![]()
凡是搞计量经济的,都关注这个号了
邮箱:econometrics666@126.com
所有计量经济圈方法论丛的code程序, 宏微观数据库和各种软件都放在社群里.欢迎到计量经济圈社群交流访问.
![]()
关于时间序列数据分析,参看 1.R软件中的时间序列分析程序包纵览,2.时间序列分析的各种程序, 38页集结整理成文档,3.时间序列数据分析的思维导图一览, 金融经济学者必备工具,4.送书: 应用时间序列分析(经典),5.为啥时间序列模型比较难学?时间序列的正名路,6.时间序列中的协整检验和VECM,以及回归后的系列估计操作,7.时间序列模型分解,季节调整分析基础,8.空间和时间的计量,关注二位国人,9.TVP-VAR时变参数VAR系列文献和估计程序,10.向量自回归VAR模型操作指南针,为微观面板VAR铺基石,11.VAR宏观计量模型演进与发展,无方向确认推断更好,12.应用VAR模型时的15个注意点,总结得相当地道,13.面板数据单位根检验软件操作和解读全在这里,14.动态面板回归和软件操作,单位根和协整检验(Dynamic Panel Data),15.面板向量自回归PVAR是什么? 数据, 程序和解读一步到位,16.中断时间序列分析ITSA是什么? 很流行的政策评估新范式!17.疫情期计量课程免费开放!面板数据, 因果推断, 时间序列分析与Stata应用,18.ARDL, ARIMA, VAR, (G)ARCH时间数据模型讲解及软件操作,19.GARCH, MGARCH是什么诺奖级计量方法呢?CCC, DCC, VCC MGARCH方法如何实现呢?20.最全: ARCH, GARCH等模型家族是什么?软件如何做?怎么解释?21.结构性面板VAR是什么? 如何实现PSVAR呢?怎么解读?22.平滑转移自回归模型(STAR)应用与在R软件的操作
正文
Source: 陈黎明、张智、冮建伟,迪基、弗勒和佩伦对计量经济学的贡献——科睿唯安“引文桂冠”经济学奖得主学术贡献评介,经济学动态,2020(11)
摘要:迪基、弗勒和佩伦是非平稳时间序列计量经济学领域极具影响力的经济学家。迪基和弗勒提出了时间序列分析中单位根的DF检验和ADF检验等,佩伦在非平稳时间序列统计分析领域的突出贡献则包括PP检验、MIC准则以及结构突变的单位根检验等,这些研究极大地推动了非平稳时间序列的统计建模和分析,被科睿唯安公司授予2020年度经济学领域的“引文桂冠奖”,并被预测可能问鼎未来的诺贝尔经济学奖。本文对这三位计量经济学大师在非平稳时间序列计量经济学领域做出的卓越贡献进行评介。关于时间序列的平稳性讨论,是20世纪70年代以来非经典计量经济学的重要组成部分。检验序列的平稳性成为时间序列分析中不可或缺的步骤,各种检验时间序列平稳性的方法也应运而生。常用的就有DF检验、ADF检验和PP检验,以上检验都是采用首次提出这项方法的学者人名首字母联合进行命名的。由于他们对时间序列平稳性检验做出的贡献在计量经济学领域产生了重大影响,戴维·迪基(David A. Dickey)、韦恩·弗勒(Wayne A. Fuller)和皮埃尔·佩伦(Pierre Perron)被科睿唯安公司授予2020年度经济学领域的“引文桂冠奖”,预测其可能问鼎未来的诺贝尔经济学奖。迪基和弗勒的入选原因是时间序列分析中单位根的统计检验,佩伦的入选原因是非平稳时间序列的统计分析。戴维·迪基1945年出生于美国俄亥俄州,现任美国北卡罗来纳州立大学特聘教授,主要研究领域是时间序列分析。1967年7月,迪基在位于美国俄亥俄州牛津市的迈阿密大学数学系获得理学学士学位,1968—1969年担任该校数学系讲师,期间完成了理学硕士学业。1972年,迪基进入艾奥瓦州立大学统计学系学习,师从著名统计学家韦恩·弗勒,并于1976年获得博士学位。迪基自1976年起执教于北卡罗来纳州立大学,最终成为该校统计学系杰出教授。同时,他还是北卡罗来纳州立大学高级分析研究所的创始成员,并且是一个技艺高超的SAS用户。迪基曾担任《商业和经济统计期刊》(JBES)、《美国统计学人》(AS)、《美国统计学联合会期刊》(JASA)等期刊副主编,于2000年当选为美国统计协会会士。迪基的著作很多,这也得益于他非常善于团队合作,《应用回归分析》、《统计学的原理和程序》、《SAS时间序列预测》等经典著作都是由迪基与他人协作完成的。