高层建筑结构设计创新与规范发展
文/魏琏、王森
摘 要
对近年来深圳高层和超高层建筑出现的一些新结构体系和设计难点进行介绍和讨论,如结构受力与非受力位移、结构层侧向刚度计算方法、局部外框梁缺失的框筒结构、特大高宽比超高层结构、一向少墙高层剪力墙结构、多塔连体结构、带斜柱转折柱高层结构、带环带桁架巨型结构、大震设计方法等,上述问题的出现和解决体现了高层建筑结构设计中的创新,也为规范的修订提供了内容。
00
引 言
近年来深圳大量涌现各类高层、超高层建筑,结构设计上遇到诸多难点和新问题,这些问题的解决有时会与现行规范的规定相冲突,或规范上还没有相关的规定和内容。因此,在执行现行规范进行设计的过程中需进行必要的研究、创新、补充与发展。
01
高层建筑结构受力和非受力位移
建筑结构的层间位移由受力位移与非受力位移两部分组成,其中由竖向墙柱底端产生转角使结构上部产生的刚性位移为非受力位移。高层建筑最大层间位移一般出现在结构中上部,此时非受力层间位移占比很大,受力层间位移占比很小;在结构底部嵌固端,首层的层间位移即为其受力位移,非受力层间位移为零。《高层建筑混凝土结构技术规程》(JGJ 3—2002)[1](简称老高规)及《高层建筑混凝土结构技术规程》(JGJ 3—2010)[2](简称新高规)中层间位移角限值很小,为1/500,而深圳地区50年一遇的基本风压为0.75kN/m2,风荷载较大,使得结构的层间位移角计算值往往不满足规范要求。
深圳地王大厦(图1)建筑高度368m,69层,横向高宽比达8.8。结构的计算第一周期为6.19s(横向)、5.69s(纵向),结构横向在100年重现期风作用下的顶点位移角为1/373,最大层间位移角为1/274(57层)。分析表明,楼层的层间位移角由受力层间位移角和非受力层间位移角两部分组成,本工程最大层间位移角所在楼层即57层的筒体剪力墙的受力层间位移角仅为1/28 195,小于层间位移角限值1/274的1%[3]。深圳京基100(图2)紧邻深圳地王大厦,地下3层,地上100层,建筑高度441.8m,结构平均高宽比达10.2。50年一遇风荷载作用下的楼层最大层间位移角大于规范限值1/500,经分析最大层间位移所在楼层的剪力墙、框架柱的受力层间位移角仅为层间位移角的0.7%~1.8%。从以上工程实践可以得出如下结论:风荷载作用下层间位移角即使较大,结构安全性也无问题。
图1 深圳地王大厦
图2 深圳京基100
加拿大Western Ontano 大学进行的深圳地王大厦风洞试验结果表明,10年重现期顶点最大加速度为:X向23.5cm/s2,Y向11.0cm/s2,径向(扭)13.9cm/s2;深圳京基100建成后连续5年测得其在最大风速下的瞬时峰值加速度为12.3cm/s2。以上两个工程加速度均满足舒适度限值25cm/s2和15cm/s2的要求。
以上案例表明,老高规、新高规关于风荷载作用下层间位移角限值的规定似偏严,宜适当放松。
02
