《物理》创刊于1972年,在特殊的年代里破土而出,蹒跚起步中经历了“科学的春天”,见证和记录了时代的前进步伐和中国物理学研究的繁荣历程。峥嵘岁月50载,《物理》在物理学界的广泛支持下,在作者们笔耕不息的勤勉奉献里,在读者们始终如一的热情关注中,经风历雨茁壮成长,众人用心血浇灌和滋养着《物理》以自己的姿态立于中国物理学发展之林。
2022逢《物理》刊庆50周年,我们精选了50篇文章,代表历年所有的作品,献给广大物理学工作者,以及正在学习物理学和对物理学感兴趣的朋友们。让我们重温品读,一起感悟物理科学的真谛,领略学科大家的风采。
|作者:陆坤权1,† 刘寄星2
(1 中国科学院物理研究所)
(2 中国科学院理论物理研究所)
本文发表于《物理》2009年第7期
■推荐理由
文章综述了目前正迅速兴起的软物质物理研究的发展趋向,就软物质物理的内容、兴起的原因、重要性和面临的基本问题作了一定的分析和说明,并对我国发展软物质物理研究提出若干建议,是一篇逻辑性强、文笔流畅的评述文章。
以量子论和相对论为主要标志的20世纪物理学极大地促进了自然科学各领域和近代技术的发展,对人类文明和社会进步起了重大作用。进入21世纪后,物理学将如何发展?将如何在技术和社会进步中发挥作用?成为物理学家们必须思索的问题。
2004年8月美国80名著名物理学家曾以"关联物质新领域(Frontiers in Correlated Matter)"为题召开过一次研讨会[1],对凝聚态物理领域从硬物质到软物质研究进行了广泛、深入的讨论,会议对软物质和生物体系予以了特别的关注。会后由P. Coleman和L. Kadanoff教授执笔写成一份题为“复杂物质向智力的挑战(The intellectual challenges of complex matter)”会议总结报告。在这份报告中,将凝聚态物理分为硬物质物理和软物质物理,认为在硬物质物理中原子力和量子力学起主导作用,而在软物质物理中起主导作用的并非量子力学。同时他们提出了关于关联物质尚未解决的11个大物理问题。
从上世纪后期开始,物理学家在不断总结对微观、宏观、复杂体系各层次研究经验的基础上,对物理学整体获得了更为理性和全面的看法。这些看法中的一个重要认识,是对长期支配物理学研究主流的“还原论”提出挑战,主张“层展论”[2]。还原论(reductionism)将一切归结为物质最基本的组成部分和决定它们行为的最基本规律,认为物理学的基本任务,应当是对物质最基本的组成及其最基本规律的追求;一旦求得这个最基本规律,便可以用来解释并推导出物理学从微观到宏观的所有现象。层展论(emergence)则认为,客观物质世界是分层次的,每个层次都有自己独特的规律,对于物理学研究而言,重要的是承认这个客观现实,并以它为依据,寻找各物质层次的运动规律,理解这些现象是如何“层展”的。一个显然的事实是,尽管一切物质均由基本粒子组成,但原子和分子组成的体系(包括硬物质和软物质这些集聚体)的性质,并不能依据基本粒子的性质和运动规律推导出来。那种认为蛋白质的性质和功能是基本粒子行为所决定的看法,显然有悖于科学常识。关于这点,P. W. Anderson早在1972年就指出∶“……将万事万物还原成简单的基本规律的能力,并不蕴含着从这些规律出发重建宇宙的能力。”“在复杂性的每一个层次之中会呈现全新的性质,而要理解这些新行为所需要作的研究,就其基础性而言,与其他研究相比毫不逊色。”[3]
就物理学整体而言,相对论与量子力学为主导的物质运动规律不过是物理学知识总体中重要的一部分。还有一些物质形态的运动是以其他因素为主导的,软物质便是如此[4]。软物质是一类具有自身特殊运动规律的物质形态,同时,软物质研究具有极为广泛的应用背景,这些因素导致软物质物理研究的兴起和发展。
本文试图从物理学科发展的角度评述国际上软物质物理研究的动态,分析软物质物理迅速发展的原因,以期获得对发展软物质物理的重要性及与其他学科关系的认识,探讨如何推动我国软物质物理的研究。本文将涉及软物质物理的一些内容,但不对这些内容作深入的描述。
近年来,软物质物理研究在国际物理界受到广泛重视,快速兴起,发达国家绝大多数大学物理系和实验室建立了软物质物理研究方向,研究队伍迅速扩大。