迪基在商务和经济统计、生物统计上都颇有建树,很多工作都与单位根检验有关。韦恩·弗勒出生于1931年,现任美国艾奥瓦州立大学特聘名誉教授,是一位著名的统计学家,主要研究领域为统计学和计量经济学,在计量经济学、调查抽样和时间序列分析方向做出的贡献尤为突出。弗勒1951年起一直就读于艾奥瓦州立大学,先后于1955年获得理学学士学位,1957年获得理学硕士学位,1959年获得农业经济学博士学位。弗勒博士毕业后开始留校任教,在艾奥瓦州立大学数十年的职业生涯中创造了学术研究上的辉煌成就。弗勒的经典著作包括《统计时间序列导论》、《测量误差模型》等。弗勒是美国统计学联合会会士、计量经济学会会士,也是美国数理统计研究所、国际统计研究所研究员。此外,他还在美国国家科学院的许多小组中任职,是美国国家统计委员会成员。由于在学术研究上的突出贡献,弗勒获得了2002年《华尔街日报》调查方法论奖和2003年马文·泽伦(Marvin Zelen)统计科学领导奖。皮埃尔·佩伦1959年出生于加拿大凡尔登,现任美国波士顿大学经济学教授。佩伦先后于1981年获得加拿大麦吉尔大学经济学学士学位,1982年获得加拿大金斯敦皇后大学经济学硕士学位,1986年获得美国耶鲁大学经济学博士学位。佩伦早年先后执教于美国普林斯顿大学经济学系和加拿大蒙特利尔大学经济学系,曾担任蒙特利尔大学经济学系正教授和经济研究与发展中心主任;1997年至今一直执教于波士顿大学。佩伦是计量经济学会会士、国际应用计量经济学联合会会士,1994年获得加拿大经济科学三等奖(每三年颁发一次),1996年和2008年先后获得《计量经济理论》期刊(Econometric Theory)评选的Multa Scripsit奖和Plura Scripsit奖。关于时间序列平稳性问题的一系列探讨,在20世纪70年代就吸引了很多经济学者的目光。在这个问题上,迪基和弗勒首先给出了一个开创性的解答,类似于人们发现牛顿的经典物理学思想已经不再适用于微观高速粒子时,找到那个未知领域的一个大概的轮廓描述就已经是个大新闻了。也许是自认为他们的工作还不是那么尽善尽美,佩伦之后又延续了他们尚未完成的工作——非平稳时间序列的统计分析。可以说,这三位大师在时间序列以及面板数据建模方面共同建造了一座新的时间序列“大厦”。本文旨在梳理三位计量经济学“建造”大师的计量经济学建模思想和方法,在总结理论大师的贡献的同时,尝试探究目前计量经济学发展的基本脉络。在进行计量经济学研究时,数据的平稳性扮演着极其重要的角色。如果样本数据过程不满足平稳性要求,那么传统的计量经济分析的估计和检验统计量将会失效,从而导致错误的结论。平稳过程和非平稳过程的划分具有非常重要的实际意义。然而,判定数据的平稳性并不是一件容易的事情。如果一个时间序列不是平稳过程,那么我们称此序列为“非平稳时间序列”。以下几种情形都有可能产生非平稳时间序列。1.确定性趋势。如果一个时间序列存在确定性趋势,比如长期趋势、季节性趋势、循环变动等,那么此序列即为非平稳序列。从直观的图形来看,它会呈现出一条明显的趋势线。如果用统计语言来进行描述的话,对于![]()
会随时间改变而改变,因此它不是平稳时间序列。2.随机趋势。在进行经济分析时,有时会碰到这样一种序列,它并不能用单一的趋势线来进行刻画,也就是说趋势线是随机漂移的。比如,随机游走模型(random walk):
,其在任何时间上都有零均值。但是在相邻时间点上,序列都具有很强的相关性,并且随机过程的方差随时间的增加而增加,对于完全一样的过程进行第二次和第三次的模拟可能展现完全不同的“趋势”。学者们把这样的趋势叫作“随机趋势”。单位根过程有时可能与趋势平稳过程相混淆,尽管它们共享许多属性,但在许多方面都有所不同。一个时间序列可能是非平稳的,但它不存在单位根并且是趋势平稳的。在单位根和趋势平稳过程中,均值会随着时间的推移而增加或减少。但是,在存在冲击的情况下,趋势平稳过程具有均值回复性(即波动是暂时的,时间序列将再次趋向于不断增长的均值,不受冲击的影响),而冲击对单位根过程的均值则具有永久性的影响(即随着时间的推移没有收敛性)。对于AR(1)过程
当
时,被称为爆炸性过程(explosive process),一般认为现实中经济变量大多是趋势平稳过程或单位根过程,不太可能出现这种情形,因此,经济学家通常只考虑
