凡是搞计量经济的,都关注这个号了
邮箱:econometrics666@126.com
关于时间序列方法,1.时间序列分析的各种程序, 38页集结整理成文档,2.ARDL, ARIMA, VAR, (G)ARCH时间数据模型讲解及软件操作,3.R软件中的时间序列分析程序包纵览,4.时间序列分析的各种程序, 38页集结整理成文档,5.时间序列数据分析的思维导图一览, 金融经济学者必备工具,6.送书: 应用时间序列分析(经典),7.为啥时间序列模型比较难学?时间序列的正名路,8.面板数据单位根检验软件操作和解读全在这里,9.动态面板回归和软件操作,单位根和协整检验(Dynamic Panel Data),10.疫情期计量课程免费开放!面板数据, 因果推断, 时间序列分析与Stata应用,11.送书: 应用时间序列分析(经典),12.时间序列模型分解,季节调整分析基础,13.动态因子模型是什么, 又怎么去实现? 14.动态面板分位数估计怎么做?15.动态面板门槛回归程序公布, 使用方法介绍,16.把动态面板命令讲清楚了,对Stata的ado详尽解释,17.时间序列分析概览(今天的重点1),18.全面比较和概述运用机器学习模型进行时间序列预测的方法优劣!19.一文读懂“非平稳时间序列计量经济学分析”, 包括单位根检验, 结构突变检验等,20.中断时间序列分析ITSA是什么? 很流行的政策评估新范式!21.ARIMA时间序列模型的步骤, 程序和各种检验, 附上代码并通过示例进行解读!
use http://www.stata-press.com/data/r11/wpi1,clear
regress D.ln_wpi
estat archlm,lags(1)
arch D.ln_wpi,arch(1) garch(1)
predict xb,xb //对差分变量的预测
predict y,y //对未差分变量的预测
predict variance,var //对条件方差的预测
predict res,residuals //对差分变量残差的预测
predict yres,yresiduals //对未差分变量残差的预测
use http://www.stata-press.com/data/r11/wpi1,clear
*-检验ARCH 效应是否存在:archlm 命令
regress D.ln_wpi
archlm, lag(1/20)
regress D.ln_wpi L(1/3).D.ln_wpi
archlm, lag(1/20)
*-图形法——自相关函数图(ac)
reg D.ln_wpi
predict e, res
gen e2 = e^2
ac e2, lag(40)
gen dlnwpi=D.ln_wpi
gen dlnwpi2 = dlnwpi^2
ac dlnwpi2, lag(40)
*精简模型:ARCH(1)
*保守模型:ARCH(4)
*预测值
arch D.ln_wpi, arch(1/4)
predict ht, variance //条件方差
* ht = c + a_1*e2_t-1 + a_2*e2_t-2 + ... + a_5*e2_t-5
line ht t
predict et, residual /*均值方程的残差*/
*-模型的评估
* 基本思想:
* 若模型设定是合适的,那么标准化残差
* z_t = e_t/sqrt(h_t)
* 应为一个i.i.d 的随机序列,即不存在序列相关和ARCH 效应;
gen zt = et / sqrt(ht) /*标准化残差*/
gen zt2 = zt^2 /*标准化残差的平方*/
* 序列相关检验
pac zt
corrgram zt /*Ljung-Box 统计量*/
pac zt2
corrgram zt2
* 正态分布检验
histogram zt, normal
wntestb zt
wntestb zt2
* 评论:均值方程的设定可能需要改进,因为zt 仍然表现出明显的序列相关。
* 条件方差方程的设定基本满足要求,zt2 不存在明显的序列相关。
use http://www.stata-press.com/data/r11/wpi1,clear
arch D.ln_wpi,ar(1) ma(1 4) arch(1) garch(1)
test [ARCH]L1.arch [ARCH]L1.garch
use http://www.stata-press.com/data/r11/wpi1,clear
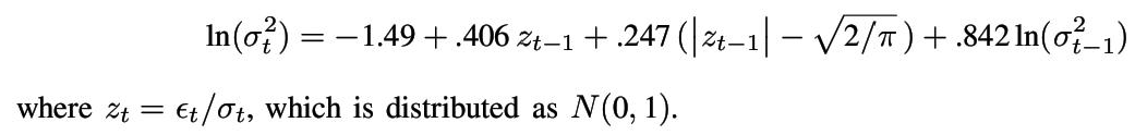
arch D.ln_wpi,ar(1) ma(1 4) earch(1) egarch(1)
use http://www.stata-press.com/data/r11/wpi1,clear
constraint 1 (3/4)*[ARCH]l1.arch=[ARCH]l2.arch
constraint 2 (2/4)*[ARCH]l1.arch=[ARCH]l3.arch
constraint 3 (1/4)*[ARCH]l1.arch=[ARCH]l4.arch
arch D.ln_wpi,ar(1) ma(1 4) arch(1/4) constraints(1/3)
下面这些短链接文章属于合集,可以收藏起来阅读,不然以后都找不到了。
2.5年,计量经济圈近1000篇不重类计量文章,
可直接在公众号菜单栏搜索任何计量相关问题,
Econometrics Circle