以下文章来源于印尼鹰视野 ,作者印尼鹰视野
印尼/新加坡华人华侨青年分享自己的经历、见闻、观点
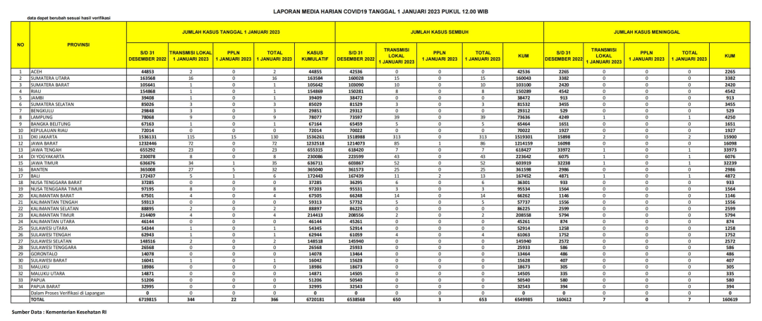
2023年01月01日印尼疫情数据
2023年第一天!
印尼基本上全面开放了
回国航班价格一千多
往返国内-印尼也更方便了
今年一切都将越来越好
最近,有网友问在印尼存定期利率多少,考虑在印尼开户存钱。
鹰视野小编搜索了中国银行(香港)雅加达分行官网、汇丰银行印尼官网、BCA银行官网,利率信息如下(2023年新年1月可能会有变动):
中国银行
原文件下载链接:https://www.bankofchina.co.id/dam/sc-id/service/information/rates/deposit-interest/2022/Counter-Rate-as-of-29-Nov-2022-chi.pdf
中国银行(香港)有限公司雅加达分行联络方式:
人民币和港币定存1、3、6个月利率如下:
据鹰视野小编了解,中国工商银行整存整取人民币:3个月、6个月、1年、2年、3年、5年的年利率为1.25%、1.45%、1.65%、2.15%、2.6%、2.65%。
印尼总统佐科在2023元旦写道:
【推荐阅读】
本文为印尼鹰视野原创
转载请注明出处
投稿及应聘小编请后台联络
印尼本地广告资讯