![]()
2022年11月20日印尼疫情数据
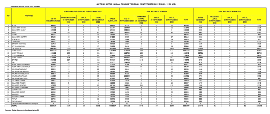
累计/新增确诊:6,608,367 (+5,172)累计/新增治愈:6,386,809 (+5,690) 检测人数:111,772,509 (+48,208)检测样本数:111,772,509 (+48,208)(印尼鹰视野)印尼华人客家美女小丽在自己的视频频道《印尼小丽》里介绍了从印尼嫁到中国北方的经历。小丽说:“我老公呢,在中国很难娶到老婆。他在印尼那边有个朋友,他朋友是在印尼做生意的,让我老公去印尼玩。他朋友说,如果有合适的,就给我老公在印尼找老婆。”![]()
“我在印尼是做花的,我在花店里跟别人打工。小东的朋友带他在印尼旅游,然后他去花店里就看到我了。小东就说他要买花,我给他做完了花,他的花就直接送给我了,哈哈。第一次我看到他,我就看上他了。因为那个时候他很白,很瘦也很帅的。但那时候我很害羞啊,我给他做的花,他就直接送给我了。”![]()
小东的朋友会说印尼话,然后他就跟我说,要我的电话号码来给小东。小东在印尼只能呆一个月,所以没过多久,他就要回中国了。
他在回中国之前,去我家和我爸妈说要和我订婚。
之后他回到中国而我在印尼,我不会说中文,他不会说印尼语,所以我们就用一个翻译软件聊天。小东到了中国就办了好多证件,包括单身证明,一个月后,他又到印尼了,我就在印尼和小东订婚了。小东找了个会说中文的翻译,不然我们都无法沟通。![]()
之后小东带我去办护照,再去雅加达那边办别的手续比如我的出生证明,在中国大使馆办我的签证。因为办签证需要时间,我在印尼好几个月才来了中国结婚。
![]()
我和我妈到了中国,小东在机场等我们。那时候我们第一次到中国,不知道冬天这么冷,我们只穿了一条长裤和一件衣服。小东在机场就直接给我们带了厚衣服穿。结婚后小东带我和妈妈到北京玩,我们也有去万里长城还有中国的故宫,玩了两三天就回到我们石家庄这边了。还有我的结婚证也是在石家庄办的。![]()
在中国呆了一个月,我们又回印尼了,因为我妈妈的签证只有一个月。我在印尼办好了Q1签证,就可以常住中国了。刚好也快过年了,我和小东就在印尼过年,之后我们就回到中国了。刚到中国我还不会说中文,后来过了三四个月,我开始可以说简单的中文了。刚开始我的中文都是小东教我的,家里很多东西他都贴上了纸,有拼音我就可以读出来是什么东西。![]()
我和小东呢才认识几个月,我就来到中国嫁给他了。因为我很相信他的,我也很喜欢到中国生活,我相信我的生活会越过越好的。以上为鹰视野小编手打,欢迎关注小丽的频道《印尼小丽》,祝福这个美丽的印尼女孩小丽和真诚踏实的中国小伙儿小东日子越过越红火。2022年印尼假期安排
手机在印尼用不了?在印尼如何注册手机IMEI码?
本文为印尼鹰视野原创
转载请注明出处
投稿及应聘小编请后台联络