这就好比,你眼前有两辆型号相同、出厂年份相同的红色越野车。当你近距离观察时,你会清楚地发现这两辆车之间存在许多细微差异和瑕疵,但当你向后走退几十步甚至几百步再看,你会发现这两辆车你已越来越难以区分开来。
同样,你也许可以预测你今天晚上的心情(感受),但想提前预知两周后自己的心情你就无能为力了。因此,距离当下越远的感受,无论是过去还是未来,它都会变得越来越模糊。
这似乎是一个人尽皆知的问题,时间会冲淡一切。但它指的不是记忆,而是来自个体对自我的感知。
近日,发表在《美国国家科学院院刊(PNAS)》上的一项新研究中,来自美国达特茅斯学院的研究人员发现了个体对自我感知会随着时间推移而越来越模糊的行为学和神经学证据。
面对这些真实和可感知的变化,许多科学家都想知道人们是如何在心理上映射出不同时期的独立自我。
现代哲学家Derek Parfit曾提出一个流行的观点是,自我感知在时间上被组织成一条链,时间上比较接近的“自我”会相互重叠。研究人员把这种现象称为“压缩”,他们认为个体的自我感知在以类似“压缩”的方式运作。
然而,这些都只是假设,还没有神经学研究的证据支持。
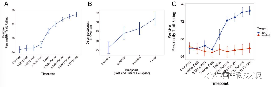
这项新研究中涉及四个实验。在前三个实验中,参与者被要求对自己的个性特征进行评价,报告他们在过去和未来不同时间的自我感知。实验结果表明,相对于当下的自我,人们更倾向于“压缩”过去和未来的自我。
然而,并非所有年龄段的人都受到同等程度的压缩。年龄较大的人在自我感知方面表现出更少的变化。换句话说,与年轻人相比,岁数大的人在时间上对自我的认同更趋于稳定。重要的是,即使在控制年龄的情况下,研究人员发现,时间上的自我压缩仍然成立。
在第四个实验中,研究人员寻找时间性自我压缩的神经学证据。他们向参与者展示了正面和负面两种性格特征,并要求他们选择哪一种最能描述他们在特定时间点的感受,并同时进行功能磁共振(fMRI)扫描。
通过大脑扫描,研究人员确定了大脑如何跨时间组织自我表征。每次参与者在想象任何时间点(过去、现在或未来)的自己时,研究人员都可以观察到他们的大脑的活动。这些神经活动的快照被称为“印记(stamp)”。
该研究通讯作者、心理学和脑科学助理教授Meghan Meyer说:“即使在神经活动层面上,我们也可以看到,随着时间变得越来越远,过去和未来的自我变得不再那么清晰可辨。”
此外,功能磁共振成像数据与参与者评定自我性格的结果一致。因此,令人信服的证据证明该团队称之为时间上的“自我压缩”效应。也就是说,过去和未来的自己可能会随着时间远去而被整体压缩。这种可能性与认知神经科学研究一致,该研究表明展望和回顾依赖于默认网络中重叠的神经机制,涉及内侧前额叶皮层(MPFC)。MPFC被证实与反思现在的自我更加相关。
这项新研究提供了一种新的方式来思考我们自己如何随着时间推移组织自我身份。同时,也有助于解释人们对待时间遥远时期自我的一些违反直觉的方式。比如,在延迟满足的问题上总是“事后诸葛”,过去的自己似乎更容易犯“捡芝麻,丢西瓜”的事情。
当然,研究人员提醒“活在当下”的重要性,因为过多地展望未来或者过于频繁地回忆过去都可能会对现在产生问题。
总之,这项研究提供的行为学和神经学证据表明,过去和未来的自我在时间上被压缩。就像空间中距离更远物体的细节难以看到一样,遥远的过去和未来的自我也可能是模糊的。这些发现为几个世纪以来困惑哲学家和心理学家的自我连续性问题提供了新的见解。事实上,该研究结果表明,我们可能很难把遥远的过去和未来的自己当作我们自己身份的一部分,部分原因是它们太过于模糊。
2020年热文精选
2. 美英澳科学家《自然医学》再添力证:新冠病毒乃自然进化产物,或有两种起源…
4. 一年内治愈失眠!研究发现:改善睡眠,你或许只需要一条沉重的毯子
5. 哈佛新研究:仅12分钟的剧烈运动,能为健康带来巨大的代谢益处
6. 第一项人类干预试验:在大自然里“摸爬滚打”28天,足以提高免疫力
7. 垃圾食品是“真.垃圾”!它夺走了端粒长度,让人老得更快!
8. Cell解谜:不睡觉真的会死!但致死的变化不是发生在大脑,而是肠道…
9. 《自然通讯》超大规模研究:血液中铁的水平是健康与衰老的关键!
10. 不可思议!科学家一夜之间逆转动物“永久性”脑损伤,还让老年大脑恢复了年轻态…