美国一大批著名大学的物理系均将软物质物理列为主要学科之一。例如,普林斯顿大学和宾夕法尼亚大学物理系,将凝聚态物理研究分为“量子体系”和“软物质”两大部分。加州大学洛杉矶分校的凝聚态物理学科则由硬物质物理、软物质物理和分子生物物理三部分组成。康奈尔大学凝聚态物理包括纳米结构物理、低温物理、X射线物理和软物质物理四部分。纽约大学物理系在2004年投入约2000万美元,建立了由D. Pine教授为主任,包括P. Chaikin等4位教授的软物质研究中心,以形成物理与化学、生命和工程研究沟通的界面。哈佛大学物理系由D. A. Weitz教授领导一个很大的软物质物理组,对软物质物理领域进行广泛的研究。杜克大学物理系的非线性和复杂系统中心,主要研究软物质,其中R. Behringer教授是著名的颗粒物理研究专家、“Granular Matter”杂志主编。芝加哥大学物理系及James Franck研究所长期以来从事软物质物理理论和实验研究,有很强的研究队伍和一批著名软物质研究教授,如扩散限制集聚(DLA)模型提出者T. Witten,颗粒物质研究专家S. Nagel,以及著名理论物理学家L. Kadanoff教授等。美国的一些国家实验室,如Los Alamos(洛斯阿拉莫斯),Argonne(阿贡),BNL(布洛克海文)实验室也都建立了软物质物理研究组。
欧洲各国大学的物理系和国家实验室也普遍设立了软物质物理研究方向。
法国有很强的软物质物理研究力量。由于de Gennes的影响,法国软物质物理研究具有很高水平,法兰西学院和巴黎高师的统计物理实验室在液晶物理、浸润和去浸润、膜物理、颗粒物理动力学等方向上的研究成果特别引人注目。
英国剑桥大学物理系和Cavendish实验室,由天体物理、生物和软物质物理、光学和微电子、理论和量子体系4个研究方向构成,其中生物和软物质物理研究方向是2004年新建立的。爱丁堡大学物理学院的凝聚态物理包含4个研究领域,分别为高压和极端条件物理,软物质和生物物理,统计力学和计算材料物理,量子有序。他们对软物质研究给予很大投入,如M. Cates教授的软物质物理课题,2003—2008 年和2007—2011年分别得到约200万英镑和400 万英镑的资助。Bristol大学物理系也将软物质物理作为该系的研究方向之一。
德国Jülich研究中心固体研究所和Max-Planck研究所将软物质物理作为重要组成部分。Jülich研究中心的10个研究部中的两个分别是理论和实验软物质物理;并且从2001年开始,每年举办Jülich软物质研讨会,称之为Jülich Soft Matter Days。莱比锡大学则成立了软物质物理研究所。
其他欧洲国家的大学物理系,近年来也纷纷开展软物质物理研究。
日本对软物质物理的研究给予了重点支持。日本文部科学省特定领域研究资助的京都大学太田隆夫教授的软物质物理项目,据说2006—2010年的经费约为14亿日元。
与软物质物理研究发展相对应,国际最主要的物理学术刊物已将软物质物理列为物理学的新分支学科。如Physical Review Letters 杂志从2004年7月开始将Soft Matter,Biological,and Interdisciplinary Physics作为栏目,与核物理和凝聚态物理等传统学科并列。美国的Physical Review杂志和欧洲物理杂志The European Physical Journal各分为A,B,C,D,E 五卷,分别刊登物理学各分支学科的论文。其中Physical Review E 从2001年1月开始以 Soft Matter and Biological Physics 为主要内容。The European Physical Journal E-Soft Matter 分册从2000年1月开始出版,专门刊登软物质物理论文。英国皇家化学会(Royal Society of Chemistry)从2005年6月开始出版专门的Soft Matter杂志(月刊)。
