经济的发展带来电子商务的迅速发展,同时电子商务的发展促进了网络经济的发展,生鲜电商市场成为人民日常生活重要的组成部分。
疫情防控背景下,消费者居家隔离导致以小区为单位的生鲜物资需求激增,而复工不足导致生鲜企业配送能力有限,生鲜物资运输受到更多挑战。
本文针对疫情防控背景下生鲜物资运输路径优化问题,考虑生鲜物资保存时长以及防护物资时长限制,建立数学模型,构造遗传算法进行求解,分析不同需求量的情景对运输车辆的需求变化。
当生鲜需求增多时,需要关注生鲜物资运输路径优化的问题,即在最优方案下,以最少的配送车辆和最少的成本满足居家民众的生鲜物资需求。
针对生鲜类物资配送路径及路径优化的相关理论与实践问题,国内外研究人员已有初步研究,通常是结合时间因素,考虑固定成本和燃油成本。在突发事件下,多为一般性应急物资运输路径优化研究,目前还没有针对突发事件情景下的生鲜物资运输的研究。
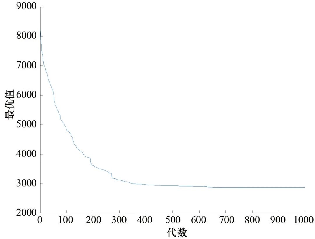
车辆路径问题是NP-hard问题,启发式算法在规模较大时可以较快求解。本文采用遗传算法,设计了相应的编码解码、适应度函数、遗传变异等规则。算法经过不断迭代,最终找到最优个体。
算法步骤
以北京市为例,经过调查和访谈,综合疫情期间配送量、配送力量等考虑,选定了某生鲜配送站以及周边99个小区(编号为1~99)为研究对象。设定每个小区需求范围为100~300 kg,车辆最大载重为3000 kg,车辆行驶速度为25 km/h。每辆车的固定成本为200元/辆,单位距离的运输成本为10元/m,配送时长不超过2 h。算法参数选取种群规模为200,迭代次数1000,交叉率60%,变异率60%。
表中,第n行表示第n辆车依次前往的小区,如第3辆车依次前往小区68、67、46、92、94、41、11。
通过算法求解得到最优方案的所需车辆为8辆,每天所需的总成本为4468.23元。
优化过程
最优方案以仓库经度为0°,维度为0°
需求变化结果
结果显示,总成本随需求量增加逐步上升,但由于规模效应,未同倍增加。在多倍需求量下,如果仍采用初始需求(1倍)情况下的运输路线,同比例增派车辆数,总成本将随需求同倍变化;如果对运输路径进行优化,总成本也随需求增加而增加,但不随需求同倍增长。因此,在不同需求量的情境下,企业有必要进行路径优化,提升运输效率,达到节省企业成本的目的。
总成本的这一表现受到车次数、车辆数的影响,因为车次数和车辆数随着需求的增加而增加,但并非线性变化,同时车辆数逐渐小于车次数。
随着生鲜物资需求量增加,运输路线重新优化,车次和车辆需重新计算,重新计算使得新结果比直接增派车辆采用初始需求(1倍)情况下的运输路线更优。因此,更优的方案中,车次数和车辆数并非线性变化,总成本也非线性变化。
车辆数增加倍数明显低于车次数增加倍数,是因为需求量增加意味着每辆车发车时,所承载的生鲜货物能满足的小区数变少,导致某辆车工作中需要补货后再出发,相当于车次增加1次,但车辆数无变化。3倍需求以上时,平均每辆车都要返回仓库补充货物。
单次车程服务小区数量的减少、货物的补充意味着每次的路程变短。
初始需求最优方案
为车辆装载货物后,只能服务较少数量的小区。1倍生鲜物资需求下,每辆车每次出发至少能服务7个小区,而10倍需求下,车辆每次出发携带的货物往往只能服务1~2个小区。
10倍需求最优方案
基于疫情背景下生鲜物资运输路径优化问题,考虑生鲜物资保存时长以及防护物资时长限制建立数学模型,构造遗传算法进行求解,分析不同需求量情景对方案的影响。
由于规模效应,总成本随需求量增加逐步上升但未同倍增加。其中,车辆数并不会随着需求量同倍增加,10倍需求需要约4倍车辆,并且平均每辆车都需返回仓库补货,所服务的小区数量相应减少。
需求暴增时,企业不需要根据需求增加量同比例增加车辆数量;同时,同一车辆在负责某几个指定小区时的运输效率要大于负责全流程的运输效率。
通过算法求解及结果分析,可在疫情或其他突发事件发生时,帮助企业更好应对生鲜物资需求激增的紧急情况,为企业优化运输方案、提升运输效率提供决策支持,从而达到用最少的配送车辆完成配送任务目标的同时实现配送总成本最小化。
进一步研究可以从以下方面开展:将装卸货时间考虑在内,包括在配送中心装货以及在小区卸货的时间;考虑多个仓库同时使用的情景;考虑小区需求量大于单个车辆的最大容量,即服务小区的车辆不止1个。
《科技导报》创刊于1980年,中国科协学术会刊,主要刊登科学前沿和技术热点领域突破性的成果报道、权威性的科学评论、引领性的高端综述,发表促进经济社会发展、完善科技管理、优化科研环境、培育科学文化、促进科技创新和科技成果转化的决策咨询建议。常设栏目有院士卷首语、智库观点、科技评论、热点专题、综述、论文、学术聚焦、科学人文等。