的情形,此时时间序列存在单位根,即为非平稳序列。通常,使用普通最小二乘法(OLS)估计自回归模型的斜率系数,但OLS估计的使用取决于随机过程是否平稳,当随机过程是非平稳时,使用OLS估计可能会产生无效的估计,并导致涉及时间序列模型的统计推断出现下面两个问题:1.传统的t检验不再适用。当
时,AR(1)过程为:
,变形后即
,由此可以看出,以前每一期的随机扰动项对当期值的冲击都会被完整地保留到下一期,即扰动项对下一期的冲击具有累积效应。随着时间的推移,累积效应项会带来发散的趋势,方差将无限增大而无法收敛。此时,中心极限定理不再适用,这会给传统的t检验带来严重的问题,β1的OLS估计量1不再是渐近正态分布或t分布,使用蒙特卡罗(Monte Carlo)模拟可以得到
的大样本分布,呈左偏分布,系数偏向于零,传统的区间估计和假设检验失效,即使在大样本下也是如此。2.出现虚假回归或伪相关。当两个相互独立的时间序列都是单位根过程时,它们很容易让人看起来感觉存在相关性,即产生所谓的“虚假回归”。在这种情况下,OLS估计结果会出现很高的拟合优度(即R方)和统计显著性,但杜宾-瓦特森(DW)统计量的值很低,即残差序列存在自相关性,是非平稳序列,说明模型的设定是有问题的,产生的估计结果与真实的经济意义相违背或没有经济意义,所谓“显著”的相关关系是虚假的,只是一种数据上的巧合。只有当协整关系存在时,对两个非平稳时间序列的回归才具有实际意义。DF检验有三个基准模型,每个基准模型都有其自己的临界值,该临界值取决于样本的大小。在所有情况下,原假设都是存在单位根即δ=0,该检验具有较低的统计功效,因为它们通常无法区分真实的单位根过程(δ=0)和接近单位根过程(δ接近于零),这被称为“近等值观察”问题。
DF检验存在一个缺点,即ut通常存在序列相关,而ADF检验改进了这一缺点,它消除了时间序列中的所有结构效应(自相关),引入了更高阶的滞后项来控制自相关性,采用赤池信息准则(AIC)或贝叶斯信息准则(BIC)进行阶数的确定,然后使用了和DF检验相同的过程进行检验。(2)PP检验:ADF检验对DF检验的改进属于参数方法,在DF检验的基准模型中引入高阶滞后项来保证扰动项ut没有自相关,PP(Phillips-Perron)检验则采用非参数方法对这一问题进行修正。PP检验的基准模型与DF检验一样,仍然使用了一阶自回归模型,不过是利用异方差自相关稳健的标准误(HAC)对DF统计量进行修正,构造长期方差估计量,从而得到检验统计量。异方差自相关稳健的标准误,顾名思义,就是在存在异方差和自相关的情况下也成立的标准误。PP检验的优点在于允许基准模型中的扰动项存在自相关或异方差。2.原假设为平稳时间序列——KPSS检验。DF检验、ADF检验和PP检验的原假设都是存在单位根,即时间序列是非平稳的,基于此原假设的检验统计功效不高,常常错误地接受原假设。与之相比,在KPSS检验中,存在单位根是备择假设,此外,不存在单位根并不能作为平稳性的依据(因为也有可能是趋势平稳),这是一个重要的区别。KPSS检验旨在补充DF检验、ADF检验等原假设为存在单位根的检验方法,从而提高检验的统计功效。KPSS检验属于非参数方法,是右侧检验,其临界值须通过蒙特卡罗模拟得到。时间序列作为一类典型的随机数据,可以基于随机变量的历史和现状来推测其未来的变化趋势,在进行分析时,往往需要假设随机变量的历史和现状具有代表性或可延续性。样本时间序列展现了随机变量的历史和现状,若随机变量基本形态维持不变,即样本数据的本质特征能延续到未来,则称这些统计量(均值、方差、协方差)的取值在未来仍能保持不变的样本时间序列具有平稳性。平稳性分析是时间序列回归分析中的共性问题,是经典回归分析赖以实施的基本假设。如果数据是非平稳的,则作为大样本下统计推断基础的“一致性”要求便被破坏,基于非平稳时间序列的预测也就会失效。由于经济政策、自然和人为灾害等对经济系统造成的短期冲击,在正常条件下具有平稳性的经济变量时间序列会发生改变,这时直接运用经济变量的水平值研究经济现象之间的均衡关系容易导致“伪回归”,甚至得出错误结论。因此,建模前需对变量进行平稳性检验。在20世纪50年代以前,由于缺乏对平稳性的系统认知,学术界虽然有大量关于时间序列分析的文献,但大多数都是针对平稳性时间序列而展开的,关于非平稳性时间序列的研究屈指可数。