与研究工作的迅速发展相适应,软物质物理已列入这些国家许多大学的研究生和本科生课程表。从2000年以来,据不完全统计,以软物质为题的书籍出版了近30种,其中包括了多种软物质物理教材。各国举办了大量的有关软物质物理的会议和讲习班。例如,美国 Boulder School 是专门举办凝聚态物理的暑期学校,每年7月举办一次。从2000年以来举办的8期暑期学校有5次是与软物质物理相关的题目。
以上情况表明,软物质物理已成为物理学新分支学科,是目前物理学的重要前沿方向,在国际上受到广泛重视。
“软物质”是自然界、生命体系、日常生活和工业技术中广泛存在的物质体系。“软物质”一词是相对于通常所见的金属、陶瓷、玻璃、晶体等“硬物质”而提出的,包括聚合物、液晶、表面活性剂、胶体、乳状液、泡沫、颗粒物质等,生命体系的组成单元基本都是软物质。对于这类物质,化学家、生物学家们早已进行过大量研究工作,一些有影响的物理学家也曾以此为研究对象,获得了许多重要认识。在凝聚态
物理研究领域,聚合物、液晶等过去已是不少物理学家关心的研究领域。然而,将这类物质概括为“软物质”,认识到这是一类具有特殊运动规律的物质形态,应归功于法国著名的物理学家P. G. de Gennes。他在1991年诺贝尔物理学获奖颁奖典礼上发表了以“软物质”为题的演讲[5],用美妙而贴切的词语“软物质”概括了这一类物质,很快得到科学界的普遍赞同,促使软物质物理新学科的出现。
关于软物质的定义和基本特征,有不同的表述[6-8]。我们可以将软物质表述为∶软物质由固、液、气集团或大分子等为基本组元组成,是处于理想流体和固体之间的复杂体系。其结构单元间相互作用相当弱(约为kT),由热涨落和熵主导其运动和变化。软物质的最基本特性是对外界小作用的大响应和自组织(装)行为。
软物质既不同于液体,也不同于固体。表1给出软物质与气体、液体和固体的比较,以便了解其区别和特征。
表1 软物质与气体、液体、固体的比较,其中U为作用能
物理学对物质结构和运动规律的认识经历了从宏观到微观,从简单到复杂,从平衡态到非平衡态的过程。软物质的组成复杂,它的运动并不由其组成单元中的原子或分子尺度的量子力学作用决定,而主要是涨落和熵导致了软物质体系复杂物相的变化,这些驱动作用比原子或分子间键能弱得多,表现出“软”、“易变性”和“复杂性”。而且,软物质常常是处于非平衡态,用平衡态热力学和统计力学处理软物质系统时经常遇到困难。另一方面,具体的软物质体系往往要涉及与硬物质界面的相互作用,因而更具复杂性。正是软物质体系的这种复杂运动,支配着我们常见的许多物质的形成和变化,呈现出与一般硬物质不同的特性。已有的物理学知识尚不能很好地解释软物质体系的复杂运动规律。
20世纪30年代后逐步建立延米的固体物理定以固体的周期性为基本范式;70年代后形成的凝聚态物理,其范式则以多体效应和对称破缺为中心[2]。固体物理和凝聚态物理在其后不断获得重要进展,对物理学学科和技术发展做出了巨大贡献,也大大推动了物理学与其他学科的交叉。目前软物质物理还处于发展初期阶段,学科的范式尚在建立过程中,软物质物理研究发展前景广阔。可以预料,软物质的独特新奇行为、丰富内涵和广泛应用背景,必将使软物质物理发展成为物理学的丰富多彩的领域。正如T. A. Witten所说[4]∶“物理学可以看作是由概念组成的空间。把这些概念组合起来,我们可以理解很广泛的一大批现象。但是也有些现象不能以这种方式去理解,它们超出了原有概念的范围。假如这些不可被解释的现象既简单又广泛,那么它们就会把我们原有的概念空间向新的维度扩展。软物质物理之所以有价值,很大程度上是因为它是这些新维度的来源。这一领域已经向我们展示了如何以超出我们以往想象力的方式去设想自然。软物质物理已经积累了大量知识,它还将继续揭开一些重大的谜团。一切迹象表明这一创造性的过程正在发展”。
科学研究是人类自身发展的需要和能动的追求,在过去物理学成就和知识积累的基础上,物理学家们不断向不同物质层次的未知领域探索,软物质就是这些未知领域之一。
