楼梯设计新思路:消能减震楼梯(间)
作者:周云,广州大学教授
楼梯是建筑物的重要组成部分,承担建筑物的竖向交通功能,也是紧急情况下的疏散和逃生通道。目前工程中主要有普通楼梯和滑动楼梯两种做法,采用普通楼梯时,往往需要在整体结构计算模型中建立楼梯单元,考虑楼梯构件对整体结构的不利影响;采用滑动楼梯时,可不考虑滑动楼梯对整体结构的影响。
广州大学的周云教授长期从事消能减震技术的研究工作,将消能减震思想引入楼梯(间),给出了一条楼梯设计新思路:消能减震楼梯(间)。接下来,小编特别邀请了周云教授,就大家感兴趣的消能减震楼梯(间)的关键问题进行探讨。
Q
《建筑结构》小编:
楼梯在建筑物中非常不起眼,您是怎么想到把消能减震技术应用到楼梯上呢?
A
周云教授:
的确,楼梯在建筑物中的占比很小,大家往往容易忽视它的存在。在2008年以前,在结构设计阶段,楼梯往往以荷载的形式添加在计算模型中,并不考虑楼梯构件对整体结构的影响。2008年汶川地震发生后,我作为震害调查专家到汶川,发现楼梯构件产生不同类型的破坏,如梯板拉断、梯柱柱头钢筋拔出、梯梁混凝土压碎等。
为了尽快判断破坏原因,我立刻安排我的研究生对楼梯与结构的相互作用进行模拟分析,得出了与其它众多学者一致的结论:梯板呈“K”型等效强支撑,明显增大了楼梯间的刚度,使得楼梯间在地震作用下分配的地震剪力大于设计值,进而导致楼梯构件产生各种破坏。
所以,如何在我擅长的领域消除梯板的等效强支撑效应,成了我当时的研究重心。我研究隔震与消能减震很多年了,阻尼器发挥作用的必要条件是产生相对位移,我就想,可否让梯板和梯梁产生能由阻尼部件消化的相对位移,却不发生破坏?
这样既能消除梯板的等效强支撑效应,又能使阻尼部件发挥作用,耗散部分地震能量,保护主体结构。基于这个思路,结合楼梯的构造,我评估了金属阻尼部件、摩擦阻尼部件、粘弹性阻尼部件等多种形式的可行性,最后选用粘弹性阻尼部件作为深入研究对象。
此后,我的团队进行了大量的计算模拟分析,结果表明在楼梯设置粘弹性阻尼部件具有良好的减震效果。2013年,我正式在公众场合提出“消能减震楼梯”的概念,并给出了它的多种构造形式。一晃十多年过去了,我们对消能减震楼梯的研究已经相对透彻,应该把这种好用、可靠、便宜且性能优越的楼梯设计新思路推广开来。
Q
《建筑结构》小编:
这么看来,这种新型的消能减震楼梯优点应该非常突出,能否稍微给大家展开介绍下?
A
周云教授:
消能减震楼梯是在普通楼梯梯板与梯梁的连接处断开,在断开处设置消能减震部件,至少在一端实现梯板与梯梁的柔性连接,并采取可靠的措施防止梯板脱落。
正常使用下,消能减震楼梯与普通楼梯功能相同,起到连接建筑物上下层的作用;水平地震作用下,梯板与梯梁产生水平相对位移,消能减震部件受到剪切作用,产生剪切滞回变形,耗散一定的地震能量;竖向地震作用下,消能减震部件提供一定的竖向刚度和阻尼,减小梯板竖向振动,避免梯板下端产生剧烈的悬挑跳跃。
Q
《建筑结构》小编:
基于“消能减震楼梯”,后来把减震的思路扩展到整个楼梯间,形成“消能减震楼梯间”,是吗?
