MXenes 作为新兴的二维纳米材料,因其二维纳米结构和电化学活性表面而成为极具潜力的超级电容器电极材料。作为MXenes的一员,Ti3CNTx被认为具有优异的电化学性能。然而,和其他MXenes一样,Ti3CNTx 的电化学性能也会受到纳米片团聚以及表面官能团的影响。如何有效扩大层间距并修饰表面官能团,尽可能使更多的电解质离子顺利通过二维纳米通道,提高活性位点的利用率,是提升Ti3CNTx基电极材料电化学性能的关键。
通常使用的方法是将碳材料、MoS2以及聚合物等异质材料嵌入 MXenes 层之间,以抑制 MXenes 纳米片的重新堆叠,从而增大层间距并提高二维纳米通道的可及性,此外还可以通过离子插层的方法来提高 MXenes 基电极能量存储性能。虽然通过复合异质材料以及离子插层能够提升电极的电容,但过大的层间距和插入的组分会降低电极材料电导率,从而影响倍率性能,因此在提升MXenes电极比电容的同时需要兼顾其良好的倍率性能。MXenes 的电化学性能取决于表面官能团的类型,-OH 和-F会阻碍离子传输,从而降低能量存储性能。此外,退火处理可以去除大部分-OH基团,从而增加Ti原子的可及性并促进更多的赝电容反应。因此,通过增加层间距和降低表面官能团浓度,能够有效的促进电荷传输并提升二维纳米通道的可及性。
近日,广西大学徐帅凯助理教授、中国科学院北京纳米能源与系统研究所杨亚研究员等人通过对Ti3CNTx基材料进行钾离子插层及表面改性,并进一步在Ti3CNTx层间引入银纳米线,得到了兼具高比电容和高倍率性能的300-K-Ag-Ti3CNTx电极材料。300-K-Ag-Ti3CNTx电化学性能的提高可归因于Ti3CNTx 层间距的增加和表面官能团浓度的降低以及高导电性。实验结果表明,在纳米片之间插入阳离子并降低官能团浓度可以显著提高 Ti3CNTx 的质量比电容,在引入 K+ 并去除官能团(-OH,-F)后,质量比电容大幅提高到 464 F g-1。Ti3CNTx 基薄膜的电导率受层间阳离子和表面官能团的影响。未经任何处理的 Ti3CNTx 薄膜的电导率为885.0 S cm-1。在 300 ℃退火后,表面终端官能团的浓度降低,这促使电导率上升到 1112.8 S cm-1。K+ 阳离子插入 Ti3CNTx 纳米片之间时,K- Ti3CNTx 的电导率下降到 225.2 S cm-1, 在 300 ℃ 退火后, 300-K- Ti3CNTx薄膜的电导率提高(692.1 S cm-1)。为提高 Ti3CNTx 基薄膜的导电性,AgNWs 被进一步引入 300-K-Ti3CNTx 薄膜中。300-K-Ag-Ti3CNTx 薄膜的电导率增加到 1030.93 S cm-1,并显示出优异的倍率性能,即使在 2000 mV s-1 下,其质量比电容也可以保持在 245 F g-1。
该成果发表在国际顶级期刊Journal of Materials Chemistry A (影响因子 14.511 )上,题目为:Intercalation and Surface Modification of Two-dimensional Transition Metal Carbonitride Ti3CNTx for Ultrafast Supercapacitors。
徐帅凯为本文第一作者。
图1. Ti3CNTx基薄膜的制备过程。
图2. Ti3CNTx基薄膜的表征 (a) 获得的少层 Ti3CNTx 纳米片的 SEM 图像。 (b - d) 分别为纯 Ti3CNTx、300-Ti3CNTx 和 300-K-Ti3CNTx 薄膜的横截面 SEM 图像。 (e) 300-K-Ti3CNTx 薄膜中 Ti、O、C、N 和 K 元素的 EDS图像。
图3. (a)所有 Ti3CNTx 基薄膜的电导率。 (b) 所有 Ti3CNTx 基薄膜的 XRD 图像和 (c) FTIR 光谱。 (d) 横截面 SEM 图像和 (e) 300-K-Ag-Ti3CNTx 薄膜的 Ti、O、C、N、K 和 Ag 的 EDS图像。
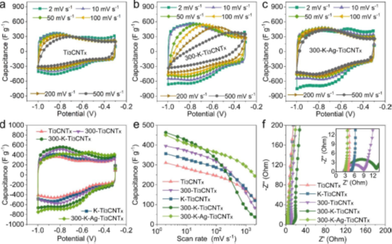
图5. (a) 纯 Ti3CNTx、(b) 300-K-Ti3CNTx 和 (c) 300-K-Ag-Ti3CNTx 分别在不同扫描速率下的 CV 曲线。 (d) 合成的 Ti3CNTx 基薄膜的 CV 曲线比较。 (e) 所有 Ti3CNTx 基薄膜的倍率性能。 (f) Ti3CNTx 基薄膜的电化学阻抗谱。
电化学性能的改善可归因于Ti3CNTx 层间距的增加和表面官能团浓度的降低以及高导电性,退火和阳离子嵌入会改变 Ti3CNTx 基薄膜的结构和层间距。本文通过引入 K+ 并去除末端基团(-OH、-F)后,改进了离子传输过程并增加了电化学活性位点,Ti3CNTx 基薄膜的质量比电容显着增大至 464 F g-1。此外,在 Ti3CNTx 纳米片之间引入了 Ag 纳米线,可以补偿由 K+ 嵌入和退火引起的电导率下降。所制备的 300-K-Ag-Ti3CNTx 薄膜的质量比电容即使在 2000 mV s-1 下也能达到 245 F g-1,表现出优异的倍率性能。基于 300-K-Ag-Ti3CNTx 薄膜的全固态对称超级电容器在 350 mW g-1 时显示出 6.9 mWh g-1 的高能量密度,表明它们在柔性储能装置方面的应用潜力巨大。这项工作将进一步推动柔性 MXene 基电极的研究;特别是 Ti3CNTx 基电极,在超级电容器和可穿戴电子设备领域具有广阔的应用前景。
文献链接
https://doi.org/10.1039/D2TA04962G
原文直达请点击推文左下角 阅读原文
特别鸣谢本文作者的大力支持
MXene Frontier为非营利性学术公众平台,聚焦MXene研究前沿,跟踪MXene研究进展,为研究者们提供MXene文献快讯。欢迎各位老师学者在MXene Frontier上分享与宣传包括但不局限于MXene的研究成果。同时,MXene Frontier免费为各位老师提供招生招聘、会议推广等宣传业务。编辑水平有限,若有不当之处还恳请各位老师批评指正!感谢各位老师与同学长期以来对MXene Frontier的支持与关注!
MXene Frontier:Frontiers in MXenes!
PS:投递稿件、全文求助、招生招聘、宣传推广请后台联系我们~