对于集合态凝聚物质,如软物质和强关联量子体系,不能由对其组成的单元性质和运动规律的理解,简单地过渡到对整体的运动规律和性质认识。关于这一点,物理界的共识是“整体远多于各部分之和(The whole is more than the sum of its parts)”[1]。这是借用亚里士多德的话,我们可称之为“十字箴言”。
软物质是由固、液、气集团,或大分子集合而成,既不同于一般固体和液体的原子或分子集合体系,也不同于电子的关联体系。软物质这种集合态具有自身的运动规律,呈现出特别的性质,涉及不少物理学家前所未遇的问题,引起了很大兴趣。关于软物质物理面临的基本问题,我们将在后面阐述。
寻觅真理是科学家的追求,服务社会是科学家的责任。在“以人为本”的当今社会,人们的吃、穿、用、住、行,以及健康、环境、安全、灾害等成为科学工作者共同关心的对象。另一方面,随着国际政治形势改变和冷战结束,科学研究更趋向注重人类生活的相关问题[9]。软物质是与人们日常生活、工业技术,以及生命体系密切相关的物质形态。在凝聚态物理领域,硬物质物理的研究导致了许多新技术和产业的诞生。软物质物理则在更广的范围与社会的需求及人们的日常生活相关,例如∶对食品、药物、化妆品等的品质或作用的理解,对生命体系中DNA、蛋白质、细胞等的变化规律的认识,都需要从软物质物理的角度加以阐述;油、气及离散态物质的生产、加工、运输、储存甚至对交通流和相关灾害的认识,亦有赖于软物质运动规律的深入了解;环境改进及污染处理的许多相关问题也与软物质密切相连。
如果说硬物质物理的研究带来的技术进步使人们得到了效率和乐趣的话,那么软物质物理的研究将会促使人们更加健康和安全。当今社会的发展和改善人民生活的需要对软物质物理研究提出了许多挑战性课题。
化学家和生命科学家们长期以来已将多种软物质作为研究对象。而物理学家将软物质作为一类物质体系给予重视,逐渐形成软物质物理学科,还是近十多年的事。软物质物理是物理学与化学、生命科学、材料科学等联系的天然桥梁,同时又与许多技术和工程问题密切相关。
这里我们着重提一下软物质物理和生命科学的关系。生命体系由各类软物质组成,用一般硬物质运动规律无法理解生命现象。这里正是软物质物理的用武之地。软物质物理是认识生命体系相关问题的基础,但软物质物理并不等同于生物物理。生物物理是用物理学的原理和方法研究生命体系的结构和功能。软物质物理所研究的对象更基础,更普遍。例如,前面所述的自组织(装)可能是支配生命的产生、发育、生长、进化的重要因素,认清自组织(装)的原理正是软物质物理面临的基本课题之一。生命系统的其他很多问题也向软物质物理提出了挑战,例如∶细胞内胶体的运动规律及对细胞影响;细胞内布朗运动和生命过程关系;细胞复制、运输、运动与活性凝胶(active gels)的关系;活体中的涨落耗散(fluctuation dissipation);血液流动与堵塞的形成;在生命非平衡系统,涨落和演化的关系等等。
关于软物质物理与生物的关系及目前的研究现状,T. Witten的一段话颇有教益。他说∶“活细胞中充满了聚合物、类脂胶束、大离子以及自组装起来的棒状和管状结构。然而,具有这些形状的物体的奇特行为是否对于了解生命的机制具有本质性的意义,至今还不太清楚。从一方面看,微相分离、熵相互作用和膜张力的传播这些物理效应或许是关键的。在解释蛋白质折叠、细胞中有序集合体的形成,以及细胞中高度有组织的迁移现象等重要过程方面,这些物理效应都是有吸引力的候选者”[4]。
因此我们可以说,在物理学领域没有其他学科如软物质物理这样与生物学密切相关,而且二者之间的联系仍在被不断揭示中。
软物质物理涉及很广的领域,其广度似可与固体物理的领域相比拟。然而,在对软物质的认识程度上,远较对固体物理认识粗浅。目前软物质物理大体面对以下六个基本问题。
在物理学发展中,往往以简化模型对物质进行描述∶例如,对于气体由理想气体模型,通过位力展开进而描述真实气体;对固体则以晶体原子或分子的周期性排列作为基础。尽管描述液体的理论尚未完善建立,采用原子和分子相互作用及无序分布的模型,也可对液体结构和性质有较深入的认识。