此外,由于平稳性的相关理论较为欠缺,无法对序列的平稳性进行讨论,研究者通常采取时间路径图、自相关函数、偏自相关函数等各种图形分析方法作为判断依据。图形分析方法虽然具有简易、直观等特征,但主观性较强,只可用于对平稳性的初步判断。以自相关函数分析为例,当某个时间序列的自相关函数迅速收敛到零,则认为该序列平稳,反之,则认为该序列非平稳。但是“快速收敛到零”是一个主观性的判断,缺乏量化分析的依据,研究者只能根据自相关函数的收敛情况进行自主判定,这种主观结果往往因人而异,从而可能造成判定结果缺乏一致性和严谨性,使得研究结果的可信度大打折扣。随着图形分析方法的广泛应用,由主观性判断带来的问题也逐渐暴露无遗。一些计量经济学家开始寻求更为客观且科学的方法来探究时间序列的平稳性,迪基和弗勒是最先意识到利用自回归方程中的自回归系数来客观判断时间序列是否具有平稳性的经济学家。师徒俩一直致力于利用时间序列自回归模型中的回归系数来检验判断时间序列的平稳性,由此提出了著名的时间序列平稳性检验方法——DF检验。迪基(1976)在怀特(1958)关于一阶自回归方程中自回归系数分析的基础上,抓住问题的核心,即一阶自回归过程的本质是探究数据自身的性质,而序列的初始值和噪声因子并不影响时间序列的总体走势和分布。基于此,为简化分析过程,迪基在分析一阶自回归方程时增加了两个假设,一是序列初始值为零;二是残差系均值为零、方差一致的独立同分布序列,有效避免了回归误差项对自回归系数分布的影响。此外,怀特(1958)虽然从信息熵的角度给出了自回归系数估计误差和时间变量的联合分布函数,但构造分布函数时引入了时间变量函数,使得分析过程更加复杂化,且分析时无法直接阐明自回归系数与序列非平稳过程之间的关联。为了更加直观地分析自回归系数和序列平稳性之间的关联,迪基通过构造假设检验:![]()
![]()
![]()
![]()
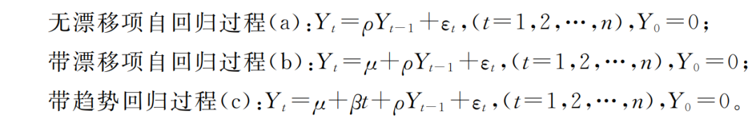
并基于观测的样本时间序列计算t统计量进行检验判断,为单位根检验奠定了理论基础。迪基和弗勒(1979)在研究时间序列的非平稳性时发现,当自回归系数取值范围不同时,模型表示的数据生成过程具有完全不同的经济含义,其相应的统计量也会发生改变,对应的分布性质也会不同。为了更加清晰地阐明非平稳时间序列的特点,迪基和弗勒(1979)基于序列随时间变化的基本特征将其大致归为三类:当序列基本走势呈现无规则上升或下降并反复时,将其归为无漂移项自回归过程;当序列基本走势呈现明显的随时间递增或递减且趋势并不太陡峭时,将其归为带漂移项自回归过程;当序列基本走势随时间快速增长时,则将其归为带趋势项回归过程。用数学公式表示如下:其中α是常数,
是时间趋势项,
为随机扰动项,且
。鉴于自回归系数描述的是过去时点发生的事情与现在的关联性,如果自回归系数取值过大,从理论角度来讲,由此得到的理论分布依赖误差项的分布,且这种过程往往是时间变量的指数函数,会表现出较强的爆炸性。从实际角度来讲,这表明过去时点发生的事情对现在的影响非常大,这种情况在现实生活中极其罕见,一般被认为与现实经济变量的数据生成过程不相符。故迪基和弗勒(1979)在进行假设检验时调整了假设检验的表述形式,设置原假设为:
,备择假设为
。研究表明,当自回归系数的绝对值小于1时,序列平稳;当自回归系数的绝对值等于1时,序列为一阶单整非平稳;当自回归系数的绝对值大于1时,序列发散。这一研究为判断序列平稳性提供了依据,即可以通过检验回归系数ρ是否严格小于1来检验序列是否是平稳的。自迪基和弗勒(1976;1979)的研究工作以来,自回归过程中单位根的检验受到了相当大的关注。迪基和弗勒(1979)考虑了基于普通最小二乘估计量和相应关键统计量的检验,他们后来发表的许多成果都在此基础上进行了一些扩展。2.基于多元自回归模型的单位根平稳性检验。迪基等(1989)提出了一种基于多元自回归模型的单位根平稳性检验方法。多元自回归时间序列的特征方程包含矩阵方程的特征值,该特征值决定序列是否是平稳的。假设一个特征值是1,其他特征值都小于1。他们证明了普通最小二乘法可以用来估计所涉及的矩阵,而估计的最大特征值具有分布性质,这使得其可以使用迪基(1976)所列的临界值表来检验单位根假设。如果怀疑存在单个单位根,则可以建立一个模型,此模型参数受约束可以产生精确单位根。这是单变量情形下差分的矢量模拟。在拟合过程中,可以计算标准序列,从而将Box & Tiao(1977)的工作扩展到单位根情形。