A
周云教授:
是的,这里需要引入我的另外一项研究内容:阻尼填充墙。当年在汶川地震区调查时,发现填充墙破坏严重,我就将粘弹性阻尼器构造与原理引入到填充墙中。阻尼填充墙是将填充墙分割为若干水平分块,各分块砌体单元之间设置减震层,削减墙体自身刚度。在地震作用下,相邻砌体单元之间产生相对位移,减震层产生剪切滞回变形,耗散部分地震能量,减小结构地震反应。
消能减震楼梯间可以说是一种新型楼梯间构造,将楼梯设计成消能减震楼梯,楼梯间的填充墙设计成阻尼填充墙,消能减震楼梯与阻尼填充墙之间设置一条通缝,采用长条形泡沫板进行填充。消能减震楼梯间通过楼梯减震支座的柔性连接释放了楼梯构件对结构变形的约束,通过砌体单元间可产生的相对错动释放了填充墙对楼梯构件变形的约束,同时消除梯板的“K”型等效强支撑效应和填充墙对楼梯间产生的过强约束效应,大幅度改善了楼梯间的抗震性能。可以说,消能减震楼梯间是一个空间阻尼器。
通过周云教授的解答,我们对消能减震楼梯(间)有了初步的了解。接下来具体介绍消能减震楼梯(间)的特点。
一、构造方案
消能减震楼梯是指在普通楼梯梯板与梯梁的连接处断开,并在断开处设置消能减震支座。根据消能减震支座设置位置的不同,可分为3种构造方案:(1)消能减震支座设置在梯板与低端梯梁连接处,梯板与高端梯梁固结,如图1(a) 所示;(2)消能减震支座设置在梯板与高端梯梁连接处,梯板与低端梯梁固结,如图1(b) 所示;(3)消能减震支座在梯板与高、低端梯梁连接处均设置,如图1(c) 所示。消能减震支座连接节点大样如图 2 所示。
(a)构造方案一
(b)构造方案二
(c)构造方案三
图1 消能减震楼梯构造方案
连接节点大样一
连接节点大样二
图2 消能减震支座连接节点大样
消能减震楼梯间是将楼梯设计成减震楼梯,在梯板与梯梁连接处设置消能减震支座; 将填充墙设计成阻尼填充墙,把填充墙在竖向上划分为若干砌体单元,在砌体单元之间及砌体单元与框架梁之间设置剪切刚度远小于砌体剪切刚度的阻尼层,形成阻尼层与砌体单元相间的构造。消能减震楼梯间构造方案如图3所示,阻尼填充墙构造方案如图4所示。
图3 消能减震楼梯间构造示意图
图4 消能减震楼梯间阻尼填充墙构造示意图
消能减震楼梯间通过消能减震支座的柔性变形释放了梯板对楼梯变形的约束,通过阻尼填充墙砌体单元间的相对位移释放了填充墙对框架变形的约束,同时消除了梯板的“K”型等效强支撑效应和普通填充墙对结构产生的过强刚度约束效应,明显改善了楼梯间的抗震性能,使得楼梯间成为“安全岛”。
二、技术亮点
亮点1:消除梯板的等效强支撑效应
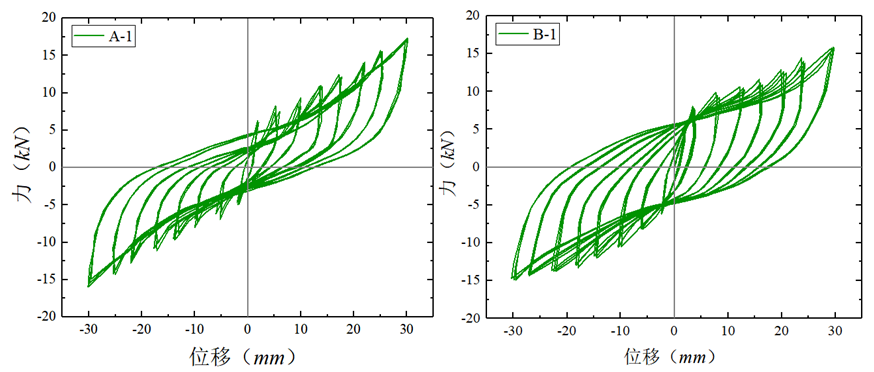
分别对普通楼梯单元、滑动楼梯单元、消能减震楼梯单元进行了低周往复加载试验,对比了三种楼梯单元的滞回性能、承载能力、位移延性、刚度退化等抗震性能指标,消能减震楼梯单元加载试验如图5所示,三种楼梯单元滞回性能如图6-8所示。
图5 消能减震楼梯单元加载试验
从图6-8中可以看出,三种楼梯单元滞回曲线均呈“梭形”,普通楼梯单元滞回环捏拢效应最为明显,滑动楼梯单元滞回性能介于普通楼梯单元和消能减震楼梯单元,消能减震楼梯单元滞回环面积最大,滞回环捏拢效应最不明显,是因为消能减震支座在往复加载过程中产生滞回变形,耗散能量。