软物质与以原子和小分子组成的气、液、固体相比,有很大的差别。软物质组成复杂,组成单元可跨越很大尺度(从微观、介观到宏观),形态多样,组成单元的相互作用弱,涨落支配其运动,而且常常处于非平衡态,属于慢动力学(slow dynamics)体系。图1给出一些典型软物质的尺度和时间标度。软物质的运动不能简单地归结为原子和小分子的作用。对于有些软物质体系,如液晶、聚合物已作了相当多的物理研究,这些体系的结构和运动规律现已有较为成熟的理论[10-12]。在这些研究中一般均采用粗粒化模型处理,不考虑复杂结构单元中的细节。
图1 一些典型软物质的尺度和时间标(此图取自www.fyslab.hut.fi/kurssit/Tfy-0.3252/lectures/soft_matter_lect01.pdf)
但总体来讲,对软物质中的相互作用、非平衡态及慢动力学运动的认识还很不清楚,从物理学的观点开展软物质研究时间不长,建立描述软物质运动规律的理论仍有待时日。20多年前L. Kadanoff曾经说过∶“物理学家开始认识到复杂体系可能有自己的规律,这些规律或许就像自然界任何其他规律一样简单,一样基本,一样漂亮”[13]。物理学家们正面对认识软物质这种复杂体系运动规律的挑战。
对自组织和自组装的定义及其区分,目前学术界尚无确切的界定。一般认为,自组织是体系在没有外部控制情况下形成的自发结构,组成单元间无通常的相互作用,形成的结构欠规整;而自组装往往包含某些相互作用而自发形成特殊结构,结构较为规整。在很多文献中并未将自组织和自组装严格区分。自组织涉及自然界更广的范围,物理学家大多习惯讲“自组织”,而其他领域很多人似乎更喜欢用“自组装”一词。我们下面的讨论中暂不深究这两个概念的区别。
软物质中普遍存在自组织是与硬物质不同的重要特征。自然界物质形成,特别是生命的形成和发展以及某些材料制备,常常通过自组织来实现。因此,认识自组织的起源是研究软物质运动规律的重要课题。目前的基本认识是,熵力、排空效应是导致自组织形成的主导因素[14]。
根据热力学理论,体系的状态由自由能F=U-TS决定,其中U、T、S分别为内能、温度和熵。体系的自由能低,则状态稳定。在软物质中,内能的变化很小,体系的变化主要由熵变引起。
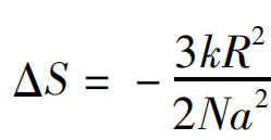
为了表述熵在软物质中的主导作用,先以熵弹簧为例来说明。硬物质弹簧的弹性是原子相互作用的内能所决定;而属于软物质的橡胶,其弹性是熵引起的。若橡胶的聚合物分子由N个片段组成,每一片段长为a,拉长分子使两端点距离为R,用无规行走方法计算可得熵S的变化为[15];相应自由能变化为∶
;则弹簧张力的方程为
。这就是说,拉伸的聚合物分子可容许微观状态数较少,对应于低熵状态而卷曲的聚合物分子可容许微观状态数较多,熵增加,而使自由能减低。与硬物质的弹性相比,不仅起源不同,性质也明显不同。在熵弹簧中,力正比于温度,温度越高弹簧强度越强,外力导致有序,温度导致无序;而普通弹簧,力反比于温度,温度愈高弹性愈弱。根据上面的计算,可进一步估计出单个聚合物分子片段间的作用能约为kT,比原子或分子间作用能(几电子伏特)小得多,这正是软物质“软”的根源。需要说明的是,熵力是统计意义下的相互作用,并非是组成单元间存在的实际相互作用。
图2 排空效应示意图
排空(depletion)效应本质上也是一种熵作用。一些日常体验会使我们对排空效应有直观理解∶在舞场跳舞时,不跳舞的人总是靠墙站成一圈,以便给跳舞者留出更大的活动空间;要在停车场内停最多的车,并使车辆进出自由,最好的办法是将汽车停放整齐。为了方便表述,考虑有两种大小不同颗粒的软物质系统,用图2来说明排空效应。图2(a)中小球运动时,小球球心可进入大球外与小球半径尺寸相当的阴影范围。两大球靠近或大球靠器壁时,图2(b)中的红色区域内小球无法进入,使小球在系统中运动的总空间增大,系统可以出现更多的微观组态,系统的总熵增加。增加的体积为图2(b)红色区域,称为排空区。造成大球靠近或靠器壁的作用似乎是一种力,称为排空力。实际上,即使是同样大小颗粒的体系,一部分颗粒的有序或靠器壁排布,均有利于其他颗粒运动空间增大,从而使得系统微观组态数增多。这种排空效应导致了许多软物质体系出现自组织行为。而排空效应中驱使颗粒运动的实际作用力,在胶体体系是分子的布朗运动产生的随机碰撞,在颗粒物质中是外加振动。
