以下文章来源于铁木辛柯工程设计与研究 ,作者小D、F博
杭州铁木辛柯建筑结构设计事务所(简称TongMSK)始创于1996年,由浙江大学建筑设计研究院童根树钢结构工作室发展而来。
CECS 159:2004给出的承载力计算方法基于叠加理论,考虑钢管和混凝土共同工作,不考虑钢管对核心混凝土的约束效应,将钢管和核心混凝土两者承载力进行叠加作为构件整体承载力,这种方法从理论上来说偏于安全。
再说这本GB 50936,肃穆深蓝搭配白色封面,GB二字透出无声的威严。
GB 50936-2014的计算方法基于统一理论,将钢管和混凝土总体视为一种组合新材料,在试验数据和大量数值分析的基础上,通过回归拟合得到一系列的组合材料力学性能指标,并用这些力学性能指标来计算构件承载力。
这种方法充分考虑了钢管对核心混凝土的约束效应,理论上该方法的计算结果应与构件实际承载力最为接近。
最后看这本JGJ 138,它的实施时间最晚,是不是方法最先进?
它采用的是拟混凝土法,通过将核心混凝土四周的钢管等效为纵向钢筋,将矩形钢管混凝土柱比拟为矩形钢筋混凝土柱,然后参照混凝土矩形截面偏心受压构件正截面受压承载力公式来计算构件承载力。
这种方法沿用了混凝土正截面承载力计算的基本假定,考虑钢管和混凝土协同工作,同时忽略钢管对混凝土的约束效应,理论上该方法也应偏于安全。
沉迷学习无法自拔的分割线
单向压弯荷载什么的有点复杂,小D选择先对比轴压荷载作用下的承载力计算,这种情况又可以再细分为轴压强度承载力和轴压稳定承载力的计算。
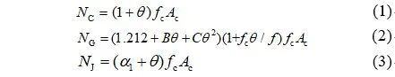
先来轴压强度承载力。为了便于对比,小D一顿操作猛如虎,把三本规范给出的公式改写成了相近的形式:
式中:NC、NG、NJ分别代表CECS 159、GB 50936、JGJ 138给出的截面轴压强度承载力;
fc为混凝土抗压强度设计值;
f为钢材抗压强度设计值;
θ=fAs/fcAc,为构件的套箍系数;
As、Ac分别为钢管面积和管内混凝土面积;
B和C为截面形状对套箍效应的影响系数,与fc和f有关;
α1为受压区混凝土压应力影响系数。
小D根据收集的29个短柱试验数据[1-2],将式(1)~式(3)的计算结果和试验结果进行比较,画出图1。
图1 轴压强度计算值与试验结果的比较
当θ≤3时,GB 50936、JGJ 138和CECS 159与试验结果比值的平均值分别为0.982、0.925、0.928,比值的变异系数分别为0.182、0.161、0.166。θ>3时,各规范对应的比值平均值分别为0.924、0.933、0.933,变异系数分别为0.048、0.036、0.036。CECS 159和JGJ 138的计算精度很接近,这跟原来预想的一样。GB 50936在θ≤3时的公式计算值最大,同时也更接近试验值,但是当θ>3之后,GB 50936公式计算值反而略小于CECS 159。
GB 50936公式考虑了套箍效应,理论上计算值应该大于CECS 159才对,这是怎么回事呢?
为了能更直观地比较GB 50936与CECS 159的区别,小D灵机一动,引入了轴压强度提高系数η=NG/NC。由式(1)和式(2)可知,给定fc和f时,η仅与θ有关。取钢材牌号Q235~Q420,混凝土强度等级C30~C60,根据工程中的常用搭配,小D画出了图2的η-θ曲线。
图2 η-θ曲线
从图中可以清楚地看到,所有情况下的曲线变化规律都一致,η随着θ的增加逐渐降低,且当θ超过3以后,η会明显低至小于1.0的水平,这意味着含钢率增大到一定程度不仅对提高柱子的轴压强度没有帮助,反而产生不利影响。在规范对钢管壁板宽厚比进行控制的情况下,这个结果明显不合理!
GB 50936虽然给出θ的取值宜为0.5~2.0,但根据条文说明的解释,这是考虑到θ值过大时,钢管壁可能较厚不经济,并不是从承载力计算角度提出的要求。而在实践中,多高层钢结构的下部楼层框架柱壁厚一般比较大,θ>2.0的情况很常见。基于上述原因,设计人员会倾向于认为GB 50936公式适用范围与套箍系数无关,但是从图2可知,当θ值较大时,GB 50936的计算方法还有待进一步的修正和完善。
算完轴压强度承载力,小D开始研究轴压稳定承载力,画出了轴压稳定系数φ与正则化长细比λn的关系曲线。JGJ 138在计算轴压稳定承载力时,引入了折减系数0.9,因此将JGJ 138的φ曲线统一乘以0.9。
图3 φ-λn曲线对比(Q355,C40)
由图3可知,CECS 159和GB 50936的φ-λn曲线在λn>0.5时基本重合;λn<0.5时,CECS 159曲线略高于GB 50936,但两者之间差距不大。当λn>0.5时,JGJ 138的曲线与前两条曲线也非常接近,但由于存在0.9的折减系数,当构件长细比很小时,JGJ 138的轴压稳定承载力最大只能取到轴压强度承载力的0.9倍。
JGJ 138的计算方法参照了《混凝土结构设计规范》(GB 50010-2010),根据GB 50010的条文说明,引入系数0.9是为保持轴压构件承载力计算与偏压构件承载力计算具有相近的可靠度,而在钢构件设计中并没有这一调整,另外两本规范也没有类似规定,后续将结合偏压承载力计算公式对该问题进行补充分析。
为了进一步比较三种方法的精度,小D又找了几篇文献[3-5],将45个矩形钢管混凝土中长柱轴压试验结果与规范方法进行对比,如图4所示。CECS 159、JGJ 138和GB 50936与试验结果之比的平均值分别为0.953、0.870和1.024,对应的变异系数分别为0.092、0.092、0.098。CECS 159和GB 50936的计算值与试验值较为接近,GB 50936计算值略有偏大;JGJ 138的计算结果最保守,若不考虑系数0.9,JGJ 138的精度与CECS 159基本相当。
图4 轴压稳定计算值与试验结果的比较
综合轴压强度和轴压稳定的对比结果,CECS 159的计算方法概念最为明确。
当混凝土强度等级不超过C50及λn>0.5时,JGJ 138与CECS 159基本一致,其他情况下的轴压承载力会稍低于CECS 159。
当θ≤2时,GB 50936的计算结果会大于CECS 159;当2<θ≤3时,如图2所示,此时钢管对混凝土的约束效应几乎可以忽略,计算结果与CECS 159相接近;当θ>3时,不建议选用GB 50936的轴压承载力计算公式。
"阅读原文"免费注册结构·云学堂
点赞
在看