图6 普通楼梯单元滞回曲线
图7 滑动楼梯单元滞回曲线
图8消能减震楼梯单元滞回曲线
普通楼梯单元、滑动楼梯单元和消能减震楼梯单元的骨架曲线如图9所示。从图9可以看出,消能减震楼梯单元的水平承载力和刚度与滑动楼梯单元较为接近,均明显小于普通楼梯单元,可见消能减震楼梯与滑动楼梯均有效消除了梯板的等效强支撑效应。
图9 三种楼梯骨架曲线
在试验过程中观察到,滑动楼梯单元下端有翘起现象,如图10所示。消能减震楼梯单元中的楼梯减震支座在竖直方向具有一定的约束作用,避免梯板下端产生竖向翘起。
图10 滑动楼梯单元下端翘起现象
亮点2:人致激励下的楼梯单元振动舒适性能
采用ABAQUS有限元软件建立了普通楼梯单元、滑动楼梯单元、消能减震楼梯单元的有限元模型,消能减震楼梯单元有限元模型如图11所示。对三种楼梯单元进行模态分析,普通楼梯单元、滑动楼梯单元、消能减震楼梯的第一阶振型均为竖向振动,自振频率分别为9.3Hz、1.1Hz、6.110Hz,普通楼梯单元和消能减震楼梯满足3Hz的舒适度要求。
图11 消能减震楼梯单元有限元模型
采用单步行走激励荷载,对三种楼梯单元依次将激励荷载施加在点1~点5上进行时程分析,点1~点5在梯板上的位置如图12所示,各施加点的时间间隔由成人的步行速率和步距计算得到。分析结果表明,普通楼梯单元、滑动楼梯单元和消能减震楼梯单元的最大竖向峰值加速度分别为0.007 𝑚∕𝑠2、7.29 𝑚∕𝑠2、0.044 𝑚∕𝑠2,普通楼梯单元和消能减震楼梯满足0.15𝑚∕𝑠2的加速度限值要求。
图12 单步行走激励荷载施加点位
亮点3:消能减震楼梯间减震效果分析
采用ABAQUS软件分析了普通楼梯间、滑动楼梯间、消能减震楼梯间在单调静力荷载作用下的响应,消能减震楼梯间分析模型部件拆分如图13所示。研究结果表明消能减震楼梯间通过消能减震楼梯、阻尼填充墙消除了梯板的等效强支撑效应、普通填充墙的刚度和约束效应,使得楼梯构件的内力比普通楼梯间明显减小。可见消能减震楼梯间改善了楼梯间的传力机制,避免了梯板、填充墙对其它楼梯构件产生不利影响。
(a)填充墙 (b)楼梯构件 (c)框架梁柱
图13 消能减震楼梯间分析模型部件拆分
设计了一栋6层的钢筋混凝土框架结构,分别采用SAP2000、PERFORM-3D有限元软件对普通楼梯间结构、滑动楼梯间结构、消能减震楼梯间结构及空框架结构进行了多遇地震和罕遇地震作用下的数值仿真分析,研究了消能减震楼梯间对框架结构抗震性能的影响,消能减震楼梯间结构计算模型如图14所示。分析结果表明:消能减震楼梯间同时消除了梯板的支撑效应、填充墙的刚度效应及约束效应,且未明显改变结构的抗侧刚度分布,对结构动力特性的影响很小;消能减震楼梯间消耗了输入结构的部分地震能量,提供了一定的有效附加阻尼比,减小了结构的楼层剪力、层间位移,提高了框架结构的抗震性能;消能楼梯间减轻了楼梯间构件、框架梁柱等在地震作用下的损坏程度,改善了结构的屈服情况,有助于结构实现“强柱弱梁”的屈服机制。
(a)SAP2000模型 (b)PERFORM-3D模型
图14 消能减震楼梯间结构计算模型
亮点4:简易可行的楼梯减震支座研发
研发了A、B、C、D四种楼梯减震支座,如图15所示。A型为卡槽连接型,B型为凸球连接型,C型为栓钉连接型,D型为装配式型。