3.单位根时间序列的周期图的分布和检验。迪基等(1998)研究了单位根时间序列的周期图的分布和检验。周期图将数据的变化分解为周期成分,使平稳序列的统计特性得到很好的解释。周期图可以处理任何类型的序列。他们还研究了基础数据具有单位根的时间序列结构的统计特征。知道了这些特征,就能在不同频率的基础上观察非平稳性。鉴于周期图的纵坐标在实际工作中的普遍使用以及明显非平稳数据的频繁出现,他们提出了一种方法来使用这些结果对单位根进行形式检验。该检验的优点是使用周期图的非季节性纵坐标,因此数据中的规则周期是不变的。他们描述了带有单位根的时间序列、带有漂移的单位根序列以及带有非趋势漂移的单位根序列的周期图的分布。4.基于无条件极大似然估计的自回归移动平均的单位根检验。弗勒等(1998)提出了一种基于无条件极大似然估计的自回归移动平均的单位根检验。Gonzalez-Farias(1993)以及Pantula & Hall(1991)研究了自回归模型的无条件估计,结果表明,基于无条件估计量的检验的极限分布与基于条件估计量的检验的极限分布是不同的。而相对于Gonzalez-Farias(1993)的研究,弗勒等(1998)证明了单位根的归一化极大似然估计的极限分布与一阶自回归过程的归一化极大似然估计的极限分布相同,还考虑了自回归移动平均模型的无条件极大似然估计,并提出了若干检验方法。在对阶数为(1,1)的自回归移动平均模型的蒙特卡罗模拟中,他们提出的无条件似然比检验的经验规模接近于移动平均系数在(-0.8,0.8)的名义水平。而且,无条件似然比检验相较于Yap & Reinsel(1995)的条件似然比检验、Pantula & Hall(1991)的加权对称估计的条件似然比检验、迪基等(1984)的普通最小二乘估计具有显著的优点。1.ADF检验。自怀特(1958)以及迪基和弗勒(1979,1981)推导出单位根过程的理论分布后,单位根的相关渐近分布性质逐渐发展成为计量经济学研究的核心问题之一。DF检验使用一阶自回归模型来检验单位根,要求残差项为独立白噪声,故扰动项无自相关。虽然DF检验能够有效分析一阶自回归模型的平稳性,当待检验的时间序列存在高阶滞后自相关问题时,很多经典的检验假设就不再满足了,比如随机扰动项服从独立同分布的假设等。2.运用SAS软件进行时间序列平稳性分析。迪基是NCSU高级分析研究所的创始成员,自1976年起已成为一名出色的SAS用户,并把与弗勒共同提出的DF检验用于SAS/ETS软件。迪基等出版的《SAS时间序列预测》一书,该书处理的是等间隔的时间点收集的数据,讨论从每一点的单一观察开始,在每一点都观察到k级数,然后根据它们的相互关系把它们一起进行分析。单变量时间序列分析的主要目的之一是预测序列的未来值。对于多变量序列,成分序列之间的关系以及对这些成分的预测可能会令人感兴趣。次要目标是对结构进行平滑、插值和建模。时间序列的平稳性是建模进行预测的基础,迪基等(2003)运用SAS软件在应用程序上处理了这一问题。3.协整检验。迪基等(1994)提供了一种易于理解的协整时间序列系统单位根检验。单位根检验是应用时间序列分析中的标准诊断工具,可以使用检验统计数据来检验是否需要对单变量时间序列进行区分。针对数据可能需要在滞后一阶和季节滞后之间进行区分的情况,已经开发了检验程序,甚至可以检验是否需要对数据进行多次区分。这些正式的检验是对Box & Jenkins(1970)倡导的不那么严格但仍然有价值的诊断程序的有益改进。恩格尔和格兰杰(1987)提出了时间序列协整思想在多元环境下的一种推广,他们指出,如果一个时间序列是单整的,比如说一阶单整,系统中时间序列的某些线性组合仍有可能是零阶单整。他们将这样的系统描述为协整系统。他们将其研究局限于二元系统,虽然当时有文献将其工作扩展到时间序列的多变量系统,但当时在技术上是令人望而却步的,因此对于那些希望使用这些新的检验和评估程序的人来说很可能是望而止步的。迪基等(1994)提供了一种易于理解的协整时间序列系统,并表明可以使用相对简单的方法进行估计和假设检验。他们展示了单方程的单位根检验和多元系统的协整向量检验之间的关系。