特大底层建筑的结构层侧向刚度计算
老高规、新高规及《广东省实施〈高层建筑混凝土结构技术规程〉(JGJ 3—2002)补充规定》(DBJ/T15—46—2005)[4](简称2005版广东高规),关于结构层侧向刚度的计算公式讨论如下。
老高规关于层侧向刚度的定义为:
Ki=Vi/Δi
(1)
层侧向刚度比为:
(2)
式中:Ki,Ki+1分别为i,i+1层的层侧向刚度;Vi,Vi+1分别为i,i+1层的层剪力;Δi,Δi+1分别为i,i+1层的水平位移。
中下部楼层层侧向刚度比近似为:
底层层侧向刚度比近似为:
当底部楼层层高很大时,层侧向刚度比明显偏小。
假设层侧向刚度为:
Ki=Vi/θi=Vihi/Δi
(3)
式中:θi为i层的层间位移角;hi为i层的层高。
中下部楼层层侧向刚度比:
底层的层侧向刚度比为:
式(3)与2005版广东高规中表3.3.1-1关于层侧向刚度不规则定义中所列的计算公式一致。当底部楼层层高很大时,明显夸大了底层的侧向刚度,随底部层高增大,底层层侧向刚度反而增大。
从以上讨论可以看出,老高规和2005版广东高规的计算结论不一致,让使用者感到困惑。新高规及广东省《高层建筑混凝土结构技术规程》(DBJ 15—92—2013)[5](简称2013版广东高规)均采用了2005版广东高规的公式,但对结构底部嵌固层规定首层与其上层的层侧向刚度之比不宜小于1.5,这是对2005版广东高规计算结果偏大的修正。
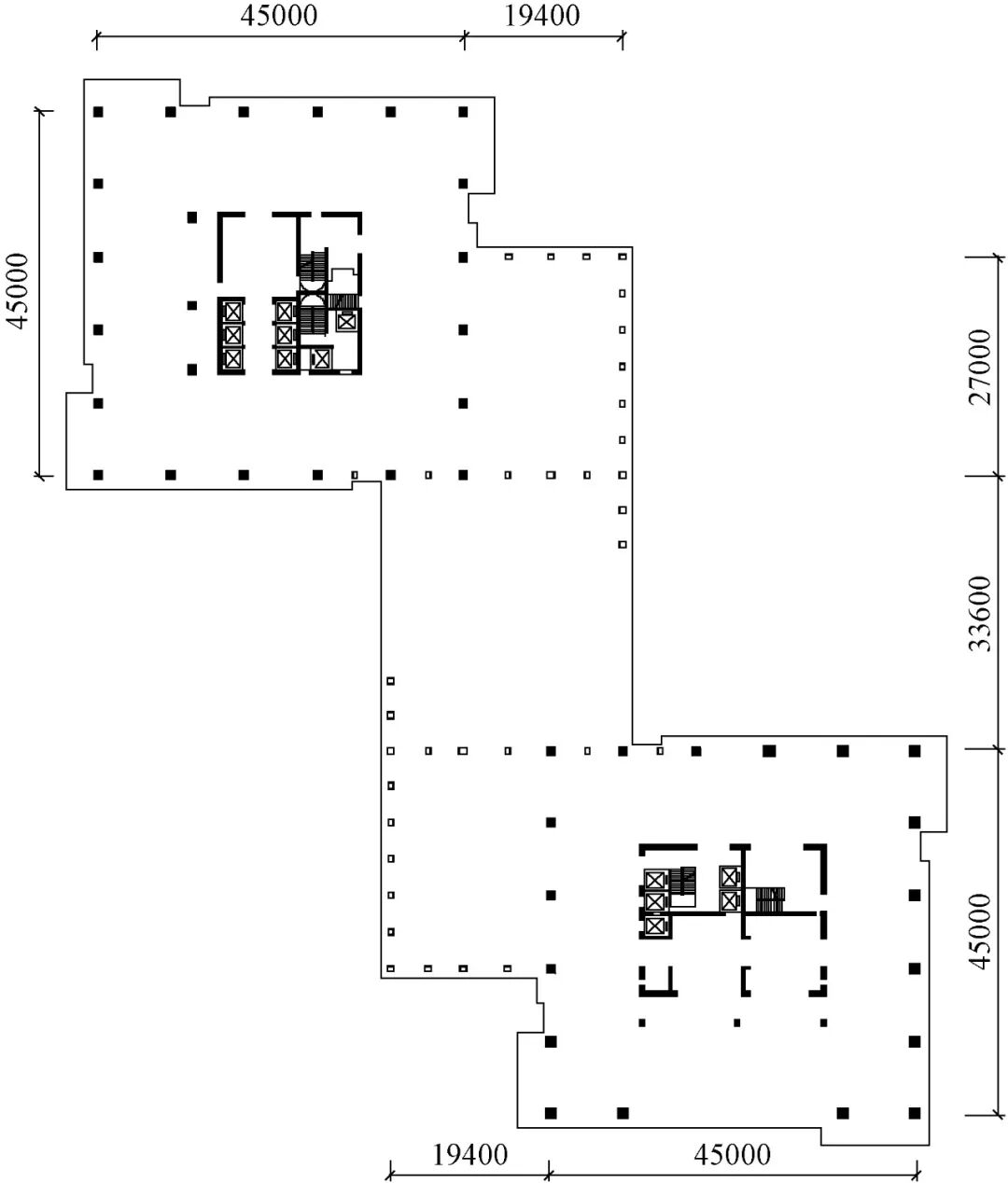
前海国际金融中心T1塔楼(图3)地面以上54层,建筑高度249.03m,屋面以上幕墙高度11.7m,标准层平面沿建筑四周每边布置2根巨柱,共8根巨柱,型钢混凝土巨柱沿竖向呈内“八”字形倾斜,柱轴线距离由底层26.6m减小至顶层约22.6m,巨柱间不设小柱,边框梁跨度大。标准层层高为4.50m,首层层高为19.50m,8,19,30,41层层高均为5.10m。分别采用老高规、2013版广东高规及文献[6]计算得到的结构侧向刚度见图4。
图3 前海国际金融中心T1塔楼
图4 三种方法计算的侧向刚度对比
从图4可以看出:1)高层建筑结构的楼层侧向刚度除底层(底部为嵌固端)外,呈现“上小下大”趋势;2)设置环带桁架和伸臂桁架的19,41层的侧向刚度明显增大,文献[6]计算的楼层侧向刚度能明显反映这一现象,老高规计算的楼层侧向刚度对这一现象反映不明显,2013版广东高规计算的楼层侧向刚度偏小;3)对于层高5.10m的8,30层,该两层层高变大而导致楼层侧向刚度变小,文献[6]方法计算的楼层侧向刚度能反映这一特点,而2013版广东高规与老高规计算的楼层侧向刚度均未能很好反映这一特点;4)对于层高19.50m的首层,老高规和文献[6]方法计算的侧向刚度偏小,而2013版广东高规计算的楼层侧向刚度反而偏大甚多,显然是不够合理的。由此可见,新高规及2013版广东高规关于结构层侧向刚度的计算方法尚需进一步研究改进。
