1792年,15岁的高斯在他对数表的最后一页,给出了关于质数分布的一个猜想:用现在的符号表示为:π(x)~x/lnx. (当x→∞时,不大于x的质数的个数为x/lnx)Johann Carl Friedrich Gauss,1777年4月30日-1855年2月23日
德国著名数学家、物理学家、天文学家、大地测量学家。
此猜想经黎曼等数学家的补充与证明,最终变成对数论发展影响深远的“质数定理”. 定理中的两个重要概念—质数与自然常数e,一个属于数论范畴,另一个(lnx中的自然常数e)则隶属于分析学。
“质数定理”将两个看似毫无关联的数学分支—— “数论与分析”紧密联系在了一起。数学中很多重要的常数,如圆周率π,根号2等,但从定义上理解,自然常数e可能是最为耀眼的一个,因为它是第一个使用极限来定义的常数:![]()
自然常数e是如何被人们的发现的呢?一般认为与16世纪计算复利密切相关:
小王急用1万元钱,找人借高利贷,贷款年利息是100%,并可自由选择结算利息的次数。小王该选择多久结一次利息更划算呢? 一年(12个月)计息一次,1年后还款 1+1=2 (万元)半年(6个月)计息一次,1年后还款 (1+1/2)^2 =2.25(万元)一季度(3个月)计息一次,1年后还款(1+1/4)^4 ≈2.44(万元)一个月计息一次,1年后还款(1+1/12)^12 ≈2.61(万元)
向右滑动,查看更多
(图片来源:betterexplained)
这样的计息方式还可以无限的继续下去, 我们发现利息结算次数越多,年底还款也就越多,小王当然选择一年结算一次比较划算。
现在继续往下思考,对于这样的贷款方式,如果结算次数无限多,年底还款会不会是个无底洞呢?我们再来看看下面的数据:
越往后计算,其结果越接近于2.718281828…,即
这是一个不可思议的结果,我们现在通常用字母e来表示这个数,并称之为自然常数。可惜的是我们不知道谁第一个发现了这个极限值,现在知晓的比较早些的线索是出现在纳皮尔的《奇妙的对数表的描述》(1618年)一书中。![]()
John Napier,1550-1617
苏格兰数学家、神学家,对数发明者
在“可与“微积分”媲美的发现,让伽利略、欧拉等数学大神都赞不绝口”一文中,说道纳皮尔的对数表中计算了结果近似等于1/e.这是巧合还是有意为之,我们很难判断,但纳皮尔的这一记录的确引起了数学家们的注意,尤其是伯努利家族。
伯努利家族以“盛产”物理学家、数学家而闻名,约翰·伯努利和雅克比·伯努利两兄弟都是伯努利家族中最著名的一员。雅克比·伯努利第一次把e看成常数,并试图计算:莱布尼茨在1690-1691之间给惠更斯的通信中第一次用到这个常数,并用b表示。
1691年6月,《教师学报》同时发表了三位数学家(惠更斯、莱布尼茨、约翰·伯努利),关于“悬链线”问题的解答,这样一个表达式用到了自然常数e。同时, 17世纪的一个关于对数的重要发现更是使得自然对数e走到了数学的前沿。![]()
比利时数学家Gregoire de Saint-Vincent
1647年,圣·文森特利用费马的方法,在对直角双曲线y=1/x求积时,发现“当长方形的长宽形成几何级数时,这些长方形的面积相等”。
文森特的这个结论换一种说法为:曲线y=1/x下的矩形面积,在区间[a,b]和[c,d]上,分别为m,n. 若a/b=c/d,则m=n.
根据这个结论,如下图,设y=1/x下矩形在区间(1,a),(a,b),(b,ab)上的面积分别为Ⅰ、Ⅱ、Ⅲ.
当a→b时,y=1/x的图像与x轴在(1,a)与(b,ab)上围成的曲边梯形的面积也相等.记为Ⅰ*=Ⅲ*.
因此y=1/x的图像与x轴在(1,a)及 (1,b)上围成的曲边梯形的面积等于在(1,ab)上围成的曲边梯形的面积,其值均为:2Ⅰ*+Ⅱ*.
这个结论告诉我们:y=1/x下面积公式满足:A(ab)=A(a)+A(b),也就是面积公式可以用对数表示。![]()
18世纪(欧拉时代之前),指数函数只被当作对数函数的反函数,因此,对于函数:自然对数e在直角双曲线y=1/x求积上的应用让18世纪的数学家们倍感欣慰两个式子更是初步确立了自然对数e在分析学中的重要地位。
到了1748年,欧拉的数学巨著《无穷小分析引论》出版,这本书是现代数学分析的基础,它第一次使用符号f(x)来表示函数,并将函数概念进一步推广。但这本书还有一个亮点—第一次将自然常数e,函数y=e^x摆放到数学分析的核心位置。![]()
Leonhard Euler
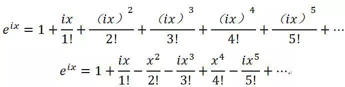
如果欧拉的研究到此为止,那数学星空只是意外添加了几颗亮光微弱的小星。但大师欧拉的洞察力和勇气超乎我们的想象,他做了一个大胆、出格的决定:将展开式中的x换成ix(这里的i为虚数单位)得到:
(*)式用一种简约而不简单的方式,将三角学、代数学、以及分析学三个数学分支紧密的联系了起来,不但如此,欧拉令这里的x=π,得到了另一个“最美公式”:一个表达式将代数中的“i”,算术中的“1”,分析中的“e”,以及圆周率π,这几个重要的数学常数联系到了一起,没有比这更神奇的事情了。
欧拉恒等式仿佛一行极为完美而简洁的诗,道尽了数学的美好,数学家们评价它为“上帝创造的公式”。而在三角函数、傅立叶级数、泰勒级数、概率论、群论等领域,我们却能随处可见它的倩影。
在欧拉工作的鼓励下,柯西、黎曼、维尔斯特拉斯将自然常数e巧妙的渗入复函数中,使得复变函数得以在19世纪与抽象代数、非欧几何并列为三大成就。
以17世纪自然常数e被重新认识开始,18、19世纪的数学家们迅速认识到e的不可缺少性,再通过e在各个领域的出色表现,数学家们对e的本身性质也产生了好奇。第一个问题无疑是:自然常数e是有理数还是无理数?这不是一个简单的问题,但对于大师欧拉却并非难事。1737年,青年欧拉就已经证明了自然常数e以及它的平方e^2均为无理数。欧拉的证明方法不是很容易理解,但相信下面的这个初等证明你会阅读得很愉快。
自然常数e的无理性被证明以后,数学家们继续前进,并得到了下一个惊人的结论:自然常数e是超越数。所谓超越数,是与代数数相对应的数,即超越数不是任何一个整数系多项式的解。18世纪的朗伯特(1768年他证明了π是无理数)曾猜测自然常数e是超越数,但并未给出证明,这一结论的证明最后在1873年由法国数学家埃尔米特给出,证明长达30多页。
数学的研究永无止境。历时五百年,自然常数e已经在数论、代数、分析等数学领域发挥了巨大作用,它的归宿在哪里?又将走向何方?完整的解答交给时间,但可以确定的是,自然常数e会变得越来越重要。2004年Google公司IPO上市,创始人Larry Page和Sergey Brin决定上市融资总额为2718281828美元,也就是e的前10位数字。因为他们都精通数学,很喜欢e的自然之美,当然也希望公司能像e^{x} 一样实现指数型高速增长。1、ELI MAOR.e的故事.人民邮电出版社.2012