另外他们还证明了协整检验可以通过一系列的OLS回归进行,关于协整向量参数假设的似然比检验也可以采用类似的方法。时间序列数据是计量经济分析中所用的三大类重要数据(截面数据、时间序列数据、面板数据)中最常见的一类,也是最重要的一类。以时间序列数据为样本,时间序列性破坏了随机抽样的假定,那么,经典计量经济学模型的数学基础能否被满足,自然成为一个有待讨论的问题。佩伦在非平稳时间序列数据统计分析方面的研究贡献主要体现在三个方面:首先,有关单位根检验的理论研究及其在宏观经济时间序列中的应用。他分析了这些检验的转换版本,在数据表现出强序列相关性时,这些转换版本具有更好的有限样本性质。他还考虑了与DF检验选择截断滞后项有关的问题。其次,非平稳时间序列模型中的分布理论。这项工作包括很多具体内容,如计算自回归模型中的渐近分布,研究有限样本条件下渐进分布近似的充分性和替代渐近逼近方法的发展以及与数据采样频率相关的检验功效等。再次,关于将宏观经济时间序列描述为趋势函数不经常变化的平稳波动的理论和实证工作。这项工作挑战了一个传统的观点,即建模时最好是把大多数宏观经济时间序列看作是自回归单位根过程。他在这方面的研究促进了关于聚合时间序列趋势周期分解的理论和实证研究。特别地,该研究迫使人们对标准单位根检验和永久性冲击的频率进行细致的重新评估。更一般地说,它有助于重新唤起人们对动态过程中结构变化问题的关注。不论是在计量经济学的理论分析还是应用经济学的实证研究中,单位根检验都具有非常重要的意义。随着时间序列平稳性问题的提出,目前单位根检验已经成为宏观经济数据建模前首先要进行的工作。具体来说,平稳性的一种具体表现形式体现为时间序列对当前冲击的动态长期响应。传统观点认为,当前随机冲击的影响(造成对趋势的偏离)只具有暂时的效应,经济变量的长期运动是由确定性的时间趋势函数主导的,不会因这种冲击而改变。这被称为趋势平稳(trend stationary)或确定性趋势过程。如果时间序列本身含有单位根,任何随机冲击均会影响其长期动态,产生永久性的效果。对原序列进行差分处理若能够获得平稳则被称为差分平稳(difference stationary)或随机趋势过程。进行平稳性检验的主要手段就是单位根检验。1.PP检验的提出与改进。单位根检验是时间序列分析的基础,最早采用由迪基和弗勒(1979)提出的DF检验统计量及其改进版本——ADF统计量。菲利普斯和佩伦(1988)提出了PP检验——
统计量和
统计量,并推导了带有漂移项和(或)时间趋势项的单位根检验统计量的渐近分布。PP检验与ADF检验已成为计量经济学实证分析中应用最为广泛的两种单位根检验方法。随着人们对单位根检验的认识日渐深入,许多学者对传统的ADF检验与PP检验的功效提出了质疑。在蒙特卡罗模拟试验中,ADF检验与PP检验在有限样本情形下的功效普遍很低,尤其是在随机误差项生成过程的自回归根接近1时,会发生严重的水平扭曲,这将会导致对单位根假设的过度否定。佩伦和吴慧仪(1996)认为,当存在负的移动回归误差时,传统的PP检验将会发生水平扭曲,为此,他们解释了水平扭曲与选取的谱密度估计量的关系。根据Stock(1990)提出的一系列修正的统计量(主要包括MSB、MZα、Qt、g2、g3等),他们发展了能够显著调整水平扭曲的修正后的PP检验。Elliott et al(1996)研究发现,对数据进行局部GLS退势将会显著提高单位根检验的功效。佩伦与吴慧仪(2001)将这一思想应用于修正的PP检验统计量(1996)中,提出了一系列
统计量来进行单位根检验,研究发现,如果滞后长度选择适当,这些统计量的检验功效将大幅提升。同时,他们还给出了
的渐近分布及相应的渐近临界值。由于
统计量相对于其他检验统计量更为稳健,能更好地避免水平扭曲,从而具有较高的检验功效,被广泛应用于计量经济学实证分析中。应用MGLS统计量进行的单位根检验被称为Ng-Perron检验。随着研究的不断深入,佩伦等又从一些新的角度对滞后长度选择的问题进行了探讨。佩伦与吴慧仪(2002)在使用
统计量进行单位根检验的实践中,首度运用了修正的信息准则(MIC)来确定滞后长度,并且他们在移动平均根接近-1的时候,提出了一个局部渐进框架来记录MIC选择滞后长度的性能。MIC与其他信息准则的本质区别在于,它认为检验公式中一阶滞后项参数估计量的偏差与滞后长度高度相关,所以通过纳入一个包含一阶滞后项参数估计量的修正项,纠正了信息准则拟合不足的问题。