体系如果具有附加自由度,例如由棒状分子构成的体系除去分子质心的平动自由度外,还附加有分子指向自由度,这种体系微观组态比球状分子体系的微观组态多,总熵大。对于具有附加自由度的体系,往往在一定条件下,出现分子规整排列时,体系的总熵反而增大的“奇怪“现象。这是因为体系以取向自由度所贡献的熵减小,换来其平动自由度所贡献的熵增大,体系总熵比分子不规整排列时还要大,例如液晶中棒状液晶分子的有序排列、生物膜系统双亲分子极性头的趋水排列等。这种自组织的现象,称为熵致有序。在纳米技术中利用熵致有序效应,可制备所需结构的材料,如光子晶体等。图3所示的是丝状肌动蛋白分子与正离子脂质双层膜络合物自发组装而成的一种微管结构,也是一种熵致有序效应,这种结构有可能用于制备体内治疗的药物输送囊[16]。
图3 丝状肌动蛋白与正离子脂质体络合物自组装成的“三明治”微管示意图。图中蓝色部分为丝状肌动蛋白单层,黄色部分为脂质双层膜(本图取自文献[16])
自然界自发产生的自组织(装)现象随处可见,人们也可利用自组织(装)制备特殊结构材料。因此,我们必须了解自组织(装)起源的原理和规律。上面我们仅给出了熵作用的原理性描述,熵作用的物理图象清楚,但具体计算则很困难。特别对于许多实际体系,情况十分复杂。例如,胶体中的颗粒可能有各种尺寸和形状,还可能包含其他相互作用力。而生命体系则更复杂,如细胞内充满了聚合物、胶束、离子以及棒状和管状结构等。在这些体系的自组织(装)过程中如何考虑熵作用则是困难的问题。此外,还存在微相分离、张力和动理学效应的影响及其共同作用。因此,要深入了解自组织(装)原理和过程,特别是生命现象中的自组织(装),我们还有很长的路要走。
软物质体系中组成单元的体积分数较高时,体积分数对软物质的行为有至关重要的影响。1968年Hoover和Ree[17]通过对硬球体系的理论计算,得到如下结果∶随着硬球颗粒体积分数φ的增加,将发生从液态到固态的相变。如图4所示,当φ=0.494时,颗粒由无序开始变成有序;达到φ=0.545时,成为固体;φ=0.74时为密堆积晶体。
图4 体积分数引起相变的示意图
实际问题并非如此简单。例如,玻璃是无序固体,液体也是无序态,都存在原子(或分子)间的相互作用。在常温下,玻璃不能像液体那样流动。当玻璃熔化后则可流动,原因是什么这仍是困惑物理学家的问题。而软物质体系,如颗粒物质、胶体和聚合物等,也存在体积分数效应。在日常生活中,堵塞现象也到处可见,如血管堵塞、交通堵塞以及在管道输运中各种堵塞等。有些人提出,这是在体积分数足够高时发生的堵塞(Jamming)引起的非平衡相变。图5为示意堵塞引起相变的相图,这里假设结构单元间无相互作用[18]。假如结构单元间存在相互作用,相图则更为复杂[19]。
图5 堵塞引起相变的相图
从图5可知,若要保持良好的流动状态,避免或消除堵塞,可通过多种办法实现。对于玻璃,可用升高温度使其熔化的方法,这是因为高温下分子热运动可减小堵塞的作用。在颗粒流或交通流中存在稀疏流(自由流)、密集流和堵塞三种状态,完全由颗粒体积分数决定[20]。挤牙膏或胶水等则是通过应力改变堵塞态。因此,使堵塞变为流动的方法是减小体积分数或通过外界作用(温度、振动、应力等)。
然而,上述的“堵塞“引起的相变仍是一个开放的问题。不同体系的“堵塞”态与流动态的动力学是否相同?在颗粒、聚合物、胶体或泡沫等体系中通过外加切变力,是否与在玻璃体系增高温度等效?是否可用一个等效温度来表述软物质体系堵塞引起的相变多尺度和不同形状结构单元组成的体系如何描述?这些问题还有待进一步研究。而且,解释这些现象的动力学相变理论,目前还相当不完善。
很多实际软物质体系,如膜、表面活性剂、微流体以及大量生命物质等,均存在界面或受限于小空间,且多种尺度、多种软物质形态共存。体系影响因素更多,行为更为复杂,不但有软物质自身的运动,还有微观层次的物理和化学相互作用。目前的研究工作多数针对具体对象进行,或对较简化的体系进行实验研究和计算,这里不再详述,其基本原理可参看我们所主编的《软物质物理学导论》[15]第二篇中有关论述。