03
框架-核心筒结构外框梁缺失
新高规第9.2.3条规定:“框架-核心筒结构”的周边柱间必须设置框架梁。
新世界中心塔楼地面以上53层,建筑高度219m,采用框架-核心筒结构体系,裙房结构平面布置见图5。由于建筑师对建筑空间、美观等要求非常高,在平面东南角部大楼入口处有一高31.5m的无侧限约束角柱。这一设计不符合新高规关于框架-核心筒结构的周边柱间必须设置框架梁的规定,设计时必须进行充分的结构安全性论证。
图5 新世界中心裙房结构平面示意图
框架-核心筒结构外框梁缺失问题的本质是:1)梁缺失致该榀框架侧向刚度减小;2)核心筒与外框架剪力重分配;3)框架柱内力出现重分布;4)仅一侧出现梁缺失时,结构会产生一定扭转;5)柱两端梁缺失而出现跃层柱,且柱很高时,柱稳定性应满足规范要求(含大震作用)。由此看来,以上问题在技术上都是不难解决的,当设计有充分论证且采取适当加强措施时,框架-核心筒结构外框梁缺失应该是可行的[7-8]。
04
斜柱、外凸转折柱
斜柱底端对水平楼盖构件产生很大集中拉力,外凸转折柱的转折处楼层产生很大集中拉力,并波及上下相邻楼层的受力,相关的结构设计方法在新高规中均缺少这方面规定和内容。设计时需要控制重力荷载及风荷载、小震作用下,楼盖构件的混凝土主拉应力不超过强度标准值。解决竖向荷载下楼板较大拉应力的措施有抗、放或抗放结合等方式。
深圳华侨城大厦塔楼地面以上59层,建筑高度277.4m,屋顶以上构架最高处高约300m,采用“带斜撑巨柱框架-核心筒”结构形式。因建筑功能要求,建筑平面呈不规则的六边形,核心筒位于平面中部,也呈不规则的六边形,在平面角部布置6根巨柱,东西侧4根巨柱随建筑边缘而倾斜,南北侧巨柱从下至上垂直。东侧建筑立面由底层至30层向外倾斜约13°,而30层至顶层向内倾斜约13°。西侧与东侧类似,倾斜约8°,见图6。该建筑巨柱倾斜并有转折,平面不规则,水平两方向的抗侧能力差别大,外框架中不同类型构件之间传力复杂[9]。
图6 深圳华侨城大厦
平面东侧两根巨柱在28层合并为一根,又在31层再次分离为两根,巨柱形成较大的外凸转折,使这些楼层在竖向标准荷载作用下即产生较大的集中水平拉力,结构有一定水平变形。图7为竖向荷载作用下28层楼盖主拉应力分布。
图7 28层竖向荷载作用下楼盖主拉应力分布/(N/mm2)
有关斜柱及外凸转折柱的楼盖设计内容显然可以填补新高规中高层建筑结构楼盖面内受力设计规定的不足。
05
特大高宽比超高层结构
5.1 新高规的有关规定
新高规第3.3.2条规定了钢筋混凝土高层建筑结构适用的最大高宽比,见表1。
钢筋混凝土高层建筑结构适用的最大高宽比 表1
新高规第11.1.3条规定了混合结构高层建筑适用的最大高宽比,见表2。
混合结构高层建筑适用的最大高宽比 表2
新高规第9.2.1条规定:“核心筒的宽度不宜小于筒体总高的1/12”。