佩伦与吴慧仪(2005)还重点探讨了在运用赤池信息准则(AIC)与施瓦茨信息准则(SIC)选择滞后长度时可用观测值的数量、计算惩罚因子(penalty factor)使用的观测值数量以及计算均方误差(MSE)的自由度大小分别对滞后长度的影响。研究结果表明,在有限样本下AIC和SIC选择的滞后长度对上述三个因素都非常敏感。这一结论进一步验证了MIC准则有着更好的稳健性。佩伦等(1985;1991)通过蒙特卡罗模拟发现,单位根检验的功效主要受时间跨度的影响,较少的受采样频率的影响。佩伦(1991)研究了一些基于时间序列数据的检验统计量的一致性,并考虑了正自相关(平稳或爆炸)随机游走和随机性的原假设的检验,研究发现,只要原始数据的跨度不断增大,基于原始数据的一阶相关系数的单位根假设检验就是一致的;只有当跨度以大于
的速率增加时(T为样本容量),基于一阶差分数据的一阶相关系数才会与平稳备择假设一致。另一方面,只要跨度没有增长太快,基于原始数据的一阶相关系数的随机性假设的检验就是一致的。在有限样本条件下,该一致性能很好地概括检验功效的性质。与观测值的数量相比,单位根检验的功效受跨度的影响更大,而当采样频率较小时,随机性检验的效果更好。在非平稳数据的实证模型中,佩伦的这一研究为扩增数据提供了明确的标准,并在频率和跨度上指明了方向。1.结构突变单位根检验的外生框架的确立。自从DF检验、ADF检验以及PP检验被提出以来,有关单位根检验的各种方法和应用研究不断地刊登在主流学术期刊上。然而,经典的单位根分析框架中并没有考虑真实数据的外部因素或自我调整因素引起的结构性变化。佩伦(1989)指出,当忽略数据生成过程中的结构突变时,单位根检验的效率可能会大大降低。当数据生成过程是一个具有结构突变的平稳过程时,传统的DF检验统计量很难拒绝存在单位根的原假设。也就是说,根据DF检验统计量,容易将具有结构突变的平稳过程误判为单位根过程,这就是所谓的“佩伦现象”。佩伦现象表明,传统的单位根检验在忽略可能的结构突变时往往会产生错误的结论。在此之前,Nelson & Plosser(1982)使用当时刚刚提出的ADF检验方法,分析了美国14个宏观经济变量序列,结果显示,其中有13个变量含有单位根并且属于差分平稳。就宏观经济理论而言,在这种假设下,随机冲击会对系统产生永久性影响。而普遍的观点是相反的,即认为商业周期是围绕或多或少的确定性趋势的短暂波动。对此,佩伦(1989)率先将结构突变成分考虑进单位根检验,并建立了较为完整的理论体系,开创了结构突变研究的里程碑。他将这些检验应用于Nelson & Plosser(1982)使用的美国宏观经济变量数据和战后季度实际GNP序列,结论表明,如果将20世纪30年代的大萧条视为结构性突变,并将相应的冲击作退势处理,那么Nelson & Plosser(1982)所确定的13个非平稳序列中有10个可以判断为趋势平稳过程。同样,以1973年的第一次石油危机为另一个突变点,美国战后GNP季度数据序列也可视为趋势平稳过程。这意味着,在长时间段内,冲击几乎没有持久性影响。只有那些与大萧条和石油价格震荡有关的因素才大大改变了宏观经济变量序列的长期行为。从模型的意义上讲,它改变了这些经济变量序列在结构突变时刻的趋势函数的斜率或截距,即改变了变量潜在数据生成过程的趋势函数。在经济学意义上表现为,大规模且持久的供应冲击只是偶尔发生,其余时间段内需求冲击占主导地位。在上述研究中,佩伦(1989)将趋势函数的变动看作是瞬时完成的,将所使用的退势检验法称为“附加异常值”(AO)模型。而现实情况中,比如大萧条,则更有可能是持续了一段时间。因此,他在之前的模型上继续改进,借用时间序列异常值设定的有关理论,提出了相应的“新息异常值”(IO)一步检验模型,结构突变成分对原始变量的作用过程同扰动项(新息)相同,具有ARMA结构,实际含义为趋势函数的变化是渐进完成的。佩伦(1989)的理论观点引起了强烈反响。《商业和经济统计杂志》(JBES)1992年第3期开辟专刊,集中发表9篇相关论文对结构突变单位根检验进行了讨论或应用。2.从外生假设到内生假设的扩展。