颗粒物质是自然界、日常生活及生产和技术中普遍存在的一类离散态物质。颗粒物质与其他软物L质体系的主要区别是其尺寸较大,一般大于1 μm,其势能比kT大1012倍以上,因而颗粒体系中温度作用可忽略不计,即相当于处在kT=0的状态。颗粒体系能量会通过与其他颗粒的摩擦和碰撞而耗散,呈现许多奇特的运动行为。目前对颗粒物质的运动规律及其物理本质的认识还很不深入,即使对静态颗粒物质,也不能给出表述其状态的合适方程。de Gennes认为,这一领域几乎每一件事都尚待理解[21]。L. Kadanoff则表示,不能用普通流体力学方程描述颗粒物质,它的丰富奇特行为没有得到很好认识[22]。关于颗粒物质的一般介绍可参看文献[23]。
简单流体为牛顿流体,任何切变力均可引起流动,流动性质用粘滞性来描述。固体的弹性形变和外加力间关系则通常用模量来描述。软物质既不同于液体,也不同于固体,通常表现为非牛顿流体性质,切变强度与切变速率有关。
软物质常常呈现出新奇的流动行为,使人们很难理解其原因。湍流减阻现象就是一例。在液体湍流状态,添加百万分之几的聚合物就可使液体流动阻力下降约一半,用这种方法可使消防救火时水喷射的距离大大提高。聚合物似乎发生了“线团-伸展相变”,能阻止湍流状态出现的耗散[5]。而在聚合物流体中,分子的相互缠结强烈地抑制着流动,施加剪切作用可使流动加快,即剪切变稀效应。Edwards和de Gennes等人给出了称之为“蛇行”(reptation)运动概念来解释聚合物流变原理[11,24]。在悬浮液发生流动时,运动行为更为复杂。一个悬浮颗粒的运动会因附近其他颗粒的存在而受到扰动,流动行为与湍流很相似。然而,对于此种运动方式的理解还不如对湍流的认识多,既提不出一个类似雷诺数的量来表述向混沌的过渡,也提不出令人信服的渐近标度假设[4]。
从上面所列举的软物质物理的一些基本问题可知,软物质物理总体上还是处于发展的初步阶段,de Gennes在评述颗粒物质时说,目前对其认识的程度只“相当于20世纪30年代对固体物理的认识”[22]。尽管对软物质物理的一些分支的认识也许相对深刻一些,但与目前人们对“硬物质”的认识相比,软物质物理无疑仍然是一个充满诱人奥秘尚待挖掘的宝库。
软物质物理涉及的领域广泛,我国在软物质物理研究的一些方面已有一定基础,但总体来看在深度和广度上都与国际水平有较大差距。主要表现为:软物质物理研究单位和人员少;研究领域小,有些基本空白;实验工作薄弱;在国际上影响不大。其原因主要是对软物质物理学科发展的意义认识不足,受传统观念的束缚和对基础研究重视不够,过多的人员集中于一些热门技术层面和追求短期效果的研究上。对软物质领域研究的支持和引导不够。
建议大力加强软物质物理学科的宣传,支持举办更多的软物质物理讲习班和学术活动;提倡在国内主要大学物理系开展软物质物理研究,开设软物质物理课程;有关部门应加大对软物质物理研究的支持强度,吸引更多物理学家投入软物质物理研究;建立软物质物理与化学、生命和材料科学跨学科领域的合作机制;加强国际交流与合作。
应重视加强下列方向的研究∶软物质中基本物理问题的研究,例如胶体和聚合物动力学和统计物理规律;自组织(装)的起源研究,如熵、排空效应、堵塞效应等;与水相关的软物质问题;界面和受限状态的相关问题;软物质在外场作用下的运动变化规律;颗粒物质运动规律,及与灾害相关的问题;生命软物质体系;软物质流变学。
同时需加强软物质物理与其他相关学科的协同发展∶软物质物理与生命科学和化学的切实合作;加强软物质物理研究与材料科学,特别是纳米材料研究的合作;促进同步辐射、中子散射等实验方法用于软物质研究。
软物质在自然界、生命体系、日常生活和工业技术中普遍存在,是一类具有自身特殊运动规律的物质形态。软物质物理已成为物理学新分支学科,是21世纪物理学发展的重要前沿方向,在国际上受到广泛重视。软物质物理是物理学与化学、生命科学及材料科学,以及很多技术和工程紧密联系的重要界面,也与社会的需求及人们的日常生活休戚相关。软物质的许多基本问题向物理学提出了新的挑战,软物质物理使凝聚态物理学的基础研究扩展到更为丰富多彩的新疆界,成为21世纪物理学发展的重要新起点。
补 记