美国已建成高宽比超过15的超高层结构,如纽约Central Park Tower,地面以上98层,高472m,高宽比约15.5;纽约220 Central Park South,地面以上65层,高290m,高宽比约18。深圳目前高宽比最大的结构高250m,高宽比达11,核心筒高宽比达35,远超新高规规定。
结构高宽比主要由结构刚度确定。超高层结构实现特大高宽比的措施为:1)控制结构非受力位移,使其不影响结构承载力要求;2)风荷载作用下结构的最大层间位移限值宜适当放松;3)采用黏滞阻尼器及TMD(调频质量阻尼器)、TLD(调频液体阻尼器)等减振措施满足结构风振舒适度要求。
5.2 工程案例
深圳恒裕后海金融中心B,C两栋塔楼的建筑高度均接近250m,高宽比接近11,核心筒高宽比达35。经过大量分析研究,设计时突破新高规最大层间位移角限值,在避难层增设黏滞阻尼器来提高结构舒适度[6]。解决了建筑场地受限制的问题,最大限度地满足建筑使用功能、结构安全与使用舒适度。图8为标准层结构平面图。该项目目前主体结构已完成施工,正进行安装阻尼器前后的结构阻尼比测定工作。有关抗风减振阻尼器的内容,新高规亟待补充与完善。
图8 深圳恒裕后海金融中心标准层结构平面图
06
一向少墙高层剪力墙结构
建筑使用功能要求平面一向尽量少墙,追求采光、通风及景观的最大化,因此出现了新高规未包含的一种结构形式,即一向少墙高层剪力墙结构。对于这种新结构形式,设计人员对其结构形式和受力有许多疑问,很显然少墙方向的结构体系不再是剪力墙结构,当少墙方向的梁与横向剪力墙的墙端能形成框架体系时,可按框架-剪力墙结构处理,而横向剪力墙的面外抗剪、抗弯承载力也不能作为主要抗侧力,且现行软件均未具备计算墙面外承载力的功能。
华润银湖蓝山塔楼地面以上44层(顶部两层为构架层),建筑高度144.3m,结构高宽比为7.1,标准层结构平面图见图9。从图中可以看出,平面X向布置的剪力墙远少于Y向布置的剪力墙,X向不属于剪力墙结构,为少墙结构。
图9 华润银湖蓝山塔楼标准层结构平面图
对于一向少墙高层剪力墙结构,设计时应遵循以下设计概念[10]:1)少墙方向宜尽量多设置剪力墙;2)非少墙方向宜限制一字墙的设置,墙端部宜设置端柱或翼墙;3)控制横向剪力墙的面外抗侧作用,减小扁柱楼板框架承担的剪力。
一向少墙高层剪力墙结构的组成及结构体系判别方法如下:少墙方向结构由剪力墙、梁柱框架、扁柱楼板框架三部分共同抵抗水平荷载作用,即:1)X向仅能布置的少量剪力墙;2)X向梁和柱(含剪力墙端柱)组成的框架;3)Y向墙和楼板组成的扁柱楼板框架。少墙方向结构体系基本属于框架-剪力墙结构。
一般采用控制扁柱楼板框架的剪力比的方法,将一向少墙高层剪力墙结构分为两种框架-剪力墙结构体系,具体如下:1)当扁柱楼板框架的底层剪力占比小于10%时,应按框架-剪力墙结构进行设计,剪力墙及梁柱框架承担全部水平地震作用;2)当扁柱楼板框架的底层剪力占比不小于10%时,除按新高规中框架-剪力墙结构承担楼层全部地震作用进行设计外,尚应对扁柱楼板框架的抗震承载力进行验算,适当提高剪力墙竖向分布钢筋配筋率。