佩伦(1989,1990)提出了确定性趋势突变单位根检验的框架,但是其假定待考查时间序列的突变位置是先验确定的,这一假定在很多时候与现实情景不符,同时具有主观随意性。所以在随后的几年内,很多文献开始从内生角度去对结构突变单位根问题进行研究。在内生情形下,由于时间序列的突变位置未知,所以通常的思路是对可能的突变位置进行有效预测,之后再将其转换到外生突变框架下进行单位根分析。佩伦等(1992)在研究中抛弃了原先将结构突变的时间点确定为外生的假设,也就是说,最终的检验结果在某种程度上不再是主观的,需要通过使用蒙特卡罗方法对全部可能发生结构突变的时间点进行检验。佩伦等(2013)基于残差平方和(RSS)最小化的方法,对时间序列突变位置的确定进行了详细阐述,并在此基础上提出了一种动态优化的RSS最小化方法,以提高突变位置搜索的速度。他们重点关注的是误差项已知为I(0)情形下的研究。不过即便在I(1)误差下,RSS最小化的估计策略仍具有较好的收敛性质。之后,佩伦又针对误差项单整阶数不同的情形进行了专门的研究。佩伦等(2005)详细研究了AO框架下的斜率突变模型、截距和斜率双突变模型,基于其相应回归方程的RSS最小化来估计突变点的情形。他们还推导了随机误差项为I(0)和I(1)时相对突变位置估计量λ'的统计性质,研究发现,在I(0)或I(1)误差的情形下,基于RSS最小化方法得到的估计量λ'都一致地收敛到真实值,不过收敛速度会有所不同。更进一步,佩伦等(2009)研究了单变量时间序列在趋势函数中检验未知日期发生结构突变的问题,并提出了一种准可行广义最小二乘法,该方法在自回归参数α=1的情况下使用自回归参数之和的超有效估计。不管突变日期是已知的还是未知的,这种方法都允许噪声在平稳或累积的情形下进行基本相同大小的检验。佩伦等(2010)扩展了早期研究成果,提出了一种序贯检验,允许人们检验例如s个突变的原假设和(s+1)个中断的备择假设,该检验方法可以对突变次数进行一致的估计。结果表明,在噪声是平稳或累积的两种情形下,单突变检验的极限分布的相关分位数均可求出渐近临界值,且通过蒙特卡罗模拟表明,该方法具有良好的有限样本性质。此外,佩伦等(2009b)还提出了对数据进行修剪的策略,进一步提升了突变位置估计量的收敛速度,它的基本原理是:首先估计可能的突变位置,然后对估计值附近的数据进行修剪,重构新的数据序列,最后对新的数据序列进行单位根检验。采用该修剪策略的目的是为了进一步提高RSS最小化方法下突变位置的收敛速度。只有这样,内生突变情形下的单位根检验统计量分布才能与外生突变情况下的分布一致,这个策略可以嵌入到很多检验方法中去。最后,佩伦(2017)集中梳理了与单位根和结构变化相关的问题和两者之间的相互作用,并指出这些主题的研究已被证明对设计可靠的推理和预测程序非常重要。许多学者对此已做出了很多的重要贡献,尽管如此,改进和分析现有程序的特性仍有空间。迪基、弗勒和佩伦是计量经济学的三位大师,他们的研究涵盖了传统的单位根检验方法、协整理论、存在结构突变的单位根检验方法等,做出了非常卓越的贡献,极大地推动了非平稳时间序列的统计建模和分析,赋予了传统计量经济学更加强大的功能去揭示复杂宏观经济现象规律。迪基和弗勒极富洞察力地发现时间序列数据可能存在非平稳过程,并开创性地构造了单位根检验方法,后续又发展了协整理论。而在迪基和弗勒的研究的基础上,佩伦不但极大地丰富和完善了传统单位根检验的方法,更为时间序列数据的统计分析开拓了一条新的坚实道路,即时间序列数据结构突变的检测和建模,并且给出了检验统计量的渐进分布和统计性质的严格证明。三位大师的贡献不但使得计量经济学“大厦”的理论基础更加坚固雄厚,更是使得计量经济分析结论具有了至关重要的现实意义。他们为经济学家提供了一系列有效的分析工具来正确识别重大环境变化或金融冲击对经济系统造成的影响,从而及时应对经济趋势或结构的变化。下面这些短链接文章属于合集,可以收藏起来阅读,不然以后都找不到了。2.5年,计量经济圈近1000篇不重类计量文章,
可直接在公众号菜单栏搜索任何计量相关问题,
Econometrics Circle
计量经济圈组织了一个计量社群,有如下特征:热情互助最多、前沿趋势最多、社科资料最多、社科数据最多、科研牛人最多、海外名校最多。因此,建议积极进取和有强烈研习激情的中青年学者到社群交流探讨,始终坚信优秀是通过感染优秀而互相成就彼此的。![]()
![]()