(a)A型 (b)B型
(c)C型 (d)D型
图15 研发的四种楼梯减震支座
对A、B型楼梯减震支座进行了低周反复加载试验,支座试件如图16所示,加载装置如图17所示。
A型 B型
图16 A、B型支座试件
图17 加载装置示意图
通过试验得到A、B型支座的滞回曲线如图18所示。从图18可以看出,两种类型的支座滞回曲线均较为饱满,耗能性能良好。
A型 B型
图18 滞回曲线
三、工程应用
工程应用1:汕头某学校二期校区建设项目,效果图如图19所示。项目位于汕头市大学路南侧,属于高烈度区,设防烈度为8度,基本地震加速度0.2g,2#、3#学生宿舍楼采用装配式结构,楼梯间采用了装配式消能减震楼梯间,整体装配率达到73.2%。该项目是广东省最高抗震设防烈度地区的首个大型装配式公建项目。
图19 汕头某学校二期校区建设效果图
装配式消能减震楼梯间的施工实拍照片如图20所示。
(a)楼梯减震支座安装 (b)楼梯间减震墙板安装
图20 消能减震楼梯间的施工
工程应用2:某大学教师公寓项目,效果图如图21所示。项目位于广州市广州大学城,由一层连体地下室,六栋十五层地上塔楼组成,采用了装配式消能减震楼梯,整体装配率为60%,属于广州市高装配率项目、广东省《装配式建筑评价标准》A级装配式建筑。
图21某大学教师公寓项目效果图
项目正在施工中,装配式消能减震楼梯的施工实拍照片如图22所示。
(a)消能减震楼梯现场定位 (b)楼梯减震支座安装到位
图22 消能减震楼梯施工实拍照片
结构设计需要经验,但不需要重复!消能减震楼梯间改善了传统楼梯间的抗震性能,使得楼梯间成为真正意义上的“安全岛”。目前,我们正在编写《消能减震楼梯应用技术规程》,为后续工程应用提供依据和指导。
END
作者简介
周云,广州大学教授/博士、副校长。
主要从事结构隔震与消能减震控制、结构抗震与加固改造、高层与高耸结构风振控制、轨道交通振动与噪声控制。先后主持完成国家重点研发计划课题、国家自然科学基金项目和羊城学者首席科学家项目等三十余项。发表学术论文300余篇,获国家发明、实用新型专利80余项;主编国家行业标准《建筑消能减震技术规程》,标准化协会标准《屈曲约束支撑应用技术规程》,参编国家、省(行业)标准《高层钢结构技术规程》、《高层混凝土结构技术规程》等10个规范或规程;出版消能减震著作8本, 出版<<防灾减灾工程学>>等研究生、本科生教材8本;获省(部)、市科技进步奖6项。兼任中国土木工程学会防震减灾工程分会理事长、住房和城乡建设部科学技术委员会建筑工程抗震设防专业委员会委员及多个协会(专业委员会)委员、《建筑结构》、《土木工程学报》、《建筑结构学报》等7个学术刊物编委。先后被评为南粤优秀教师、省“千百十工程”省级培养对象先进个人、广州市劳动模范、优秀专家、市“121人才梯队工程”后备人才、高层次人才。
供稿人:林松伟、李政忠、列文琛、朱博文
责任编辑:左丹丹
您是否有规范问题/设计难题无法解决?
您是否有设计心得/专业见解愿意分享?
那么欢迎您在评论区
留下您的问题/发表您的见解
您也可以点击“此处”
提交您的公众号原创文章
留下您的问题和困惑
我们将及时联系相关专家审核和解答
推荐阅读
近期活动
在线教育
"阅读原文"免费注册结构·云学堂
点赞
在看
关于上市公司的那些事