07
多塔连体结构
7.1 新高规的有关规定
新高规10.5.1条规定:“连体结构各独立部分宜有相同或相近的体型、平面布置和刚度;宜采用双轴对称的平面形式。7度、8度抗震设计时,层数和刚度相差悬殊的建筑不宜采用连体结构”。新高规10.5.4条规定:“连接体结构与主体结构宜采用刚性连接。刚性连接时,连接体结构的主要结构构件应至少伸入主体结构一跨并可靠连接;……。”以上规定有时满足不了当前深圳高层连体结构发展的需要。
7.2 多塔连体结构形式
1)各单塔高度、刚度差异显著。2)塔楼与连接体为斜向连接。3)塔楼由双塔发展为三塔或以上。4)塔楼伸出长悬臂支托连接体。5)塔楼与连接体连接方式采用全刚性连接、全柔性连接或刚性连接与柔性连接配合使用(刚性连接指塔楼与连接体连接处不产生相对位移;柔性连接指连接处可产生相对位移)。
7.3 设计方法
1)各单塔结构宜各自能单独成立,其结构指标即构件承载力均能满足规范要求;2)连接体宜采用钢结构;3)刚性连接端连接体主要水平受力构件应伸入塔楼1~2跨,当为斜向连接时,伸入塔楼部位应形成水平桁架传力体系,将力传至筒体或可靠部位;4)悬臂桁架支托连接体时,桁架根部宜可靠伸入塔楼,控制悬臂端变形及舒适度;5)刚性连接端塔楼连接体的连接部位的梁、柱、剪力墙等构件应适当加强;6)多塔全刚性连接会造成各塔受力相互制约干扰,可能造成某塔内力激增,构件承载力应满足性能目标要求,在一定情况下,强塔可起到帮助弱塔的作用;7)全柔性连接可释放连接处的剪力,使各塔能相对独立受力,设计应控制连接支座的位移量及复位能力;8)根据不同建筑功能、结构受力特点,采用刚性连接和柔性连接相配合的方法也是可行的。
7.4 工程案例
金地中心地面以上有A,B两个塔楼,其中A 塔楼建筑高度约200m,共45层,B塔楼建筑高度约159m,共36层,两个塔楼均采用框架-核心筒结构。项目在B塔楼顶部两层设连接体,连接体两端分别从A,B塔楼悬挑19.4m,悬挑端与另一端(塔楼柱)跨度约60m。该连接体采用全刚性连接。连体的楼层结构平面见图10。
图10 金地中心连体楼层结构平面
岁宝国展中心地面以上有A,B,C三个塔楼,其中A塔楼为建筑高度约200m的54层公寓,B塔楼为建筑高度约156m的42层公寓,C塔楼为建筑高度约252m的52层办公楼,三个塔楼均采用部分框支-剪力墙结构体系。项目在A塔楼41层处设置跨度约18m的2层连接体与B塔楼连接,在C塔楼31层处设置跨度为18~28m的2层连接体与B塔楼连接。2个连接体的高度相同。由于各塔楼结构刚度差异很大,采用刚性连接将导致结构受力复杂,某些构件受力明显不利,设计采用全柔性连接或A,C塔楼与B塔楼为柔性连接,可减小刚接带来的不利受力影响。连体楼层结构平面图见图11。
图11 岁宝国展中心连体楼层结构平面图
08
凹凸不规则弱连接楼盖高层结构