近十几年来,国际物理学界对软物质物理的研究发展很快,国内物理、化学、力学界也开始关注软物质研究。然而,我国凝聚态物理领域从事软物质研究的比例还很小,与其他一些学科相比,相当不平衡,软物质物理的若干领域没有得到物理学界应有的关注,形成这种状况的原因值得深入思考。人们往往习惯于在原有的知识背景和比较成熟的框架中进行工作。实际上。物理学科正是在不断地推陈出新中发展起来的。我们应该提倡在认识不清楚问题中去选题,大家做不同的事,而不是很多人聚在一种方向上做类似的事,软物质物理就是认识不清楚的领域之一。考虑到这一点,我们写了这篇文章,根据自己在研究中的体会,概述了软物质物理的内容、重要性及现存问题,希望能在宣传和推动我国软物质物理研究发展中起点作用。
陆坤权 刘寄星
2012年3月1日
《物理》50年精选文章
我对吴有训、叶企孙、萨本栋先生的点滴回忆 | 《物理》50年精选文章
国立西南联合大学物理系——抗日战争时期中国物理学界的一支奇葩(Ⅰ) | 《物理》50年精选文章
国立西南联合大学物理系——抗日战争时期中国物理学界的一支奇葩(Ⅱ) | 《物理》50年精选文章
原子核裂变的发现:历史与教训——纪念原子核裂变现象发现60周年 | 《物理》50年精选文章
回顾与展望——纪念量子论诞生100周年 | 《物理》50年精选文章
中国理论物理学家与生物学家结合的典范——回顾汤佩松和王竹溪先生对植物细胞水分关系研究的历史性贡献(上) |《物理》50年精选文章
中国理论物理学家与生物学家结合的典范——回顾汤佩松和王竹溪先生对植物细胞水分关系研究的历史性贡献(下) |《物理》50年精选文章
为了忘却的怀念——回忆晚年的叶企孙 | 《物理》50年精选文章
从分子生物学的历程看学科交叉——纪念金螺旋论文发表50周年 | 《物理》50年精选文章
美丽是可以表述的——描述花卉形态的数理方程 | 《物理》50年精选文章
为答谢广大读者长期以来的关爱和支持,《物理》编辑部特推出优惠订阅活动:向编辑部连续订阅2年《物理》杂志,将获赠《岁月留痕—<物理>四十年集萃》一本。该书收录了1972年到2012年《物理》发表的40篇文章,476页精美印刷,定价68元,值得收藏。
详情请联系编辑部:
(010)82649029,82649277
physics@iphy.ac.cn
目录
2.5埃分辨率胰岛素晶体结构的研究
中子弹是怎么一回事 ?
理论物理研究中应当正确对待的几个问题
晶体缺陷研究的历史回顾
相变和临界现象(Ⅰ)
相变和临界现象(Ⅱ)
相变和临界现象(Ⅲ)
我对吴有训、叶企孙、萨本栋先生的点滴回忆
凝聚态物理的回顾与展望
五次对称与准晶态
从高能物理学的发展看北正、负电子对撞机
声学与海洋开发
扭摆的故事一一简单的仪器与重要的成果
对21世纪物理学的发展的一点猜想
模型在物理学发展中的作用
国立西南联合大学物理系一一抗日战争时期中国物理学界的一支奇葩(Ⅰ)
国立西南联合大学物理系一一抗日战争时期中国物理学界的一支奇葩(Ⅱ)
原子核裂变的发脱历史与教训一一纪念原子核裂变现象发现60周年
我国半导体物理研究进展
回顾与展望一一纪念量子论诞生100周年
我的研究生涯
北永SARS疫情走势的模型分析与预测
中国理论物理学家与生物学家结合的典范一一回顾汤佩松和王竹溪先生对植物细胞水分关系研究的历史性贡献 ( 上 )
中国理论物理学家与生物学家结合的典范一一回顾汤佩松和王竹溪先生对植物细胞水分关系研究的历史性贡献( 下 )
为了忘却的怀念一一回忆晚年的叶企孙
从分子生物学的历程看学科交叉一一纪念金螺旋论文发表50周年
我与物理
美丽是可以表述的一一描述花卉形态的数理方程
外公丰子恺先生鼓励我学物理
爱因斯坦 :邮票上的画传
转瞬九十载
一本培养了几代物理学家的经典著作一一评《品格动力学理论》
介电体超晶格的研究
我国磁约水聚变研究的早期历史
趣谈球类运动的物理
朗道百年
以人之语 . 解物之道
软物质物理一一物理学的新学科
宇宙学这 80 年
熵非商一一the Myth Of Entropy
物理学中的演生现象
书山有路勤为径,悟后起修真功夫一一访赵凯华教授
普渡琐记一一从 2010 年诺贝尔化学奖谈起
我的学习与研究经历
后记