——抗日战争时期中国物理学界的一支奇葩(Ⅱ) | 《物理》50年精选文章
原子核裂变的发现:历史与教训——纪念原子核裂变现象发现60周年 | 《物理》50年精选文章
回顾与展望——纪念量子论诞生100周年 | 《物理》50年精选文章
中国理论物理学家与生物学家结合的典范——回顾汤佩松和王竹溪先生对植物细胞水分关系研究的历史性贡献(上) |《物理》50年精选文章
中国理论物理学家与生物学家结合的典范——回顾汤佩松和王竹溪先生对植物细胞水分关系研究的历史性贡献(下) |《物理》50年精选文章
为答谢广大读者长期以来的关爱和支持,《物理》编辑部特推出优惠订阅活动:向编辑部连续订阅2年《物理》杂志,将获赠《岁月留痕—<物理>四十年集萃》一本。该书收录了1972年到2012年《物理》发表的40篇文章,476页精美印刷,定价68元,值得收藏。
详情请联系编辑部:
(010)82649029,82649277
physics@iphy.ac.cn
目录
2.5埃分辨率胰岛素晶体结构的研究
中子弹是怎么一回事 ?
理论物理研究中应当正确对待的几个问题
晶体缺陷研究的历史回顾
相变和临界现象(Ⅰ)
相变和临界现象(Ⅱ)
相变和临界现象(Ⅲ)
我对吴有训、叶企孙、萨本栋先生的点滴回忆
凝聚态物理的回顾与展望
五次对称与准晶态
从高能物理学的发展看北正、负电子对撞机
声学与海洋开发
扭摆的故事一一简单的仪器与重要的成果
对21世纪物理学的发展的一点猜想
模型在物理学发展中的作用
国立西南联合大学物理系一一抗日战争时期中国物理学界的一支奇葩(Ⅰ)
国立西南联合大学物理系一一抗日战争时期中国物理学界的一支奇葩(Ⅱ)
原子核裂变的发脱历史与教训一一纪念原子核裂变现象发现60周年
我国半导体物理研究进展
回顾与展望一一纪念量子论诞生100周年
我的研究生涯
北永SARS疫情走势的模型分析与预测
中国理论物理学家与生物学家结合的典范一一回顾汤佩松和王竹溪先生对植物细胞水分关系研究的历史性贡献 ( 上 )
中国理论物理学家与生物学家结合的典范一一回顾汤佩松和王竹溪先生对植物细胞水分关系研究的历史性贡献( 下 )
为了忘却的怀念一一回忆晚年的叶企孙
从分子生物学的历程看学科交叉一一纪念金螺旋论文发表50周年
我与物理
美丽是可以表述的一一描述花卉形态的数理方程
外公丰子恺先生鼓励我学物理
爱因斯坦 :邮票上的画传
转瞬九十载
一本培养了几代物理学家的经典著作一一评《品格动力学理论》
介电体超晶格的研究
我国磁约水聚变研究的早期历史
趣谈球类运动的物理
朗道百年
以人之语 . 解物之道
软物质物理一一物理学的新学科
宇宙学这 80 年
熵非商一一the Myth Of Entropy
物理学中的演生现象
书山有路勤为径,悟后起修真功夫一一访赵凯华教授
普渡琐记一一从 2010 年诺贝尔化学奖谈起
我的学习与研究经历
后记
《物理》在淘宝店和微店上线,扫码即可购买过刊和现刊。