为了建筑采光、通风及景观效果良好,出现了凹凸不规则、弱连接楼层的高层结构。根据深圳近年来这类结构的设计经验和研究成果,总结出以下设计要点。
(1)平面凹凸不规则结构由中心区结构及沿不同方向伸出的单肢结构,通过楼盖整体连接而成。
(2)单肢结构通过中心区结构连成整体共同抵抗风荷载和水平地震作用,结构的高宽比宜按单肢伸出长度在抗侧方向的投影总长度计算。
(3)中心区外周的围合剪力墙及内部剪力墙承担主要的抗侧作用。
(4)单肢结构多为单向布置的剪力墙,宜按一方向少墙的剪力墙结构进行结构体系论证和验算。
(5)应确保弱连接楼盖区域(含单肢的根部区)的梁板满足抗弯、抗剪承载能力。
(6)宜控制伸出单肢的长宽比,满足楼盖平面角部的舒适度。
深圳某超高层住宅建筑高度149m,共45层,4层设置梁式转换层,采用部分框支-剪力墙结构形式。标准层结构平面布置图见图12。对由电梯楼梯间等围合成的平面中心区外伸出的三个单肢结构的受力情况进行了详细分析,并对其按一向少墙高层剪力墙结构进行结构体系论证和验算,同时对连接中心区和三个单肢间的薄弱楼板受力进行详细分析,验算了楼盖的承载能力,确保结构安全。
图12 深圳某超高层住宅标准层结构平面图
09
巨型结构环带桁架
主要抗侧力结构中的环带桁架+伸臂桁架一般设于避难层。环带桁架的主要作用为承受其上各楼层重力柱传来的竖向荷载,同时起到增大结构侧向刚度,与核心筒分担楼层剪力的抗侧作用。实际工程中伸臂桁架与环带桁架视需要确定是否同层设置:可单独设置环带桁架;当必须设置伸臂桁架时,可同时设置环带桁架。环带桁架可采用单榀与双榀布置,采用单榀环带桁架需考虑桁架偏置对巨柱产生的不利影响;采用双榀环带桁架,宜掌握双榀环带桁架各自的主要功能与受力特点,论证采用双榀环带珩架的必要性及有效性。表3列出部分超高层建筑环带桁架设置案例。新高规对环带桁架的相关设计方法宜给出相应规定。
部分超高层建筑环带桁架设置案例 表3
10
大震设计方法
大震设计方法应包含以下内容:1)大震阶段结构进入塑性,计算方法应反映结构构件弹塑性状态的受力与变形;2)验算主要抗侧力竖向构件抗剪、抗轴压承载力,使其满足安全要求,控制结构耗能构件的塑性变形不超限值。
目前较通用的动力弹塑性软件:国外有PERFORM-3D,ABAQUS,MIDAS等,国内有PBSD,PKPM,YJK,SAUSAGE及佳构等。有些程序尚不能提供主要抗侧力构件的抗剪承载力和抗轴压承载力的验算。不同软件的主要构件内力计算结果差异偏大。而当剪力墙出现全截面受拉时,现行规范处理方法尚不完善。
采用大震等效弹性法可作为现行动力弹塑性分析方法的补充,但构件刚度应根据弹塑性分析的构件损伤状态进行调整,等效弹性分析法计算的基底剪力应与相应静力推覆或动力时程弹塑性分析的计算结果基本一致。
11
结 语
现行规范是解决高层建筑设计的基本依据,但各种新型建筑结构的出现,带来了结构设计众多难点,说明现行规范尚需进一步研究、创新、补充与发展,这有待今人不懈努力、与时俱进,为丰富和发展规范做出贡献!
参考文献
△ 向上滑动阅览
作者简介
魏琏,国务院特殊津贴专家,深圳市工程勘察设计功勋大师,结构工程博士生导师,国家一级注册结构工程师,英国结构工程师学会资深会员。住房和城乡建设部科学技术委员会超限高层建筑工程技术专业委员会顾问委员,全国高层建筑抗震设防专项审查委员会委员,广东省超限高层建筑工程抗震设防审查专家委员会副主任,中国建筑学会高层建筑结构委员会及抗震委员会委员。现任深圳市力鹏建筑结构设计事务所、深圳市力鹏工程结构技术有限公司董事长、首席总工程师。
从事建筑结构和工程抗震研究、结构设计60余年,是我国第一本比较完善的抗震设计规范《建筑抗震设计规范》(GBJ11-89)及深圳市第一本高层建筑结构技术规程的主编;发表学术论文近200篇,出版专著10余本;获得国家科技进步奖2次,建设部科技成果奖4次,军队科学技术奖1次;培养硕士、博士多名。
1992年至今,在深圳负责完成多项地标性超高层建筑工程的结构顾问或设计工作,如地王大厦、京基金融中心、华侨城大厦、证券交易广场、新世界中心、南方博时基金大厦等;还主持或参与了多项复杂超高层项目的抗震超限专项审查会,如深圳华润总部大厦、招商银行全部总部大厦、上海中心、上海环球金融中心、广州西塔、广州塔等。
王森,现任深圳市力鹏工程结构技术有限公司总经理、总工程师。教授级高级工程师,深圳市工程勘察设计大师,住房和城乡建设部科学技术委员会超限高层建筑工程技术专业委员会委员,广东省超限高层建筑工程抗震设防审查专家委员会委员。负责完成深圳前海国际金融中心、恒裕后海金融中心、神舟数码总部大楼、国际艺术博览交易总部、金地中心等复杂超限高层建筑的设计或咨询工作。
作为主编和主要参编人编制了广东省和深圳市的五部地方标准以及两个设计技术指引,发表学术论文50余篇,出版专著2本,多次获广东省、深圳市科技进步奖。
本文刊登于《建筑结构》2021年第17期,题为《高层建筑结构设计创新与规范发展》,作者:魏琏,王森,单位:深圳市力鹏工程结构技术有限公司。敬请查阅!
推荐
阅读
3.创刊50周年特约稿丨王立军大师:中美规范无梁楼盖抗冲切设计比较及无梁楼盖事故分析
5.创刊50周年特约稿丨郁银泉大师:装配式钢板剪力墙结构抗震性能研究综述
6.创刊50周年特约稿丨肖从真大师:高强混凝土装配式高层框架结构体系研究
8.创刊50周年特约稿丨王卫东大师:超高层建筑桩基础的设计与工程实践
11.创刊50周年特约稿丨张同亿:大型地震模拟振动台基础设计综述
温馨提示
1)文中部分图片来自于网络,版权归原作者及原出处所有。如涉侵权或原版权所有者不同意转载,请及时联系我们,以便立即删除。
近期关注
直播平台
学堂·订阅·查新
在线教育课程
欢迎关注微博及短视频平台
联系我们
投稿/转载:QQ:80327128;Tel:01057369042/8785
招商/合作:QQ:2099526103;Tel:01057369049/8783
订阅/发行:QQ:605811676;Tel:010-57368777
↓↓↓点击“阅读原文”免费注册“结构·云学堂”,享受海量学习资源。
你在看我吗?